几天前,苹果一篇《思考的错觉》论文吸睛无数又争议不断,其中研究了当今「推理模型」究竟真正能否「推理」的问题,而这里的结论是否定的。
论文中写到:「我们的研究表明,最先进的 LRM(例如 o3-mini、DeepSeek-R1、Claude-3.7-Sonnet-Thinking)仍然未能发展出可泛化的解决问题能力 —— 在不同环境中,当达到一定复杂度时,准确度最终会崩溃至零。」
不过,这篇论文的研究方法也受到了不少质疑,比如我们的一位读者就认为「给数学题题干加无关内容,发现大模型更容易答错,而质疑大模型不会推理」的做法并不十分合理。
著名 LLM 唱衰者 Gary Marcus 也发文指出这项研究的缺点,并再次批评 LLM。总结起来,他的意见有 7 点:

https://garymarcus.substack.com/p/seven-replies-to-the-viral-apple
人类在处理复杂问题和记忆需求方面存在困难。
大型推理模型 (LRM) 不可能解决这个问题,因为输出需要太多的输出 token。
这篇论文是由一名实习生撰写的。
更大的模型可能表现更好。
这些系统可以用代码解决这些难题。
这篇论文只有四个例子,其中至少有一个(汉诺塔)并不完美。
这篇论文并不新鲜;我们已经知道这些模型的泛化能力很差。
而现在,我们迎来了对这项研究更强有力的质疑:《思考的错觉的错觉》。是的,你没有看错,这就是这篇来自 Anthropic 和 Open Philanthropy 的评论性论文的标题!其中指出了那篇苹果论文的 3 个关键缺陷:
汉诺塔实验在报告的失败点系统性地超出了模型输出 token 的限制,而模型在其输出中明确承认了这些限制;
苹果论文作者的自动评估框架未能区分推理失败和实际约束,导致对模型能力分类错误;
最令人担忧的是,由于船容量不足,当 N ≥ 6 时,他们的「过河(River Crossing)」基准测试包含在数学上不可能出现的实例,但模型却因未能解答这些本就无法解决的问题而被评为失败。
论文很短,加上参考文献也只有短短 4 页内容。而更有趣的是,来自 Anthropic 的作者名为 C. Opus,实际上就是 Claude Opus。另需指出,另一位作者 Alex Lawsen 是一位「AI 治理与政策高级项目专员」,曾经也担任过英国 Sixth Form College(第六学级学院)的数学和物理学教师。(第六学级学院是英国教育体系中的一种专门为 16 至 19 岁学生开设的学院,是英国中学教育(Secondary Education)之后、大学教育(Higher Education)之前的一个关键阶段。)
https://x.com/lxrjl/status/1932499153596149875所以,这其实是一篇 AI 与人类合著的论文,并且 AI 还是第一作者。

论文标题:The Illusion of the Illusion of Thinking
论文地址:https://arxiv.org/pdf/2506.09250v1
下面我们就来看看这篇评论性论文的具体内容。
1 引言
Shojaee et al. (2025) 声称通过对规划难题的系统评估,发现了大型推理模型(LRM)的根本局限性。他们的核心发现对 AI 推理研究具有重要意义,即:在超过某些复杂度阈值后,模型准确度会「崩溃」为零。
然而,我们的分析表明,这些明显的失败源于实验设计的选择,而非模型固有的局限性。
2 模型能识别输出约束
苹果的原始研究中忽略了一个关键观察结果:模型在接近输出极限时能够主动识别。𝕏 用户 @scaling01 最近进行了一项复现研究,表明在进行汉诺塔实验时,模型会显式地陈述「这种模式仍在继续,但为了避免内容过长,我将在此停止」。这表明模型其实已经理解了该问题的求解模式,但会由于实际限制而选择截断输出。
https://x.com/scaling01/status/1931817022926839909这种将模型行为错误地描述为「推理崩溃」的行为反映了自动化评估系统的一个更广泛的问题,即未能考虑模型的感知和决策。当评估框架无法区分「无法解决」和「选择不进行详尽列举」时,它们可能会错误评估模型的基本能力。
2.1 僵化评估的后果
这种评估限制可能导致其他分析错误。考虑以下统计论证:如果我们逐个字符地对汉诺塔的解进行评分,而不允许纠错,那么完美执行的概率将变为:

