电容器对交流电流的阻碍作用称为容抗,其大小与电源频率成反比。
本文引用地址:
电容器以电荷形式在导电极板上储存能量。电容器储存的电荷量(Q)与极板间电压成正比。因此交流电容是指电容器在正弦交流电源作用下储存电荷能力的度量。
当电容器接入直流电源时,它将按时间常数确定的速率充电至外加电压值。只要电源持续存在,电容器将无限期保持这种电荷状态。
充电过程中,充电电流i会流入电容器,其大小与极板电荷变化率相等,即与电压变化速率相抗衡。因此电容器对流向极板的电流存在阻碍作用。
充电电流与电容器电源电压变化速率的关系可用公式表示为:i = C(dv/dt),其中C为电容值(单位法拉),dv/dt是电源电压随时间的变化率。当电容器"充满电"后,由于极板电子饱和,将阻止更多电子流入,此时电容器如同临时储能装置。
理想电容器即使断开直流电源,也能无限期保持极板电荷。但在含"交流电容"的正弦电压电路中,电容器会按电源频率交替充放电。因此交流电路中的电容器始终处于循环充放电状态。
当正弦交流电压施加于电容器极板时,电容器先沿一个方向充电,再随交流电压极性变化反向充电。电压瞬时变化会受到电荷沉积(或释放)需要时间的制约,遵循V = Q/C关系。观察以下电路:
正弦电源作用下的交流电容
![[电路图示意]](http://n.sinaimg.cn/spider20250402/151/w554h397/20250402/9444-b6bb9fa754cf61697568b934a534e3f4.png)
当开关闭合瞬间(t=0),由于极板无电荷,大电流开始涌入电容器。正弦电源电压V在0°时刻以最大速率正向增长通过零参考轴。此时极板间电位差变化率最大,流向电容器的电流也达到峰值,电子以最大速率在极板间迁移。
当电源电压到达波形90°点时,变化速率开始减缓。在极短暂的瞬间,极板间电位差既不增也不减,电流随之降为零。
在90°时刻,电容器两端电位差达到最大值(Vmax)。由于电容器已充满且极板电子饱和,电流停止流动。
随后电源电压开始沿负向递减,向180°零参考线回落。虽然电源电压仍为正值,但电容器开始释放极板多余电子以维持恒定电压,导致电容电流反向(负向)流动。
当电源电压在180°点穿越零参考轴时,正弦电压的变化率(斜率)达到负向最大值,此时流入电容器的电流也相应达到最大速率。此时极板间电位差为零,电荷均匀分布在两极板间。
由此可见,在0°至180°的第一半周期内,施加电压达到正最大值的时间比电流峰值滞后四分之一周期(1/4ƒ)。换言之,纯电容电路中电压"滞后"电流四分之一周期(90°),如下图所示:
交流电容的正弦波形
![[波形图示意]](http://n.sinaimg.cn/spider20250402/731/w934h597/20250402/eee3-2f847c353ea2d3eb7f0fe7ee88d833bb.png)
在180°至360°的第二半周期,电源电压反向运动并向270°负峰值趋近。在此极值点,极板间电位差既不增也不减,电流再次降为零。电容器两端电位差达到负向最大值,无电流流入,电容器如同90°时刻那样完全充满,只是极性相反。
当负向电源电压开始沿正向增长,向360°零参考线回升时,已充满的电容器必须释放多余电子以维持恒定电压,开始放电直至360°时电压归零,随后充放电过程周而复始。
通过上述电压电流波形分析可见:由于充放电过程,电流始终比电压领先1/4周期(π/2=90°),与电容器两端电位差存在"相位差"。因此交流电容电路中电压与电流的相位关系,与我们先前讨论的交流电感电路完全相反。
这种效应也可用相量图表示:纯电容电路中电压"滞后"电流90°。若以电压为参考,则可表述为电流"超前"电压四分之一周期(90°),如下矢量图所示:
![[相量图示意]](http://n.sinaimg.cn/spider20250402/136/w508h428/20250402/fd06-707d9eb1f665980540de87351e99573b.png)
交流电容的相量图
![[交流电容相量图示意]](http://n.sinaimg.cn/spider20250402/580/w386h194/20250402/3438-8f6cac83c5e85584100433ead6d71eff.png)
