本文将探讨射频功率放大器系统中数字预失真的实现原理,并重点分析两种基于查找表的常用技术。
本文引用地址:
效率与线性度的平衡挑战
功率放大器(PA)为追求高效率常工作于接近饱和区的大动态范围。但随着逼近饱和区,其幅度和相位失真急剧增加,导致严重的邻道干扰。为此,业界开发了多种线性化技术以在维持高效率的同时提升线性度,其中数字预失真技术已成为射频功率放大器线性化领域最活跃的研究方向之一。
数字预失真基本原理
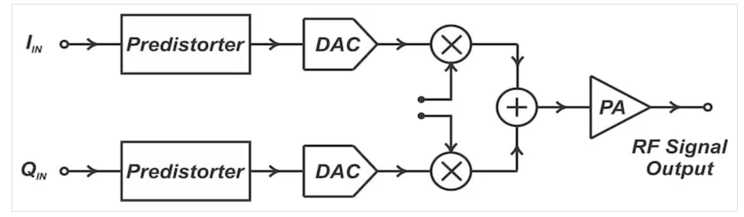
如图1所示,数字预失真通过在发射链路的数字部分引入非线性函数补偿PA的非线性特性,可作用于基带或中频信号。
![[图1 基带数字预失真实现示意图]](http://n.sinaimg.cn/spider20250423/369/w1523h446/20250423/d525-7ff5b100562dded22565f8d3bae22ad2.png)
(系统示意图展示开环预失真结构)
尽管图1为开环系统,实际应用中通常会加入反馈回路持续监测预失真器性能并进行动态调整。图2展示了带反馈回路的数字预失真简化框图。
![[图2 带反馈路径的数字预失真系统]](http://n.sinaimg.cn/spider20250423/609/w1352h857/20250423/de6e-c1ad6d112badd9d6373ae1e01a860f08.png)
(反馈机制支持温度、制程和电压变化的自适应补偿)
然而,模数转换器(ADC)、数字信号处理器(DSP)和存储单元的引入会增加系统功耗。下文将通过实例量化这种效率损耗。
预失真器/PA系统效率计算
假设某自适应数字预失真系统采用效率100%、输出功率1W的功放,其配套的ADC、DSP和存储单元共耗电0.25W。系统总效率计算如下:
(公式1:系统效率计算)尽管PA本身效率达100%,但外围电路使系统总效率降至80%。这凸显了降低线性化模块功耗的重要性。
基于查找表的数字预失真实现
当PA呈现准静态特性(即输出幅度与输入信号保持固定单调关系)时,可通过查找表(LUT)实现非线性补偿。图3展示了开环LUT预失真系统架构。
![[图3 开环LUT预失真系统框图]](http://n.sinaimg.cn/spider20250423/616/w1521h695/20250423/4f05-03fe517d310a94fe672fe55296464417.png)
(通过输入信号寻址存储增益/相位校正值的LUT)
DSP模块接收Δ|A|(幅度校正)和Δφ(相位校正)参数,生成经过预校正的信号。图4则升级为带反馈的自适应系统:
![[图4 自适应LUT预失真系统]](http://n.sinaimg.cn/spider20250423/514/w1266h848/20250423/fbda-cbf1bf8831fd65ab2e40acafc14ced69.png)
(集成收发双路径,通过输入/输出信号比对实现LUT动态更新)
该系统的自适应模块通过比较原始I/Q信号与反馈采样信号,持续评估预失真效果并更新LUT数据。这种结构能有效应对器件老化、环境变化等动态因素,但需权衡增加的硬件复杂度与功耗。
上述自适应系统包含发射机(前向路径)和集成接收机(反向路径)。自适应模块通过比较原始输入I/Q信号与集成接收机采样的I/Q信号,持续评估预失真机制的有效性并更新查找表数据。由于预失真器的反馈环路响应速度极慢且无需应对快速变化,该系统避免了传统反馈线性化方法常见的稳定性问题。
查找表实现策略
查找表通常采用映射预失真函数或复增益预失真函数。前者基于笛卡尔坐标系映射,后者依赖包络映射。两种方法对查找表规模与复杂度有直接影响。
映射预失真(Mapping Predistortion)
映射预失真采用二维查找表(LUT-I和LUT-Q)进行暴力索引,如图5所示。每个I/Q复平面点被重新映射至新值,可校正上变频过程中的DC偏移和I/Q不平衡问题。但其内存需求巨大,总存储条目数由以下公式决定:
(公式2:映射预失真存储条目计算)其中,n为IIN/QIN信号幅度量化位数。例如,12位系统需33,554,432个存储条目。此外,完成自适应算法需遍历I/Q复平面所有点,导致长时延和高计算复杂度。
![[图5 映射预失真器中的LUT索引方法]](http://n.sinaimg.cn/spider20250423/594/w1351h843/20250423/177f-949118a8a7f6836d9069678f782f3ad7.png)
(以IIN/QIN双维度索引二维查找表)
复增益预失真(Complex-Gain Predistortion)
如图6所示,复增益预失真通过输入信号包络功率(R = |IIN + jQIN|R = |IIN + jQIN|)索引查找表中的复增益因子。该方法确保预失真器与PA系统的合成增益恒定,显著降低存储需求(仅需一维查找表)和自适应时间。但代价是预失真精度下降,对互调失真的抑制能力受限。
![[图6 复增益预失真器中的LUT索引方法]](http://n.sinaimg.cn/spider20250423/548/w1303h845/20250423/4a61-ba4c109d0426d8e67eaf696e8d7c032a.png)
(以信号包络幅度索引一维查找表)
技术总结
数字预失真作为射频功放线性化的高效方法,映射预失真与复增益预失真各有优劣:
映射预失真:校正能力强,但存储需求和计算复杂度高
复增益预失真:存储效率提升50%以上,自适应时间缩短,但精度妥协
在工程实践中,复增益预失真因资源效率优势更受青睐,尤其适用于对功耗和实时性敏感的大规模阵列系统。未来技术发展需在存储优化、精度补偿和动态响应之间寻求更优平衡。
“掌”握科技鲜闻 (微信搜索techsina或扫描左侧二维码关注)










