夏天快到了,又到了穿短裤、短裙的季节。不过有些卖长裤的商家会说,长裤比短裤更凉快,这是真的吗?如果夏天穿长裤,要怎么选才能更凉快呢?
绝大部分情况穿短裤更凉快
人体的散热方式包括热辐射、热对流、热传导和汗液蒸发。这些散热方式决定了在绝大部分情况下,短裤比长裤更凉快。
热辐射是物体以电磁波的方式向外传递热量的过程。热对流是热量通过流动介质(气体或液体)传递的过程,通过热对流不断将皮肤表面的热量带走。热传导主要发生在皮肤直接与其他物体接触的时候,比如躺在凉席上,身体表面热量会传导到凉席上。
在没有剧烈运动,环境温度不是特别高的时候,热辐射的散热方式占据主导。但在剧烈运动,或者环境炎热的情况下,人体的主要散热方式就成了汗液蒸发。在运动的时候,如果你想尽可能快地散热,最好的方法就是什么都不穿。
这是因为皮肤直接暴露在空气中,有利于汗液快速蒸发,会让人觉得更凉快。而且没有衣物遮挡,热辐射,热对流的效果也更好。所以不需要任何人教,人们也知道要在夏天穿短袖短裤。

特殊情况,区别不大
但在一些特殊情况下,比如环境湿度很高,穿短裤和长裤的区别可能就不那么大了。
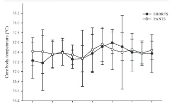
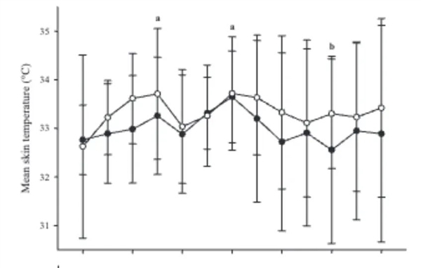
2013 年,一项发表在《澳大利亚和新西兰公众健康》(Australian and New Zealand Journal of Public Health)杂志上的文章,就研究了在热带潮湿环境下,穿长裤和短裤对户外工作人员的影响。
研究者招募了 15 名户外市政工人,进行了两次户外工作,两次工作强度都是低强度,户外环境相差不大。结果发现,虽然穿短裤时候受试者小腿皮肤温度确实比穿长裤要低,但是两次测试中,受试者的核心体温、体表平均温都没有显著区别。


原因可能是,在热带潮湿的环境下(研究期间的湿度在 65%~80%),皮肤汗液蒸发效果会受到一定的影响,而且实验中的短裤组仅仅比长裤组多露出小腿部位,这些皮肤提供的散热效果不足以影响核心体温。
再加上受试者的活动量并不是很大,所以出现了这样的结果。但如果不是在这种特殊环境下,还是短裤更凉快一些。
穿长裤想凉快,怎么挑?
虽然大部分时候穿短裤更凉快,但有时候我们也不得不穿上长裤,比如在有蚊虫的地方徒步,或者长时间在户外工作,还是需要穿长袖长裤避免被咬伤、晒伤。
那有没有穿起来比较凉快的长裤呢?还真有,不过购买的时候需要注意一些参数。
1、接触凉感系数
市面上能看到一些商品说使用了“冰丝”之类的“降温黑科技”面料。这些面料主要是粘胶纤维、聚酯纤维(涤纶)、聚酰胺纤维(尼龙)等材料制作的,在接触皮肤的瞬间,以热传导的方式将热量传递到衣物中,从而实现冰凉的感觉。
虽然这些“黑科技”并不能长时间持续降温,但冰凉的触感确实也会让人心里觉得凉快不少。在购买这种裤子的时候要注意,仅仅声称有“凉感”是不够的。
在《纺织品 接触瞬间凉感性能的检测和评价》(GB/T 35263-2017)中对这类材料的“凉感效果”给出了一个测量指标——接触凉感系数(qmax)。
这个数值越大,接触瞬间的凉感越强。一般这个数值需要大于 0.15,所以在选购“凉感”材料的时候,建议看一下是否有相应的检测报告以及具体的数值。
接触凉感系数的评价标准,图片来源:参考资料 32、速干性能
很多夏凉裤往往也是和“速干”联系在一起的。好的夏凉裤应该有很好的吸湿性,能够快速将我们皮肤表面产生的汗液吸走。
同时又有很好的速干效果,让吸收的汗液蒸发带走热量,对于这种吸湿速干性也是有专门标准的。在《纺织品 吸湿速干性的评定》就规定了两种吸湿速干性的评定方法:单项组合试验法(GB/T 21655.1-2023)和动态水分传递法(GB/T 21655.2-2019)。
这两种测试方法都能对衣服材料的吸湿速干性进行评价。按照单项组合试验法,测出来的吸湿速干性分为三个等级,Ⅲ级效果最好,I 级最低。