其中 p 表示每个 token 的准确度,T 表示 token 总数。如果 T = 10,000 个 token,则有:
p = 0.9999: P (success) < 37%
p = 0.999: P (success) < 0.005%
实际上,已有文献《Faith and fate: Limits of transformers on compositionality》提出,这类「统计必然性」是 LLM scaling 的一个基本限制,但它假设模型无法识别并适应自身的局限性,而这一假设与上述证据相悖。
3 不可能解答的难题
在「过河」实验中,评估问题大幅复杂化。Shojaee et al. 测试了有 N ≥ 6 个参与者 / 主体的实例,但使用的船的容量只有 b = 3。然而,研究界已经公认:传教士 - 食人族谜题(及其变体)在 N > 5 且 b = 3 时无解,详见论文《River Crossing Problems: Algebraic Approach》,arXiv:1802.09369。
由于苹果研究者自动将这些不可能的实例计为失败,就无意中暴露了纯程序化评估的弊端。模型获得零分并非因为推理失败,而是因为正确识别了不可解的问题 —— 这相当于惩罚 SAT 求解器,因为该程序对不可满足的公式返回了「不可满足」。
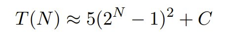
4 物理 token 限制导致明显崩溃
回到汉诺塔分析,我们可以量化问题规模与 token 需求之间的关系。
汉诺塔游戏规则:将所有圆盘从起始柱按大小顺序完整移动到目标柱,且每次只能移动一个圆盘,且大圆盘不能叠在小圆盘上。 苹果研究者的评估格式要求在每一步输出完整的移动序列,从而导致 token 数量呈二次方增长。如果序列中每一步大约需要 5 个 token:

考虑到分配的 token 预算(Claude-3.7-Sonnet 和 DeepSeek-R1 为 64,000 个,o3-mini 为 100,000 个),则最大可解规模为:

原始论文报告的超出这些规模的所谓「崩溃」与这些约束一致。
5 使用另一种表示来恢复性能
为了检验模型失败能否反映推理限制或格式限制,这位 AI 作者与 Alex Lawsen 使用了不同的表示方法,初步测试了相同的模型在 N = 15 的汉诺塔上的表现:

提示词:求解有 15 个圆盘的汉诺塔问题。输出一个被调用时会 print 答案的 Lua 函数。
结果:所有被测模型(Claude-3.7-Sonnet、Claude Opus 4、OpenAI o3、Google Gemini 2.5)的准确度都非常高,且使用的 token 数都不到 5000。
下面展示了 𝕏 用户 @janekm 分享的一次测试结果
https://x.com/janekm/status/19334810604167990476 重新评估原始论文的复杂性主张
苹果的作者使用了「组合深度(compositional depth)」(最小步数)作为复杂度指标,但这其实将机械执行与问题求解难度混为一谈了:
问题的复杂度不仅仅由解答的长度决定汉诺塔虽然需要指数级数量的步数,但每步的决策过程都很简单,为 O (1)。过河问题步数少得多,但需要满足复杂的约束条件并进行搜索。这解释了为什么模型可能有能力完成 100 步以上的汉诺塔,却无法解决 5 步的过河问题。
7 总结
Shojaee et al. 的结果只能表明,模型输出的 token 数量无法超过其上下文限制,程序化评估可能会同时遗漏模型能力极限和难题的不可解性,并且解答长度无法准确预测问题的难度。这些都是宝贵的工程见解,但它们并不支持关于基本推理局限性的论断。
未来的研究应该:
设计能够区分推理能力和输出约束的评估方法;
在评估模型性能之前验证难题的可解性;
使用能够反映计算难度而非仅仅反映解答长度的复杂度指标;
考虑多种解答表示,以区分算法理解和执行。
问题不在于大型推理模型(LRM)能否推理,而在于我们的评估方法能否区分推理和文本生成。
网友怎么看?
同样,这篇论文也吸引了不少眼球,并且基本都是好评。
https://x.com/janekm/status/1933481060416799047有读者打听了这两位作者的合作模式 —— 其实就是聊天。
https://x.com/lxrjl/status/1932557168278188517也许,我们可以将这篇论文称为氛围论文(vibe paper),正如 CMU PhD Behnam Mohammadi 调侃的那样 :')
https://x.com/OrganicGPT/status/1932502854960366003不过,反对意见当然也还是存在的。

对此,你怎么看?
“掌”握科技鲜闻 (微信搜索techsina或扫描左侧二维码关注)










