扩散语言模型(DLMs)是超强的数据学习者。
token 危机终于要不存在了吗?
近日,新加坡国立大学 AI 研究者 Jinjie Ni 及其团队向着解决 token 危机迈出了关键一步。
在当前大语言模型(LLM)的持续发展中,面临的挑战之一是可用的高质量训练文本数据(tokens)即将枯竭,并成为限制模型性能持续提升的关键瓶颈。另外,新增的高质量数据来源少,获取成本高,去重后更加稀缺。因此,当模型规模继续扩大,所需数据量按 Scaling Laws 成倍增加时,就出现了「优质 token 不够训练」的危机。
针对这一现象,该团队从零开始预训练了扩散语言模型(DLMs)与自回归(AR)模型,其中规模最高至 80 亿参数、4800 亿 tokens、480 个 epoch。
研究有以下三项重要发现:
在 token 数量受限的情况下,DLMs 优于 AR,并且具有超过 3 倍的数据潜力;
一个仅用 10 亿 tokens 训练的 10 亿参数 DLM,在 HellaSwag(常识推理基准) 上可达 56%,在 MMLU(综合多任务语言理解基准) 上可达 33%,无任何技巧、无挑选数据;
未出现性能饱和:重复训练次数越多,提升越明显。
此外,团队还剖析了并行研究《Diffusion Beats Autoregressive in Data-Constrained Settings》中的严重方法论缺陷 —— 以共同提升开放评审的标准!
Jinjie Ni 在社媒 X 上详细介绍了其团队的研究结论、研究方法,接下来我们一一来看。

结论 1:扩散语言模型(DLMs)是超强的数据学习者。
如上所述,团队从零开始预训练了一系列 DLMs,规模最高达 80 亿参数、4800 亿 tokens。结果提供了有力证据:在普通网页数据上进行重复训练时,DLMs 在数据受限场景下无论模型规模如何,都优于自回归(AR)模型,展现出显著更高的潜力且未出现性能饱和。
总体而言,DLMs 的最终数据潜力比 AR 模型高出三倍以上。

结论 2:重复越多,收获更多。
为了研究 DLM 训练中 token 的全部潜力,团队进行了额外实验:将同一份 10 亿 token 的数据集重复训练 480 个 epoch,总训练量达到 4800 亿 tokens。结果显示,模型在 HellaSwag 上取得约 56% 的准确率,在 MMLU 上取得约 33%,显著优于 AR 的约 41% 和约 29%。
令人惊讶的是,即使在如此极端的重复条件下,性能依然未出现饱和,这表明 DLMs 能够从固定的 10 亿 token 语料中提取到远超预期的有效信息。

「在验证集上出现过拟合的模型,在下游任务上的表现却持续提升。」为什么会这样呢?

团队可视化了多选评测中,真实答案与其他选项的平均负对数似然(NLL),以及它们之间的差值(△NLL)。即使在验证集上出现「过拟合」后,真实答案与其他选项的 NLL 差距(△NLL)依然持续扩大,这表明尽管验证损失在上升,模型的底层判别能力仍在不断提升。这一现象在域内数据和域外数据的训练中都同样存在。

虽然 DLMs 对数据重复具有较强的鲁棒性,但在训练足够长的 epoch 后,它们同样会发生过拟合。更大的唯一数据量可以延缓过拟合的出现,而更大的模型规模则会加速过拟合的到来。

为什么 DLMs 是超强的数据学习者呢?原因有二。
其一,如下图所示,网页文本数据并非完全因果结构!虽然用非因果方向建模会导致更高的损失,但它仍然是可行的。这意味着仅用纯因果方式来建模网页数据是一种浪费!借助扩散目标和双向注意力,DLMs 能够对数据进行双向建模,从网页数据中提取到更多信息。

其二,DLMs 是「超密集模型」,它们在计算上的超高密度(每个任务需要更多的 FLOPs)直接转化为更强的智能。

相比之下,AR 模型更优先考虑计算效率,而非数据潜力。它们的 Transformer 设计(包括教师强制和因果掩码)最大化 GPU 的使用效率,但限制了建模能力。随着计算成本下降,数据可得性反而成为关键瓶颈 —— 这正是团队研究 DLMs 的动力所在。
扩散目标要求在有效训练中,将预训练数据集中的每个数据点在多个掩码比例和组合下进行损坏,以便更精确估计期望值。这进一步解释了为什么数据重复训练能带来如此显著的收益。

