
新智元报道
编辑:KingHZ 桃子
【新智元导读】过去20年,STEM博士创业率狂跌38%。这背后,是知识负担带来的结果。当代科学家需要掌握的知识量呈爆炸式增长,做出科研成果的年龄被拉长到40多岁。AI会是下一个出路吗?
最近,哈佛博士的一番言论,在全网掀起了热议。
硅谷天使投资人Peter Thiel曾说过,「生物学领域缺乏进展,部分原因是人才不足」。
计算生物学博士Douglas Yao对此表示极大地赞同。他认为,生物学本身「技术性」不够强,那些没有实验室和博士学位的普通人,几乎无法上手尝试。
正是因为这些限制,那些最聪明、最有创造力的人选择了其他的领域。

生物学界大佬Jose Luis,AI初创Retro Biosciences理论负责人表示,「你是不是对『非技术性』有什么误解」?(值得一提的是,这家公司已获OpenAI投资,致力于将人类寿命延长十年。)
其实,这里的非技术性,本质上是「整个生物学领域,基本是建立在启发式方法上的」。
它不像物理那样有深层的底层逻辑,这使得它对聪明人来说不那么有吸引力。

这一观点,却遭到了沃顿商学院教授Ethan Mollick的反对。
他揭示了所有STEM领域的一个广泛存在的现象:
研究发现,「知识负担」越来越重——我们学到的东西太多,反而更难精通一个领域,这使得年轻科学家在科研和创业方面都处于不利地位。

举个例子来说:可以看看Roche绘制的细胞过程图谱。


这个信息的密集程度,恐怕每个人得装上AI大脑才可以学完,而且这也仅仅是生物学的冰山一角。

过去20年,STEM博士创业率下降38%!
有些人可能认为,科学研究进展越来越快,资料越来越多,下一代年轻人学起来应该更容易。
但实际上,情况是相反的。对于新人来说,入门门槛只会变得更高。
年轻科学家往往要花很多年才能把已有的知识掌握透彻,还没来得及做出自己的创新,就已经花了太多时间在「追赶进度」上。
而且,越到后面越难出成果。
罗氏(Roche)绘制的细胞过程图谱就是一个典型的例子。它证明了生物学知识已经多到令人生畏的程度,若是年轻人要学完这些才能入行,难度很大。
Ethan Mollick教授表示,同样地,科学家或创新者取得突破性成果的年龄也在上升。
如今,科学领域一半具有开创性的实验性贡献,都是在40岁之后才发生的。部分原因正是因为需要掌握的「知识负担」越来越重。
西北大学、俄亥俄州立大学研究人员在2014年的一篇论文中,特意调研了一些科学家的年龄和产出之间的关系。

论文地址:https://www.nber.org/papers/w19866
他们得出的结论是,伟大的科学产出通常在中年达到高峰。自20世纪初以来,伟大科学贡献的平均年龄显著上升。
从下图4中可以看出,所有领域(A)不论是理论,还是实验成果,科学家几乎在30-40岁产出最高。
化学(B)和医学(C)几乎均在40岁左右,而物理学领域(D)的科学家,做出理论的年龄相较其他领域会早一些。

再来看科学天才年龄分布的变化,20世纪诺贝尔奖获奖发现与重大技术贡献年龄均在30-40岁之间。

另外,2020年马里兰大学等机构研究发现,过去20年里,STEM(科学、技术、工程和数学)博士的创业率下降了38%,原因正是「知识负担」带来的影响。

论文地址:https://www.nber.org/papers/w27787
他们还发现,科学研究的复杂性越来越高,博士创业者必须亲自处理大量的科研和行政任务,于是他们更倾向于加入大公司!
下图1中展示了,博士受雇于初创公司,或出来创业的比例变化动态。

以及创始人从事的全部工作活动、研发工作活动及管理工作活动的数量。

有网友对此点评道,这就是我们不断堆砌越来越多概念,却不关心它们如何统一整合时所造成的后果。如果没有「重构」,学术界就会把知识之树变成巴别塔。

AI,让「知识负担」不再?
或许你也认为,当前,科学家可以借助AI来消化更多信息、推动更多技术突破,不是吗?

