本文引用地址:
摘要
本文介绍了一个示例,其磁元件的体积和重量只有原来的1/4,使得1.2 kW解决方案符合1/8砖的行业标准尺寸,并且峰值效率高于98%。本文还重点讨论了如何根据耦合电感的品质因数(FOM)优化48 V拓扑。专注于DC-DC转换领域的工程师将会对此感兴趣。
引言
48 V配电轨通常会降压至某个中间电压,往往是12 V或更低,然后不同的本地负载点稳压器直接向不同负载提供各种不同的电压。对于48 V至12 V降压调节器,首选之一是多相降压转换器(图1)。这种解决方案提供稳压VO和快速瞬态性能,很容易实现且成本较低。对于几百瓦到>1 kW的功率范围,可以考虑四相并联。然而,高效率通常是一个优先考虑因素,与12 V甚至5 V输入的较低电压应用相比,48 V转换器为了保持低开关损耗,开关频率通常相对较低。这会在“伏特×秒”方面对磁元件造成双重损害,因为已经很明显的电压也会作用相对较长的时间。因此,与较低电压应用相比,48 V的磁元件通常体积较大,并使用多匝绕组来承受显著提高的“伏特×秒”。48 V降压转换器仍然可以实现高效率,但整体尺寸通常相当大,其中电感占据了大部分体积。
基本48 V至12 V ~1 kW降压转换器具有四相,使用6.8 μH分立电感,开关频率为200 kHz。这四个电感是目前最大和最高的元件,占解决方案体积的大部分。本文的目标是保持或提高此初始设计所实现的高效率,但显著减小磁元件的尺寸。
常规降压转换器各相的电流纹波可由公式1求出,其中占空比为D = VO/VIN,VO为输出电压,VIN为输入电压,L为电感值,Fs为开关频率。

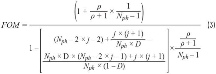
图1 使用分立电感的四相降压转换器用漏感为Lk且互感为Lm的耦合电感1-7代替分立电感(DL),CL(耦合电感)中的电流纹波可表示为公式2。6 FOM表示为公式3,其中Nph为耦合相数,ρ为耦合系数(公式4),j为运行指数,仅定义占空比的适用区间(公式5)。




CL考虑因素
改进的第一步是针对耦合系数Lm/Lk的几个实际合理值绘制Nph = 4的FOM曲线(图2)。红色曲线Lm/Lk = 0表示分立电感的FOM = 1基线。已经证明,漏感非常低的陷波CL (NCL)结构一般能实现非常高的Lm/Lk,因此FOM值也很高。8,9然而,虽然在理想情况下目标占空比正好位于第一陷波D = 12 V/48 V=0.25,但有必要考虑VIN和VO的某个范围。有时候,标称VIN可以是48 V或54 V加上一些容差,VO可以调整为远离12 V,等等。如果占空比在D = 0.25附近的某个范围内变化,为使电流纹波始终受到抑制,应选择具有相当大漏感的典型CL设计,而不是NCL,但FOM值仍然相当大。假设Lm/Lk > 4,与DL基线相比,减小CL中的电感值可能使图2中的FOM提高约6倍。减少能量存储会直接影响所需的磁元件体积。因此,将DL = 6.8 μH降低为CL = 1.1 μH应有利于减小尺寸。
图2 针对一些不同Lm/Lk值,4相CL的FOM与占空比D的函数关系。突出显示了目标区域
图3 DL = 6.8 μH和CL = 4 × 1.1 μH(VIN = 48 V且Fs = 200 kHz)时的电流纹波与VO的函数关系。突出显示了目标区域
图3显示了相应的电流纹波,比较了VIN = 48 V和Fs = 200 kHz条件下的基线设计DL = 6.8 μH与建议的4相CL = 4 × 1.1 μH (Lm = 4.9 μH)。在目标区域中,CL的电流纹波与DL的电流纹波相似或更小。这意味着所有电路波形的均方根相似,传导损耗也相似。相同Fs时的相同纹波还意味着开关损耗、栅极驱动损耗等也相同,因此这两种解决方案的效率应该非常相似(假设DL和CL电感损耗的贡献相似,这是唯一的区别)
图4 四个DL = 6.8 μH电感(上方)被替换为CL = 4 × 1.1 μH(下方),体积减小到原来的1/4
图5 48 V至12 V调节第一级。元件放置在PCB正面的1/4砖轮廓内。将所有~1 mm元件移至底部:1/8砖图4显示了设计的CL = 4 × 1.1 μH,其取代了四个DL = 6.8 μH电感。5每个DL的尺寸为28 mm × 28 mm × 16 mm,假设它们彼此间隔0.5 mm,那么尺寸为56.5 mm × 18 mm × 12.6 mm的4相CL可使磁元件体积减小到原来的1/4。图5显示了完整的1.2 kW 48 V至12 V调节解决方案,PCB单面上的元件位于1/4砖轮廓内。CL尺寸和封装经过专门设计,两个CL元件可以安放在行业标准四分之一砖尺寸内。将所有~1 mm元件(FET、控制器IC、陶瓷电容等)放置在PCB底部,从而实现1/8砖尺寸的1.2 kW解决方案。
性能改善
当DL = 6.8 μH电感变为CL = 4 × 1.1 μH时,电感中的电流摆率限制也改善了6倍,这有助于改善瞬态性能。除此之外,尽管磁元件总体积减少到原来的1/4,但100°C时的电感饱和额定值提高了约2倍。
图6显示了建议的VIN = 48 V解决方案(输出VO = 12 V)的瞬态性能。正如所料,对于变化的负载电流,反馈将输出电压调节至预设值,同时补偿输入电压的任何变化。