因此对于纯电容,电压VC"滞后"电流IC 90°,或者说电流IC"超前"电压VC 90°。
记忆纯交流电容电路中电压电流相位关系有多种方法,其中最简单易记的是使用"ICE"助记符。
"ICE"表示在交流电容中,电流I(Current)始终领先电动势E(Electromotive force)。换句话说,电容器中电流先于电压,I、C、E组合即为"ICE"。无论电压初始相位角如何,这个表达式对纯交流电容电路始终成立。
现在我们已了解:电容器通过极板电子流动来抵抗电压变化,其充放电过程中电子流动量与极板间电压变化率成正比。与电阻器通过实际电阻阻碍电流不同,电容器对电流的阻碍作用称为电抗。
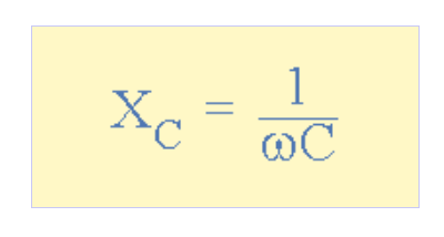
与电阻类似,电抗以欧姆为单位,但用符号X表示以区别于纯电阻R值。由于讨论的元件是电容器,其电抗称为容抗(XC),单位欧姆。
由于电容器充放电量与极板间电压变化率成正比,电压变化越快,电流越大;电压变化越慢,电流越小。这意味着交流电容器的电抗与电源频率成"反比",如下所示:
容抗公式
![[容抗公式图示]](http://n.sinaimg.cn/spider20250402/614/w400h214/20250402/fd98-9cff3ef14cb63fe3bde8a6269d440f1d.png)
其中:XC为容抗(单位欧姆),ƒ为频率(单位赫兹),C为交流电容值(单位法拉,符号F)。
处理交流电容时,我们也可以用弧度定义容抗,其中角频率ω=2πƒ。
交流电容的ω值
从上述公式可见:随着频率升高,容抗值及其总阻抗(单位欧姆)趋近于零,表现为短路状态;而当频率趋近于零(直流)时,电容器电抗趋近无穷大,表现为开路状态,这正是电容器阻隔直流的原因。
容抗与频率的关系与我们之前讨论的感抗(XL)完全相反。这意味着容抗"与频率成反比":低频时呈现高值,高频时呈现低值,如图所示:
容抗-频率关系曲线
![[容抗随频率变化图示]](http://n.sinaimg.cn/spider20250402/197/w582h415/20250402/ed08-4c7d4bb2e5705c6af8bc8e7b5a0885d0.png)
电容器容抗随极板间频率升高而降低。因此容抗与频率成反比。虽然容抗阻碍电流流动,但极板上的静电电荷量(即交流电容值)保持恒定。
这意味着在每半周期内,电容器能更充分地吸收极板电荷变化。同时随着频率增加,由于极板间电压变化率增大,流入电容器的电流值也随之增加。
极低频率与极高频率对纯交流电容电抗的影响可表示如下:
![[频率对容抗影响示意图]](http://n.sinaimg.cn/spider20250402/382/w928h254/20250402/ec71-e73d8a7fc913fabccd8a8f54e2f781c7.png)
在纯电容交流电路中,流入电容器的电流(电子流)表示为:
![[交流电容电流公式图示]](http://n.sinaimg.cn/spider20250402/666/w917h549/20250402/812e-38404241ddae845c15b320c68a5b85b9.png)
因此,流入交流电容器的有效值电流定义为:
![[交流电容器电流计算公式]](http://n.sinaimg.cn/spider20250402/781/w603h178/20250402/01b1-fd8f91ba3887bf93111f15b9d3f048e8.png)
其中:IC = V/(1/ωC)(或IC = V/XC)为电流幅值,θ = +90°表示电压与电流之间的相位差。对于纯电容电路,Ic超前Vc 90°,或者说Vc滞后Ic 90°。
相量域分析
在相量域中,交流电容两端的电压可表示为:
![[交流电容的相量域电压图示]](http://n.sinaimg.cn/spider20250402/528/w1049h279/20250402/d3d3-733c25f955f31534d96261b2df9d0d68.png)
