西安公安交警部门
根据《西安市机动车停车条例》的
相关要求
将西安市截至2024年12月31日
占道停车泊位予以公示
一起来看
👇🏻👇🏻👇🏻
交警新城大队辖区


交警碑林大队辖区


交警莲湖大队辖区


交警雁塔大队辖区



交警灞桥大队辖区


交警未央大队辖区


交警曲江大队辖区





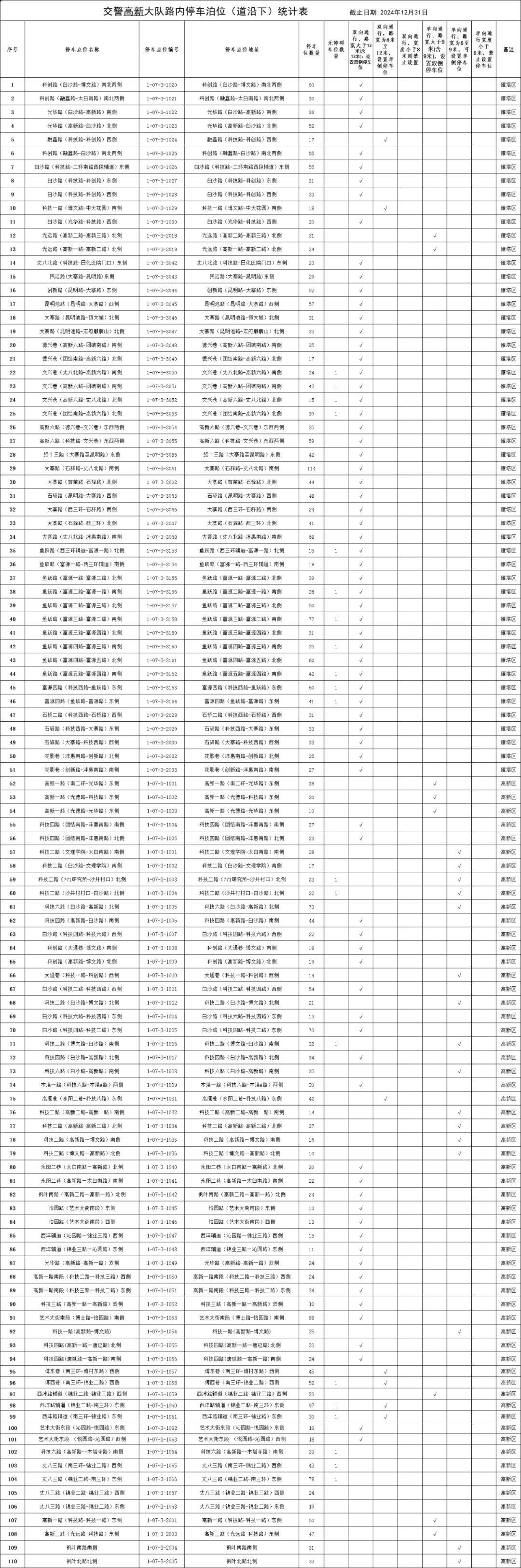
交警高新大队辖区





交警经开大队辖区


交警长安大队辖区



交警港务浐灞大队辖区


来源:西安交警订阅号

海量资讯、精准解读,尽在新浪财经APP
VIP课程推荐
加载中...
APP专享直播
热门推荐
收起
新浪财经公众号
24小时滚动播报最新的财经资讯和视频,更多粉丝福利扫描二维码关注(sinafinance)
