使用相量,我们探索了在RF通信系统使用的模型中,实值带通信号是如何表示为复基带信号的。
本文引用地址:
带通信号和系统在通信系统中至关重要。有趣的是,实值带通信号中携带的所有信息都包含在相应的复值基带信号中。这种复杂的基带表示对于理解无线电通信系统非常有帮助。
在本文中,我们将学习带通信号的复基带表示。作为讨论的一部分,我们还将探讨交流电路中相量分析的概念。然而,在我们深入探讨之前,让我们通过回顾低通和带通信号的定义来确保我们已经涵盖了基础知识。
低通和带通信号
当信号的频率内容或频谱以零频率为中心时,该信号被称为低通信号。换句话说,低通信号具有明确定义的带宽B,|f|>B的频谱内容可以忽略不计。
示例低通信号的频谱,分为实部和虚部。
图1 带宽为b的实值低通信号的实部(a)和虚部(b)请注意,如果s(t)是实值函数,其傅里叶变换(s(f))将表现出共轭对称性。这意味着S(f)的实部是偶数函数,而虚部是奇数函数。
另一方面,带通信号的频谱中心频率(fc)远大于信号带宽(B)。图2显示了示例带通信号的实部和虚部。
以fc为中心的示例带通光谱的实部(a)和虚部(b)。
图2 中心频率为fc、带宽为B的实值带通信号的频谱,分为实部(a)和虚部(B)与图1中的示例基带频谱一样,由于信号是实值的,图2表现出共轭对称性。
实信号的带宽被定义为信号中包含的所有正频率分量的跨度。如果信号中存在的最高和最低正频率分别为fmax和fmin,则信号的带宽为:
方程式1根据上述定义,频率为fc且振幅a恒定的单音正弦曲线的带宽为零。
方程式2然而,如果A随时间缓慢变化,那么我们就有一个非零带宽的调幅(AM)波。
交流电路中的相量表示
相量是一个复数,表示正弦波形的幅度和相位角。在交流电路分析中,相量用于分析频率相关效应。
例如,考虑方程2中所示的单音正弦波。该信号是复杂函数的实部:
方程式3其中,运算符Re{.}表示花括号内包含的量的实部。我们可以将花括号内的项表示为复平面中的向量,其振幅为a,初始相位为θ。如图3所示,该信号以角速度⍵c=2πfc围绕原点旋转。
单音正弦波的相量表示。
图3 单音正弦波的相量表示上述矢量在实轴(其实部)上的投影产生方程2所示的原始信号。角项ωct表示每秒fc转的稳定逆时针旋转。为了获得信号的简化表示,我们将暂时忽略此项。
去除旋转导致一个固定向量,该向量对应于方程3中方括号内的项。这个与时间无关的术语是与我们的信号相关的相量。它由以下因素给出:
方程式4为了理解相量表示的意义,考虑一个由正弦输入激励的线性时不变(LTI)系统。如图4所示,这种激励在电路内的所有节点上产生正弦信号。尽管所有这些信号具有相同的频率,但它们的幅度和相位可能不同。
LTI电路产生的正弦信号可以用具有不同幅度和初始相位但以相同角速度旋转的相量来描述。
图4 LTI电路产生的正弦信号可以用具有不同幅度和初始相位但以相同角速度旋转的相量来描述由于所有这些矢量以相同的速度旋转,它们之间的相位差不会随时间变化。这些矢量的振幅比同样与时间无关。因此,我们可以在特定时刻冻结旋转矢量。
从电压和电流量中去除时间依赖性,使我们能够将它们表示为复值、时间无关的数字。这大大简化了电路分析。一旦我们计算了电压或电流量的矢量,我们就可以重新引入旋转方面来确定该量的实际时域表达式。
简而言之,相量消除了时间依赖性的复杂性,使描述电压和电流量变得更加容易。粗略地说,您可以将相量视为单频正弦波的低通或直流等效物。
推导调制带通信号的低通等效值
到目前为止,我们假设正弦波具有固定的振幅和相位。然而,类似的分析可以应用于具有缓慢变化的幅度和相位的固定频率fc的正弦波。设以⍵c为中心的调制波定义为:
方程式5其中A(t)和θ(t)是时变信号的瞬时振幅和相位。上述方程式可以改写为:
方程式6方程式7将括号内的项分开:
方程式7该术语是带通信号的复基带表示。上述方程也可以笛卡尔形式表示:
方程式8其中si(t)和sq(t)是等效基带信号sl(t)的实值同相和正交分量。这些组件由下式给出:
方程式9因为带通信号的同相和正交分量变化缓慢,所以我们知道它们都是低通信号。将sl(t)的笛卡尔形式代入方程6,我们可以用同相和正交分量来表示原始RF波:
方程式10上述方程表明,带通信号可以用两个低通信号来表示,特别是其同相和正交分量。
等效低通信号的可视化表示
带通信号的复低通表示可以被视为时变相量,其起点位于(sI-sQ)复平面的原点。如图5所示。
等效基带信号sl(t)表示为(sI-sQ)平面中的时变相量
图5等效基带信号sl(t)表示为(sI-sQ)平面中的时变相量由于同相和正交分量(分别为si(t)和sq(t))是时间的函数,相量矢量的末端在(si-sq)平面内移动。
从方程6中,我们观察到等效基带信号sl(t)乘以复指数exp(jωct),得到带通信号sRF(t)。因此,向量sl(t)和(sI-sQ)平面以角速度⍵c=2πfc旋转。
包括旋转方面的复平面中的时变相量。
图6包括旋转方面的复平面中的时变相量原始带通信号sRF(t)是该时变相量在表示实轴的固定线上的投影。
重建带通信号
方程10立即告诉我们如何从同相和正交分量重构带通信号。低通到通带转换的电路如图7所示。
从低通同相和正交信号生成通带信号的框图。
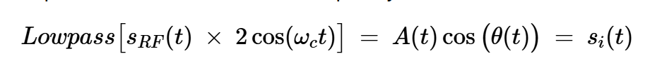
图7从低通同相和正交信号生成带通信号的框图。接下来,我们需要从带通信号中确定等效基带信号。我们将从sRF(t)乘以2cos(⍵ct)开始:
方程式11如果我们以两倍载波频率对信号分量进行滤波,我们得到:
方程式12同样,将sRF(t)乘以-2sin(⍵ct)得到:
方程式13应用适当的低通滤波器可以消除载波频率两倍的信号分量,从而:
方程式14图8显示了我们如何使用一对乘法器和一对低通滤波器来实现方程12和14。
用于从带通信号生成低通同相和正交信号的框图。
图8用于从带通信号生成低通同相和正交信号的框图总结
实值通带信号中的所有信息都包含在相应的复值基带信号中。在本文中,我们学习了如何推导带通信号的低通复等效值,反之亦然。
值得注意的是,扩展此讨论允许我们使用复数低通滤波器来表示带通滤波器。为带通信号和滤波器建立低通模型具有重大的实际意义。例如,现代通信收发器应用这些模型对复杂的基带信号进行数字处理,从而减少了对通带信号进行模拟处理的需要。
图7和图8所示的电路对于理解线性调制方案至关重要,无论是模拟还是数字。在下一篇文章中,我们将看到Weaver调制器如何结合这些电路来生成单边带AM信号。
“掌”握科技鲜闻 (微信搜索techsina或扫描左侧二维码关注)










