来源:量子位
一盆热水放着就会逐渐变冷。

在这背后是一条著名的物理学法则——热力学第二定律:热量不能自发地从低温物体转移到高温物体。

举个最简单的例子:不做任何干预,把一冷一热两个铁块贴在一起,热的铁块会迅速将热量传给冷的铁块,最终达到相同的温度。
也许你会说,空调和冰箱都是让热量逆向传递了啊。

其实,空调和冰箱实现制冷的前提也是依靠压缩机做功,并不能让热量自觉从低温部分转移到高温部分。
不过你知道吗?
其实在150年前,就有科学家找到了热力学第二定律的bug!
这就是大名鼎鼎的麦克斯韦妖(Maxwell’s demon),由著名物理学家麦克斯韦提出。
现在,居然有人把这个妖精造了个新版本出来,而且还是个“赌徒版”的!
什么是麦克斯韦妖?
看到妖字,你可能在想:
怎么科学界还搞牛鬼蛇神?
其实这只是一个假设。
麦克斯韦设想,将一个装有气体分子的盒子,用挡板隔成两个部分,在挡板上设置一个非常小的门,假设有一个非常非常小的妖精把守门口。

气体分子速度有快有慢,我们可以把它们分成两类:一类是速度比较慢的“冷分子”,一类是速度比较快的“热分子”。
于是,这个“麦克斯韦妖”就蹲在门口附近观察,如果左边有“冷分子”撞过来,就把门打开,让它过去,然后快速关上门。

同理,它也会把“热分子”释放到左边去。
这样经过一段时间反复操作后,左边只有“热分子”,右边只有“冷分子”。

因为麦克斯韦设想的妖精非常小,门也非常轻,因此做功可以被忽略不计。
那么矛盾就来了。
麦克斯韦妖居然不怎么做功就实现了热量的逆向流动,热力学第二定律居然被推翻了?

热力学第二定律显然是对的(否则就能造出永动机),那么麦克斯韦设想的妖怪究竟在哪里出了问题?
一种观点认为,测量分子的速度会消耗能量,从而导致系统“熵增”,其实这没有触及到问题的本质。
直到香农提出了信息论后,“麦克斯韦妖是一个悖论”才变成了板上钉钉的事实。

1948年,著名数学家香农证明了信息是可以被量化的,并提出了“信息熵”;
在此基础上,1961年德国裔美国物理学家罗尔夫·朗道尔(Rolf Landauer)提出了Landauer原则。
他认为任何抽象信息都必须有物理载体,对信息的操作就意味着对物理载体的操作,而对信息的处理有些是逻辑不可逆的,因此也就会伴随着热力学上的不可逆。

朗道尔认为,在平衡态下擦除1bit的信息,至少要消耗的能量为kTln2 (k为玻尔兹曼常数,T为环境温度)。
换而言之,改变1bit香农熵所需的最低能量,是kTln2。
但什么是逻辑不可逆呢?
这是指多种不同的输入会对应同一个输出,比如擦除信息就是不可逆的,因为它会把所有的信息都输出为擦除这一个状态。

1982年,美国物理学家查尔斯·班尼特(Charles Bennett)将这些概念综合在一起,提出:麦克斯韦妖的核心是一个信息处理器。
它需要记录和存储关于单个粒子的信息,以便决定何时开门、关门。并且它需要定期删除这些信息,清一下“内存”。而根据“擦除”原理,擦除信息回带来熵的增加,将远远超过粒子分选所引起的熵减。
终于,从提出后经过了115年,麦克斯韦妖被证明是悖论,热力学第二定律也因此更加完善。
不过科学家们可没有就此作罢,他们对这个“小妖精”一直热情不减。

虽然最终麦克斯韦妖并不违反热力学第二定律,但是我们有没有可能造出真正的麦克斯韦妖呢?
进入21世纪后,大家真的开始试着在实验室造“妖”了!
最早在2007年,科学家们用一种光能门,实现了一种麦克斯韦妖系统:

2010年,日本物理学家在《Nature》发表了一篇论文,以西拉德发动机概念为基础,研究出了如何将纳米级珠子诱导上螺旋楼梯的方法。

2013年,德国科学家用一对相互作用的量子点(只有几纳米宽的微型半导体)建造了一个麦克斯韦妖实验装置。

△宾西法尼亚州立大学的科学家将随机原子阵列重新排列成有序的原子块
2018年,来自宾夕法尼亚州立大学(Penn State)的物理学家们,将随机排列的原子重新排列成有序的原子块,创造了一个量子意义上的麦克斯韦妖。
“赌徒版”麦克斯韦妖
然而,这些年提出、以及实现的各版本麦克斯韦妖,还是太复杂了。
无论是用化学粒子、还是用光子实现,本质上都是在重复用信息换能量的过程。
也就是说,麦克斯韦妖需要掌握门板两侧的粒子信息,来决定是否开关门板。
有没有一种办法,来搞出一个“手头上没有任何信息”的麦克斯韦妖?