单项组合试验法吸湿速干性能评级,图片来源:参考资料 4如果采用的是动态水分传递法,性能指标则被分为 5 级,其中 5 级最好,1 级最差。

动态水分传递法吸湿速干性能评级,图片来源:参考资料 5在“夏凉裤”“速干裤”产品上,如果标注“吸湿速干性”“吸湿排汗性”,需要动态水分传递法中的性能指标评级不低于 3 级。选购时候注意看商家的宣传页面上是否有相应的检测报告。
如果标注“吸湿速干性”和“吸湿排汗性”,相应的指标要求,图片来源:参考资料 53、宽松和透气性
有些人可能会关注裤子的颜色,认为夏天穿浅色系的更不容易吸热,更凉快。但其实,相比于颜色,宽松程度更重要。1980 年发表在《自然》杂志(Nature)上的一篇文章,就研究了长期生活在沙漠地区的贝都因人,他们穿的长袍就是黑色的。
研究者发现,穿黑色、白色长袍在太阳下对人体温度的影响并不大。虽然黑色长袍确实更容易吸热,表面温度比白色长袍高出 6 摄氏度,但是传递到体表的热量并不会有太大变化。这是因为黑色的长袍内部会形成更强的对流效应,袍内热空气上升逸出,宽大的袍底吸入空气,不断帮人体降温。
袍子表面的温度并不影响体表温度,图片来源,参考资料6虽然我们大部分人并不生活在那样极端炎热的地区,但这个结论对我们穿衣服也有一定启发。相比于颜色,宽松更重要。宽松的衣物有利于空气进入,加强空气对流,带走热量,同时也有利于汗液的蒸发。
当然了,长裤、长裙和长袍还是有一定区别的,毕竟长裤长裙在腰上有封口,空气通透性不如贝都因人的长袍,所以除了宽松,也需要注意透气性。
透气性一般使用的是透气率指标,但和前面的吸湿速干性、凉感效果不同的是,透气率并没有一个具体的下限,所以夏凉裤商品很少会直接将透气率标注出来,还是需要拿到之后手动感受一下。
4、防晒
普通材料的衣物在太阳下也能起到一定的防晒效果,但是如果想要有更好的防紫外线效果,还是需要购买有紫外线防护性能测试报告的。在《纺织品 防紫外线性能的评定》(GB/T 18830-2009)标准中有明确的防紫外线效果测试流程。
并且也说明了,紫外线防护系数 UPF 大于 40,紫外线的光谱透射比平均值 T(UVA)AV小于 5%,才可以称为防紫外线产品。如果长时间在户外,建议选择 UPF 在 40 以上,并且带有相应检测报告的长裤。

《纺织品 防紫外线性能的评定》中对“防紫外线产品”的要求,图片来源:参考资料7总之,只要不是湿热的“桑拿天”,短裤、短裙肯定是比长裤要凉快的。
如果想穿长裤又想相对凉快一些,可以选择接触凉感系数高于 0.15、吸湿速干性级别高于3级、宽松透气,防紫外线系数大于 40 的裤子。
最后值得一提的是,这些性能参数会随着衣物的洗涤有所衰减,有些商家会提供多次洗涤之后这些参数的检测报告,如果有这种报告,当然也是更加分啦。
【本文结束】如需转载请务必注明出处:快科技
责任编辑:随心
“掌”握科技鲜闻 (微信搜索techsina或扫描左侧二维码关注)