巧合的是,一项同期研究「Diffusion Beats Autoregressive in Data-Constrained Settings」[1] 也探讨了类似主题。然而,团队在细致分析后,揭示了其中存在的若干方法论问题,可能导致结论存在偏差。
![[1] 地址:https://arxiv.org/abs/2507.15857](http://n.sinaimg.cn/spider20250810/125/w1080h645/20250810/03ba-8324cc73bdea57230e150c5b9d9055a5.png)
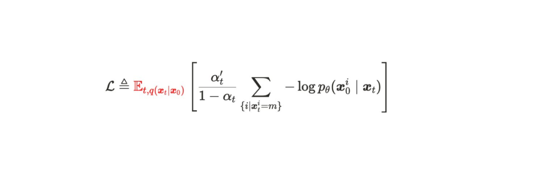
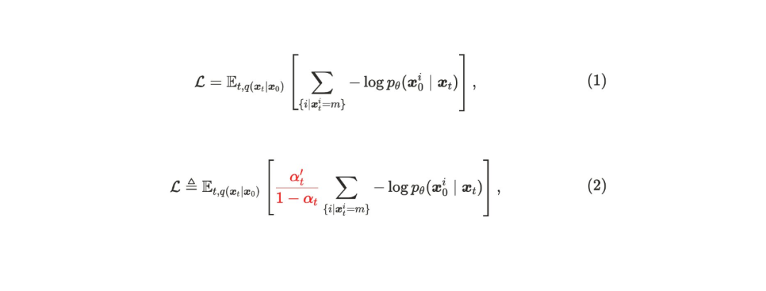
在 [1] 的所有实验中,研究者使用了损失函数 (1),但未做出明确的理论解释。然而,这个损失函数与理论基础更扎实、被广泛采用的掩码扩散语言建模损失 (2) 有显著差异。从理论上可以证明损失函数 (1) 并不能忠实地表示模型似然,这可能会对其结论造成严重影响。
团队还注意到,[1] 在最新的 arXiv v3 版本中对原始草稿进行了修改,增加了一个线性时间依赖的重新加权项。但仍假设其所有实验均使用了公式 (1),因为论文中图 4 (b) 的损失范围与公式 (1) 的预期表现高度吻合。团队期待 [1] 的代码库(在本文撰写时仍为空仓库)以及社区对相关实验的复现。

问题来了:验证集损失是比较 AR 和 DLM 的好指标吗?简短来说:当损失函数的形式本身有问题时,当然不是。它们并不代表相同的含义;即使损失函数形式正确,也依然不是好指标。
原因包括如下:
AR 测量的是精确的负似然,而 DLM 测量的是一个上界;
更低的损失并不意味着更强的能力,这一点在上文的讨论中已有体现。
此外,[1] 报告的 AR 基准测试结果距离最佳水平相差甚远。换句话说,[1] 实际上是在拿一个尚未训练到最佳状态的 AR 检查点,与一个最佳的扩散模型检查点进行比较。这是不公平的。

此外,[1] 在比较 AR 与扩散模型的过拟合趋势时,为 AR 使用了更大的模型规模和更少的唯一训练 token 数量。这种设置并不公平,因为更大的模型在训练数据多样性不足的情况下,本身就更容易更早出现过拟合。

最后,[1] 中使用的 scaling law 公式假设验证集损失不会下降,但这一假设在实际中并不成立,因为过拟合会导致验证损失上升。这个有缺陷的假设会导致拟合效果不佳,并使基于其预测得出的任何结论产生偏差。
目前,团队正在用一种疯狂的设置训练一个大模型,并在之后发布完整论文。
更多细节内容请参考博客和即将发布的论文。
参考内容:https://x.com/NiJinjie/status/1954177095435014533博客链接:
https://jinjieni.notion.site/Diffusion-Language-Models-are-Super-Data-Learners-239d8f03a866800ab196e49928c019ac
“掌”握科技鲜闻 (微信搜索techsina或扫描左侧二维码关注)