它会不时消耗一点能量,来看看系统有没有“获取能量”,并决定要不要继续这一过程。
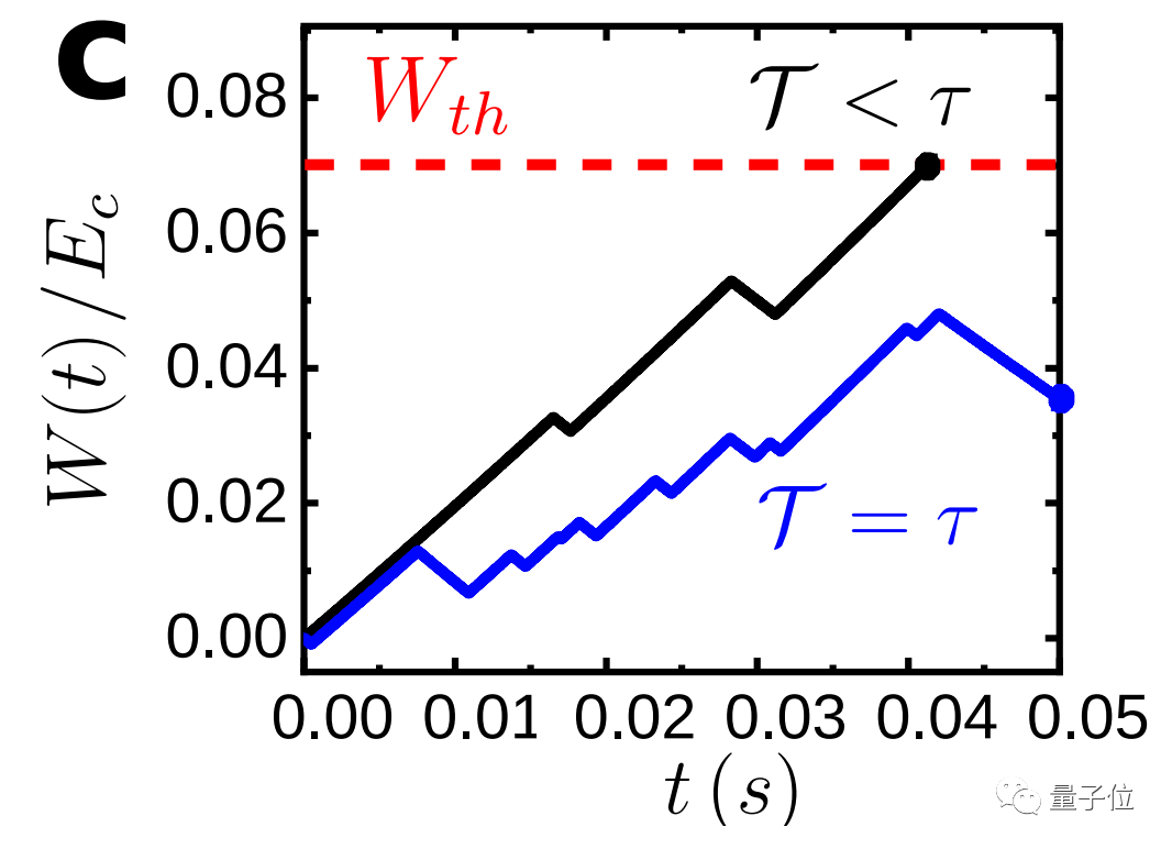
如下图,W是麦克斯韦妖消耗的能量,而F是系统可能获得的自由能量(随着门板开关,恰好成功分离了冷热粒子)。
它看不见系统里的状态,因此没办法控制门板的开关,只能凭直觉选择要不要继续拿W赌F。

没错,这样的麦克斯韦妖,就是一个彻底的“赌徒”——
它不知道系统下一刻的状态,也不知道自己消耗的能量能否换取更多自由能量,所能做的只有靠“猜”。

这个新版“妖精”,看整个系统的眼神,就像是在看一个赌桌游戏——
这局输(没有获得能量)的话,下一局还会输吗?要是我停止赌(消耗能量)的话,能及时止损吗?
这会出现两种情况:
其一,消耗的能量太多,超过了一个阈值。这时候,麦克斯韦妖就会“啪”一下离开赌桌:不玩了!
其二,只用极少的能量消耗,麦克斯韦妖就获得了巨大的自由能量(无意间分离了大量冷热粒子),那么它也可以选择立即结束游戏:狠赚一笔!

如果出现第二种情况的话,实际上就短暂地颠覆了热力学第二定律——消耗少量能量,来换取更多的自由能量。
对于这种现象,来自国际理论物理中心ICTP的物理学家、作者之一édgar Roldán解释:
这就像你既可以在赌桌上玩一整夜,也可以在赢了100美元后立即停手。
当然,最重要的是,现在科学家实现了这个“赌徒版”麦克斯韦妖。
如下图,他们搞出了一个由电极(浅蓝色)和铜岛(红色)组成的系统。

当设备冷却到只比绝对零度高出一点点(约几分之一开尔文温度)时,单个电子就可以实现在电极和铜岛之间“反复横跳”。
其中,从电极到铜岛上是消耗能量的过程;而从铜岛到电极,就是获取能量的过程。
在此期间,中间那个蓝色的静电计能随时测量两边的电量,这就做出了一个“赌徒版”的麦克斯韦妖——

期间,系统可以随时被停止,也可以继续下去,一切都取决于麦克斯韦妖的判断。
研究者们认为,这一系统仍然能被用于提升微观热机和发动机的性能。
“久赌必输?”
但别忘了,热力学第二定律是一个基于统计学得出来的规律。
也就是说,虽然这个“赌徒版”麦克斯韦妖,能偶然打破热力学第二定律,但在长期统计下,是不可能一直打破热力学第二定律的。
有网友表示,自己已经看破了这个“赌徒版”麦克斯韦妖的小伎俩:
这不就是N=1和N=1000之间的差异?如果只做一次实验,确实可能偶然颠覆这一定律。毕竟根据“赌徒定理”——久赌必输嘛。

顿时有网友陷入了迷思:
要是掌握(赌博)技巧,是否就能超越极限?

不。

论文第一作者、来自国际理论物理中心ICTP的物理学家Gonzalo Manzano表示:
“赌徒版”麦克斯韦妖成功的方法之一,就是在事情变坏的一刹那,及时止损,以避免更巨大的损失。
连物理学家都如此劝诫,赌博这个东西,确实别沾为妙(手动狗头)。


(声明:本文仅代表作者观点,不代表新浪网立场。)