知识是一座人类试图穿越的大山。这座山没有顶峰,也永远不会有尽头。
从远古时代的火种,到如今的量子计算,人类在知识的山体中开凿出了一条条隧道。
这些隧道随着时间推移变得越来越长,记录着人类的智慧与努力。
然而,这条路的延长也带来了一个难以忽视的问题:新一代人想要抵达隧道的「最前端」,继续开凿,需要准备的时间越来越长。

而要在几百年前,情况并非如此。
300年前,一个天赋异禀且训练有素的人,可能在二十多岁,甚至更早,就能站在知识的前沿。
比如,牛顿在23岁时就着手发明了微积分;而另一位微积分的奠基人莱布尼茨(Gottfried Leibniz),开始相关工作时也只有28岁。
尽管我们拥有了技术进步的加持,以及更先进的教育方法,但通往知识最前沿的路却比以往任何时候都要漫长。

经济学家Benjamin F. Jones将这一现象称为「知识负担」。
他指出,随着人类掌握的知识越来越多,这一负担也在不断加重。
他通过数据记录了这一趋势的后果:做出重大发明时,人才平均年龄正在显著上升。
1900年,发明家创造伟大发明的巅峰年龄大约是30岁;而到了2000年,这一数字已攀升至接近40岁。

而现在,一种入侵物种已经到来,我们将其称之为AI。
赛博队友!一个人+AI媲美两人团队
来自哈佛、沃顿商学院最新研究发现,一个人和AI合作,能够媲美两人团队。

这就是妥妥的赛博队友。

论文地址:https://papers.ssrn.com/sol3/papers.cfm?abstract_id=5188231
研究人员与消费品巨头宝洁合作,调研了776名专业人士,他们中有经验丰富的商业专家和技术研发专家,平均在宝洁工作超过10年。
实验模拟了真实的宝洁产品开发流程。
参与者被分为团队(每队包含一位商业专家和一位研发专家)或单独工作,其中一半可以使用GPT-4或GPT-4o,另一半则不行。
实验结果令人眼前一亮!
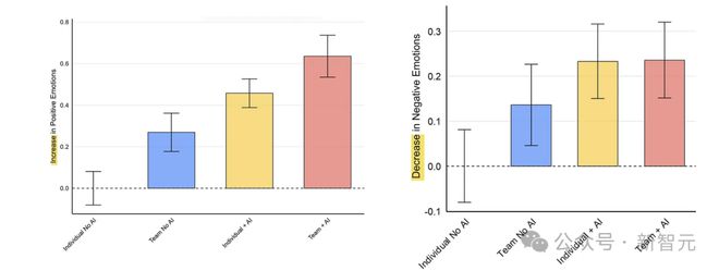
绩效飞跃
在没有AI时,团队的表现比个体高出0.24个标准差,印证了协作的力量。
但AI的加入彻底打破了常规:单独使用AI的个体表现媲美无AI团队,比基线提升0.37个标准差;
配备AI的团队则以0.39个标准差的提升拔得头筹。

更惊人的是,AI团队更擅长产出「顶级方案」(质量前10%),显示出人类与AI协作的独特价值。
不仅如此,AI组还节省了12-16%的时间,产出的方案更长、更详尽。

专业界限模糊
无AI时,研发专家偏技术、商业专家重市场,泾渭分明。
但AI介入后,无论是单独工作还是团队协作,所有人都能提出兼顾技术和市场的平衡方案。

专业壁垒几乎消失,尤其是对经验较浅的员工来说,AI让他们迅速「补课」,表现直逼资深团队。
AI让工作更有趣
你可能以为AI会让人感到压力或冷漠,但事实恰恰相反。
使用AI的人报告了更高的兴奋与热情,焦虑和挫败感显著降低。
单独用AI的个体,情感体验甚至不输给人类团队。

AI不仅提升了效率,还让工作变得更有趣。
总得来说,AI更像一位「赛博队友」,它复制了团队合作的核心优势:提升绩效、共享知识、改善体验。
看得出,AI正在从幕后走向台前,成为人类不可或缺的伙伴,加速了我们的取得成果的脚步。
参考资料:
https://www.nber.org/system/files/working_papers/w19866/w19866.pdf
https://www.generalist.com/briefing/ai-and-the-burden-of-knowledge
https://papers.ssrn.com/sol3/papers.cfm?abstract_id=5188231

VIP课程推荐
APP专享直播
热门推荐
收起24小时滚动播报最新的财经资讯和视频,更多粉丝福利扫描二维码关注(sinafinance)
