产品外壳具有频率谐振,可能会产生不需要的 EMI。腔体中材料的吸收可以降低 EMI。在将材料插入您的产品之前,请使用 cookie 罐比较材料。
当工作频率接近微波时,外壳可能表现为谐振腔并放大 EMI 辐射。当我在研究航天飞机通信系统时,将微波吸收材料插入腔体是一种常见的做法。这样做减少了由单独隔离的隔室链产生的 EMI。
图 1.由普通大小的饼干罐制成的简单谐振腔。在正常的产品设计中,我们还会观察到较小的屏蔽产品或带有附加电缆的产品产生的空腔或结构共振。在本文中,我们将试验 “饼干锡 ”共振和抑制这种共振的最佳材料。饼干罐(图 1)很容易获得,可以很好地证明腔体共振。我从我的同事 Lee Hill 那里借来了这个想法。
为了构建这个结构,我为机箱安装 BNC 连接器钻了两个孔,一个在中间,一个在侧面。实际位置并不重要。你只需要在两者之间稍微分开。将短(1 cm 长)短短的短线(1 cm 长)焊接到每个连接器上,如图所示。跟踪发生器在一台设备上传输,分析仪在另一台设备上接收。
图 2.频谱分析仪显示腔体的谐振。此演示所需的设备包括带跟踪发生器的频谱分析仪,或者您可以使用矢量网络分析仪。在本例中,我们将使用频率限制为 1 GHz 至 1.6 GHz 且分辨率带宽为 120 kHz 的 Siglent SSA 3032X 分析仪。使用两根连接了 N-BNC 适配器的 BNC 电缆,如图 2 所示。
Calibration — 设置频率限制。如图 3 所示,将两根电缆与 BNC 桶连接在一起以校准系统,并在前置放大器关闭的情况下,按下“TG”按钮(右上)并确保电平默认为 -20 dBm。它应该亮起并显示一条参差不齐的线,代表通过两条电缆的损耗。在软键菜单中,按 Normalize。您最终应该在显示屏顶部有一条直线,表示整个频率的标准化 “零” 损耗。此过程消除了测量中的电缆损耗。
图 3.要校准测量系统,请将两根 BNC 电缆连接在一起。计算 — 当您可以预测测量结果时,总是最好的。对于尺寸如图 4 所示的圆柱体,谐振频率为:
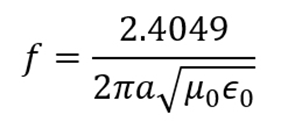
对于 ≥ h/2.03(和 9 cm ≥ 6/2.03),那么我们可以使用以下方法来计算谐振频率[1, 2].
谐振频率 /

其中 f = 频率 (GHz),h = 高度 (cm),a = 半径 (cm),μ0= 8.854×10-12和∈0= 4π×10-7
对于这个例子,a = 9 cm 和 h = 6 cm(典型的饼干罐)等于,所以,

和 f = 1.275 GHz。
图 4.圆柱体的尺寸将用于计算。测量 — 取下 BNC 筒并连接两根同轴电缆,如图 2 所示。您应该在 1.275 GHz 处看到尖锐的谐振。在我们的例子中,我们测得了 1.236 GHz,这与计算的频率非常接近。这个谐振频率可能会因锡的大小而异。
阻尼实验
在现场研讨会上,我通常的演示是将一个大铁氧体扼流圈扔进锡的中间,以帮助吸收和抑制谐振。
图 5.腔室中的大铁氧体扼流圈会抑制谐振。在本例中,我们将使用一个大型 Fair-Rite 0431176451 圆形电缆芯组件,材料为 #31(图 5)。这在 100 MHz 到 500 MHz 范围内表现出相对较高的阻抗。是关闭还是开放(经测试)似乎并不重要。只是块状铁氧体本身吸收或抑制了腔体谐振。图 6 和图 7 显示了之前 (无阻尼) 和之后 (使用大铁氧体扼流圈)。
图6.阻尼前的谐振在 1.236 GHz 处显示出尖锐的峰值。
图7.阻尼后的谐振在 1.136 GHz 处显示出较低的峰值。您可以看到谐振几乎完全阻尼,谐振频率较低至 1.136 GHz。铁氧体将谐振峰值降低了 22 dB(27.09 减去 4.99)。
我用其他铁氧体吸收器样品进行了实验。以下是一些结果。我将标记 1 保留在原始谐振峰上以供参考。
在图 8 中,我添加了一个 4 英寸。x 6 英寸(10 厘米 x 15 厘米)片 MAJR 产品射频吸收器放入罐底。这是一种厚实、柔韧的不锈钢网和铁氧体吸收器的混合体。它将谐振降低了 18 dB,并将谐振频率移至 1.136 GHz。
图8.MAJR Products 射频吸收器(6500 系列)材料。峰值共振下降了 18 dB。在图 9 中,我在锡的底部添加了一块 8×8 cm 的 NEC/Tokin FK2(03) 射频吸收器。这是一种薄的半柔性铁氧体吸收器。它仅将谐振降低了 8 dB,并且几乎没有改变谐振频率。
图 9.NEC/Tokin FK2(03) 射频吸收器。峰值谐振下降了 8 dB。在图 10 中,我在罐底部添加了一块 12 x 12 厘米的伍尔特 Elektronik 354003 射频吸收器。这是一种半柔性铁氧体吸收器。它将谐振降低了 11 dB,并且几乎没有改变谐振频率。后来我将其中五个样品的密封包放入罐中,峰值共振翻了一番,达到 22 dB。厚度很重要!
图 10.Würth Elektronik 354003 RF 吸收器使峰值谐振下降 11 dB。这些扁平、灵活的铁氧体吸收器在 2-3 GHz 以上最有效,更适合阻尼微波模块中使用的较高谐振腔频率。
总结
在这个实验中,我们计算了圆形饼干罐的腔体谐振,并使用频谱分析仪的跟踪发生器功能证实了计算结果。这种腔体谐振可以通过使用分立铁氧体或负载铁氧体的材料来阻尼。铁氧体的“体积”越多,阻尼越好。
下次,我们将测试其他一些有趣的项目以进行共鸣。
“掌”握科技鲜闻 (微信搜索techsina或扫描左侧二维码关注)