其极坐标形式为:XC∠-90°,其中:
![[交流电容的阻抗公式图示]](http://n.sinaimg.cn/spider20250402/748/w1022h526/20250402/c5f0-970558ff22543a130dcb470e14a43be0.png)
RC串联电路的交流特性
前文已说明,纯交流电容中的电流会超前电压90°。但在实际应用中,不存在绝对的纯电容,因为所有电容器极板都存在一定内阻,从而产生漏电流。因此,我们可以将电容器视为一个电阻R与电容C串联组成的"非理想电容"。
当电容器存在内阻时,其总阻抗应表示为电阻与电容的串联组合。在同时包含电容C和电阻R的交流电路中,组合两端的电压相量V等于两个分量电压VR和VC的相量和。这意味着流入电容器的电流仍会超前电压,但超前角度小于90°,具体取决于R和C的值,其相位差用希腊字母Φ表示。
考虑以下欧姆电阻R与纯电容C串联的电路:
![[RC串联电路图示]](http://n.sinaimg.cn/spider20250402/231/w728h303/20250402/7658-d97171c05fa24b6c1b788b3a06fb72e8.png)
在该RC串联电路中:
- 电流同时流经电阻和电容
- 总电压由两个分量电压VR和VC组成
虽然可以通过数学计算求得这两个分量的合成电压,但由于VR和VC存在90°相位差,更直观的方法是构建矢量图进行矢量相加。
要绘制交流电容的矢量图,需要选定参考量。在串联交流电路中,电流是公共量,因此可作为参考基准。纯电阻和纯电容的独立矢量图如下:
![[两种纯元件的矢量图图示]](http://n.sinaimg.cn/spider20250402/232/w723h309/20250402/ff01-1ac29b53a1a41bf5c1401ec38a89ff11.png)
交流电阻的电压矢量与电流矢量同相,因此VR矢量按比例与电流矢量重合绘制。而在纯交流电容电路中,我们知道电流超前电压(遵循"ICE"法则),因此VC矢量按相同比例绘制在电流矢量后方90°处(即滞后90°)。
合成电压的矢量图:
![[合成电压矢量图图示]](http://n.sinaimg.cn/spider20250402/583/w926h457/20250402/841c-1f7b8bc8c203e55655985f2241f4acfe.png)
图中:
- OB线代表水平电流参考轴
- OA线表示与电流同相的电阻电压分量
- OC线表示滞后电流90°的电容电压分量
- OD线给出电源总电压
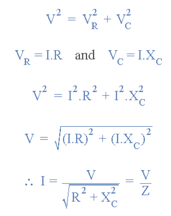
由于纯电容中电流超前电压90°,由VR和VC压降绘制的合成相量图构成直角三角形OAD。我们可运用勾股定理计算RC电路的总电压值。已知VR = I·R,VC = I·XC,则外加电压为两者的矢量和:
![[电压三角形公式图示]](http://n.sinaimg.cn/spider20250402/445/w549h696/20250402/8770-8ec4ef970b3e8a34000f84270b885bc8.png)
RC电路的阻抗
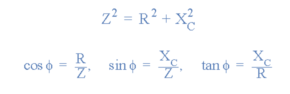
阻抗Z(单位:欧姆Ω)是交流电路中电阻(实部)和电抗(虚部)对电流的总阻碍作用。纯电阻阻抗的相位角为0°,而纯电容阻抗的相位角为-90°。
当电阻和电容连接在同一电路中时,总阻抗的相位角将介于0°到-90°之间,具体取决于元件参数值。通过阻抗三角形可以求解上述简单RC电路的阻抗:
![[RC阻抗三角形图示]](http://n.sinaimg.cn/spider20250402/517/w845h472/20250402/40c7-7e5ea6133e3a4d4577e4b3d001acdc5e.png)
阻抗计算公式为:
(阻抗)² = (电阻)² + (j电抗)²
其中j表示90°相位偏移
运用勾股定理,可计算出电压与电流之间的负相位角θ:
![[电阻与电抗间的相位角公式]](http://n.sinaimg.cn/spider20250402/425/w924h301/20250402/0d17-e169c33d05f1ca69e0b7ecb80001e9ad.png)
交流电容实例分析1
已知单相正弦交流电源电压为:V(t) = 240 sin(314t – 20°) ,连接至200μF的纯交流电容。试求流入电容器的电流值,并绘制相应相量图。
![[交流电容示例1图示]](http://n.sinaimg.cn/spider20250402/503/w988h315/20250402/9827-02079c1a64cb9c2f80855f44f94153c5.png)
电容器两端的峰值电压等于电源电压。将该时域值转换为极坐标形式:VC = 240∠-20° (V)。容抗计算公式为:XC = 1/(ω·200μF)。根据欧姆定律,流入电容器的最大瞬时电流为:
![[电容器电流计算公式]](http://n.sinaimg.cn/spider20250402/326/w826h300/20250402/59e5-b93d30a975efc66f22201e99cbe584c1.png)
在交流电容电路中,电流超前电压90°,所得相量图如下:
![[相量图图示]](http://n.sinaimg.cn/spider20250402/219/w620h399/20250402/9231-6116a643d3bd7754c2d03ab8f0965c79.png)
交流电容实例分析2
某电容器内阻10Ω、容值100μF,接入电源电压V(t) = 100 sin(314t)。试计算流入电容器的峰值瞬时电流,并构建显示各电压分量的电压三角形。
![[交流电容示例2图示]](http://n.sinaimg.cn/spider20250402/503/w988h315/20250402/9827-02079c1a64cb9c2f80855f44f94153c5.png)
首先计算容抗和电路阻抗:
![[电路阻抗计算公式]](http://n.sinaimg.cn/spider20250402/293/w796h297/20250402/c4e0-42e65c431124c13b9c0c89225f107d5a.png)
则流入电容器和电路的峰值电流为:
![[电容器电流计算公式]](http://n.sinaimg.cn/spider20250402/793/w611h182/20250402/ffde-3f006ec4f53e7712fd54e0f4dd2f23b3.png)
根据阻抗三角形,电流与电压的相位差计算如下:
![[相位角φ计算公式]](http://n.sinaimg.cn/spider20250402/169/w793h176/20250402/04c4-08a7c75e4eda97e85d82c346f22295c8.png)
电路各部分的电压降计算为:
![[电压降计算公式]](http://n.sinaimg.cn/spider20250402/406/w839h367/20250402/273b-c85a3ad0f510fbbb5e55543649b7442d.png)
最终得到的峰值电压三角形相量图如下:
![[电压相量图图示]](http://n.sinaimg.cn/spider20250402/107/w457h450/20250402/6887-e630c882cc7e1be5a893456e80c9bdbf.png)
交流电容特性总结
1. 纯交流电容电路中,电压与电流存在90°相位差,电流超前电压("ICE"记忆法则)
2. 电容的交流电阻特性称为阻抗(Z),与频率相关;其电抗特性称为容抗(XC)
3. 容抗计算公式:XC = 1/(2πƒC) 或 1/(-jωC)
4. 三种无源元件特性对比:
- 电阻:相位角0°
- 电感:相位角+90°
- 电容:相位角-90°
下节预告
在关于RLC串联电路的教程中,我们将探讨:
1. 三种无源元件在串联电路中的电压-电流关系
2. 稳态正弦交流波形作用下的响应特性
3. 对应的相量图表示方法交流电容实例分析1
“掌”握科技鲜闻 (微信搜索techsina或扫描左侧二维码关注)