所实现的效率如图7所示,它可能是首要的性能参数。它与先进的行业解决方案进行了比较:48 V至12 V(固定4:1降压)LLC,初级侧和次级侧均有矩阵变压器和GaN FET。10所实现的满载效率为97.6%,而基准效率为96.3%。这意味着在全功率下损耗减少16.6 W,建议的解决方案实现了1.6倍的改进。当效率已经如此之高时,损耗要降低如此大的幅度通常很难实现。
尺寸和效率之间的权衡当然是可能的。图8比较了CL = 4 × 1.1 μH(磁元件尺寸减小到DL的1/4)和更大的CL = 4 × 3 μH(电感体积仅减小到DL的1/2)的效率。物理尺寸较大的CL = 4 × 3 μH具有较高的漏感Lk = 3 μH和较大的互感Lm = 10 μH。这使得Fs可以轻松降低至110 kHz,从而大幅提升整个负载范围内的效率。
图7 与1/8砖尺寸的先进48 V至12 V解决方案的效率比较
图8 使用耦合电感的建议48 V至12 V解决方案的效率与尺寸权衡结语
利用耦合电感的优势,48 V至12 V解决方案将磁元件总尺寸减小到基本分立电感的1/4,以行业标准的1/8砖尺寸实现了1.2 kW功率。在磁元件尺寸减小4倍的同时,它保持了出色的效率性能,瞬态电感电流摆率提高了6倍,电感Isat额定值提高了2倍。
与同样尺寸的业界先进48 V至12 V解决方案相比,它在全功率下的损耗降低了约1.6倍。如果磁元件尺寸的减小幅度可以不那么大,效率还能进一步提高。
同时,建议的解决方案提供出色的稳压输出,可直接放在客户母板上,并利用标准硅FET进一步优化成本。与之相比,采用全GaN FET的非稳压4:1 LLC是作为单独模块制造的,并使用具有多层、敏感布局和嵌入式矩阵变压器的专用PCB。
整体性能改善体现了ADI耦合电感专利IP的优势,我们很高兴将其提供给众多客户用于DC-DC应用。
参考资料
1 Aaron M. Schultz和Charles R. Sullivan。“带耦合感应绕组的电压转换器及相关方法。”美国专利6,362,986,2001年3月。
2 Jieli Li。 “DC-DC转换器中的耦合电感设计。”硕士论文,2001年,达特茅斯学院。
3 Pit-Leong Wong、Peng Xu、P. Yang和F. C. Lee。 “采用耦合电感的交错VRM的性能改进。”《IEEE电源电子会刊》,第16卷第4期,2001年7月。
4 Yan Dong。 “负载点应用中多相耦合电感降压转换器的研究。”博士论文,2009年,美国弗吉尼亚理工学院暨州立大学。
5 Alexandr Ikriannikov。 “漏感控制得到改进的耦合电感。”美国专利8,102.233,2009年1月。
6 Alexandr Ikriannikov和Di Yao。 “解决耦合电感中的铁损问题。”Electronic Design News,2016年12月,
7 Alexandr Ikriannikov。 “耦合电感的基础知识和优势。”ADI公司,2021年。
8 Alexandr Ikriannikov。 “多相DC-DC应用中磁元件的演变和比较。”IEEE应用电源电子会议,2023年3月。
9 Alexandr Ikriannikov和Di Yao。 “采用多相磁元件的转换器:TLVR与CL和新颖优化结构之比较。”PCIM Europe,2023年5月。
10 “EPC9174-评估板。”Efficient Power Conversion Corporation。
关于作者
Alexandr Ikriannikov是ADI公司通信和云电源团队的研究员。他于2000年获得加州理工学院电气工程博士学位,在那里他跟随Cuk博士学习电力电子学。他开展了多个研究生项目,从AC/DC应用的功率因数校正到适用于火星探测器的15 V至400 V DC/DC转换器。研究生毕业后,他加入Power Ten,重新设计和优化大功率AC/DC电源,然后在2001年加入Volterra Semiconductor,专注于低压大电流应用和耦合电感器。Volterra于2013年被Maxim Integrated收购,Maxim Integrated现在是ADI公司的一部分。目前,Alexandr是IEEE的高级会员。他拥有60多项美国专利,还有多项专利正在申请中,并撰写发表了多篇电力电子技术论文。
Laszlo Lipcsei是ADI公司通信和云电源团队的总监。他拥有布加勒斯特理工大学自动化和计算机工程硕士学位。他于2000年加入O2Micro,专注于电源转换和电池管理IC的定义和开发工作。2015年,Laszlo加入Maxim Integrated研发团队,率领团队开展软件定义电池的定义和系统开发。他的团队还开发了无线BMS概念验证电池组,并在2020年CES展会上进行了展示。自2020年初以来,他一直专注于多相和48 V电源转换架构开发。Laszlo拥有50多项专利,还有多项专利正在申请中。
“掌”握科技鲜闻 (微信搜索techsina或扫描左侧二维码关注)










