通常,我们将MOS管视为一个三端器件,包括栅极、源极和漏极。然而,衬底是其隐藏的第四个端子。下图为一个nMOS,g、s、d、b分别代表栅极、源极、漏极和衬底。
上图为以nMOS为例,简述其关断、线性区和饱和的条件绝大多数情况下,设计将衬底和源极连在一起,但是有时候出于性能考虑(如在芯片工作模式下实现高Ion和在芯片睡眠模式下实现低Ioff)会通过施加体偏置来动态调整晶体管的阈值电压。大多数情况下我们将阈值电压(Vt)视为常数。然而,Vt随源极电压的增加而增加,随衬底电压的增加而减小,随漏极电压的增加而减小,并随沟道长度的增加而增加 。
进入正题:体效应 (body bias)简介
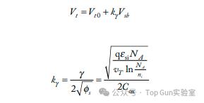
当在源极和衬底之间施加电压Vsb时,它会增加反转沟道所需的电荷量,从而增加Vt。Vt可以建模为:
其中Vt0是衬底连接到源极时的阈值电压,φs是阈值时的表面电位(有关表面电位的进一步讨论,请参阅 [Tsividis99] 等器件物理学著作),γ是系数,通常在0.4到1V^(1/2)的范围内。这些参数具体值取决于沟道中的掺杂水平。体效应会进一步降低传输弱值(例如,nMOS传输“1”,前文提到的nMOS可以传输强“0”弱“1”)的直通晶体管的性能,下文将描述如何有意施加体偏置来改变阈值电压,从而在性能和亚阈值漏电流之间进行权衡。
上述公式可简化为:

从公式可知,通过调节Vsb可以调制阈值电压Vt,这就是利用了体效应的特性。体效应的用途举例:可以使用低阈值电压 (low-Vt) 器件,并在芯片睡眠模式期间施加反向体偏置 (RBB:reverse body bias) 以减少漏电流,体偏置可以施加到电源门控晶体管上,以便在芯片睡眠期间更有效地将其关闭;或者,可以使用高阈值电压 (higher-Vt) 器件,然后在芯片工作模式期间施加正向体偏置 (FBB:forward body bias) 以提高性能。
施加体偏置需要额外的电源轨来分配衬底和阱电压。例如,对于1.0V n阱工艺,RBB方案可以将p型衬底偏置在VBBn=–0.4V,将n阱偏置在VBBp=1.4V。

体效应 (body bias)的可靠性风险
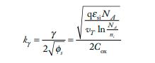
由下面这个公式可推导出,体效应随着栅氧化层厚度 (tox) 变薄而减弱。

可靠性风险总结:
1、 如设计中没有妥善管理因体效应增加的漏电流,可能会导致芯片功耗过高,甚至引发热失控等问题
a)带间隧穿 (BTBT) 引起的结漏电流:施加过大的反向体偏置(例如,低于-1.2V)会导致通过BTBT效应产生更大的结漏电流,从而增加功耗并影响器件性能。
b)体到源二极管电流:施加过大的正向体偏置(例如,高于0.4V)会导致大量电流通过体到源二极管,这也会增加功耗并可能导致器件损坏。
热载流子注入 (Hot Carrier Injection, HCI):这是最主要的可靠性问题之一。施加反向体偏压会增强沟道内的电场,加速电子获得能量成为“热载流子”。这些高能载流子会注入并损伤栅极氧化层,导致晶体管的阈值电压发生漂移、跨导下降和驱动电流减小,从而使器件性能随时间推移而退化,最终导致电路失效。b)偏压温度不稳定性 (Bias Temperature Instability, BTI): 在高温和电场共同作用下,栅氧化层与半导体界面处会产生陷阱电荷,导致阈值电压漂移。体偏压,特别是反向体偏压,会加剧电场强度,从而加速BTI效应,缩短器件的可靠运行寿命。c)应力导致的性能退化: 持续施加反向体偏压会增加器件内部的应力,长期下来可能导致器件性能退化,例如击穿电压的降低。
总而言之,体偏压是一把“双刃剑”。它为现代集成电路设计提供了在性能和功耗之间动态优化的强大工具,但设计者必须仔细评估并缓解其带来的可靠性风险,如热载流子效应、BTI以及设计复杂性等,才能确保芯片在整个生命周期内的稳定可靠。
“掌”握科技鲜闻 (微信搜索techsina或扫描左侧二维码关注)










