对于百雀羚的调查目前已有结果:
上海市药监局表示,9月27日,接有关举报反映,上海百雀羚日用化学有限公司生产的“水嫩净透精华洁面乳”,其产品标签标示的成分中含有“圆叶牵牛提取物”,上海市药监局相关部门按照《市场监督管理投诉举报处理暂行办法》予以核查处理。
经立案调查,未发现上海百雀羚日用化学有限公司委托上海百雀羚日用化学有限公司第三分公司生产的百雀羚水嫩净透精华洁面乳(配方升级)(限用日期:20241105,批号:3R06YV11)存在违反《化妆品监督管理条例》及禁限用原料管理规定的情况。
此前,“百雀羚化妆品涉嫌添加禁用原料”冲上热搜,上海药监曾答复:基本属实,立案调查。随后,百雀羚发布《情况说明》,提到:国家药品监督管理局于2021年5月26日将“圆叶牵牛提取物”列入禁用目录,而百雀羚4月25日已调整产品配方,不再使用“圆叶牵牛提取物”。

据百雀羚官网,百雀羚创立于1931年,曾跃居《2022全球最有价值化妆品品牌50强榜单》TOP14,四次登榜并连续两年成为唯一跻身该排行榜TOP15的中国品牌。
百雀羚在天猫、京东、小红书、唯品会等平台均设有旗舰店。据第三方数据平台显示,以抖音电商为例,百雀羚全品牌年内抖音线上销售额已达2.72亿元。百雀羚情况通报中提到的“水嫩净透精华洁面乳”2024年年内销售额仅有66万元,并非品牌主打产品。
那么,让百雀羚陷入风波的“禁用原料”,到底是什么?
圆叶牵牛是什么?
牵牛,别名喇叭花、大花牵牛等,原产于美洲,是常见的观赏花卉。大约在晋朝之前,牵牛花传入我国,其近亲圆叶牵牛随后也在我国得到种植。
圆叶牵牛是一年生缠绕草本植物,花冠呈喇叭状,圆叶牵牛同牵牛的最大区别就是叶片的形状:牵牛的叶子有三个分叉,而圆叶牵牛的叶子通常呈圆心形或宽卵状心形,二者是旋花科番薯属的不同物种。
圆叶牵牛被《中国外来入侵和归化植物名录(2023)》列为“外来入侵植物”,在全国各地几乎都有分布。尽管野生的圆叶牵牛对本土作物造成了一定的危害,但经过合理利用,在园林垂直绿化与家庭种植中,圆叶牵牛已成为普遍种植的花卉。
此外,圆叶牵牛还有一定的中药价值,其种子“牵牛子”可以“泻水通便、消痰涤饮、杀虫攻积、泻下利尿、消肿”,主要用来治疗便秘等疾病,《本草纲目》记载为“除风毒下一切壅滞”。

现代研究表明,圆叶牵牛含有花青素、类黄酮、木栓酮、α-香树脂醇等多种化学成分。资料显示,花青素和多酚氧化酶能在一定程度上降低皮肤氧化速度,而类黄酮能够降低酪氨酸酶活性,从而延缓皮肤变黑。
但同时,也有部分研究显示,圆叶牵牛具有一定的毒性,可以用来杀虫。实验结果表明,利用有机溶剂从圆叶牵牛不同部位提取的物质,对实验所用的小菜蛾都有一定杀伤,其中又以长期作为药用的牵牛子效果最为明显。
图源:《圆叶牵牛杀虫活性成分追踪及应用的初步研究》牵牛子的毒性,在我国古代已为人知晓。孙思邈《千金翼方》载,“牵牛子,味苦寒,有毒,主下气”,在使用时必须谨慎。牵牛子的毒性,主要来自其中的部分糖苷类物质和生物碱,用于人的皮肤会存在一定风险。
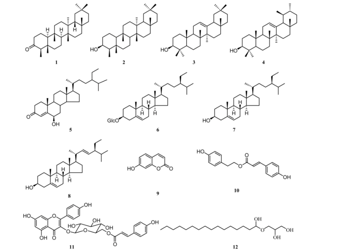
圆叶牵牛的提取物成分较为复杂,包括4种三萜类化合物、4种甾体类化合物、2种苯丙素类化合物、1种黄酮类化合物及1种脂肪酸类化合物。在2021年前,圆叶牵牛提取物一直被准许使用在化妆品中。
图源:《圆叶牵牛化学成分研究》
国家药监局2021年版《化妆品禁用植(动)物原料目录》|图源:河南省药品监督管理局官网
编辑 | 杨顺兴
审核 | 刘回春

VIP课程推荐
APP专享直播
热门推荐
收起24小时滚动播报最新的财经资讯和视频,更多粉丝福利扫描二维码关注(sinafinance)
