了解一种在语音传输中使用了近一个世纪的经典幅度调制(AM)技术。
本文引用地址:
在本系列中,我们已经探讨了两种幅度调制(AM)方法:
双边带抑制载波(DSB-SC)。
常规AM。
这些技术传输消息信号的上边带和下边带。例如,图1展示了一个典型的DSB-SC输出频谱。
基带消息信号的频谱(a)和DSB-SC信号的频谱(b)。上边带和下边带分别用USB和LSB表示。

图1 基带消息信号的频谱(a)和DSB-SC信号的频谱(b)。上边带和下边带分别用USB和LSB表示。图片由Steve Arar提供
由于调制信号包含两个边带,它占据的带宽是消息信号的两倍。
为了更有效地使用带宽,单边带(SSB)调制消除了上边带或下边带。与DSB-SC一样,这种类型的AM也抑制了载波。因此,它有时被称为SSB-SC调制。
SSB调制的主要优点是它只需要双边带(DSB)调制的一半带宽。由于SSB信号占据的带宽较窄,信号中的噪声量也减少了。使用SSB接收器时,拦截的噪声带宽等于消息信号的带宽。而DSB接收器则捕获两倍信号带宽的噪声。
这种拦截噪声带宽的差异影响了可实现的信噪比(SNR),使得SSB在相同信号功率下更节能。当信号功率相同时,DSB信号的有效SNR是SSB的一半。
在接下来的几篇文章中,我们将讨论生成SSB信号的三种既定方法:
滤波法。
相位法。
Weaver法(有时简称为第三种方法)。
本文将介绍滤波法,该方法涉及生成DSB-SC信号,然后滤除不需要的边带。滤波法特别适用于低频内容最少的消息信号。由于低于约300 Hz的频率对于语音信号的可懂度不是必需的,因此它通常用于语音传输。
基本滤波法
图2展示了生成SSB信号的最直接方法。请注意,乘法器可以使用平衡调制器实现。
通过使用带通滤波器仅保留所需边带来生成SSB信号。
图2 通过使用带通滤波器仅保留所需边带来生成SSB信号。图片由Steve Arar提供。乘法器生成一个DSB-SC信号,随后通过一个高度选择性的带通滤波器。滤波器选择一个边带——上边带或下边带——同时拒绝另一个。图3(b)展示了通过图3(a)中DSB信号的上边带(USB)的理想滤波器响应。
DSB信号的频谱(a)和生成上边带SSB信号的理想滤波器响应(b)。
图3 DSB信号的频谱(a)和生成上边带SSB信号的理想滤波器响应(b)。图片由Steve Arar提供。如上图所示,滤波器理想情况下应在载波频率(fc)处突然截止。然而,现实中的滤波器无法实现完美的砖墙选择性——不可避免的过渡带是存在的。因此,实际滤波器可能会抑制一些所需的边带,或者允许一些不需要的边带通过到输出。
幸运的是,许多实际信号——包括语音——在零频率附近表现出最小的能量。这导致DSB信号频谱在载波频率附近存在一个能量间隙,带通滤波器的过渡带就位于这里。这如图4所示。
消息信号的频谱,在零频率附近存在能量间隙(a)和乘法器输出处的DSB-SC信号(b)。

图4 消息信号的频谱,在零频率附近存在能量间隙(a)和乘法器输出处的DSB-SC信号(b)。图片由Steve Arar提供。
在上图中,fa是消息信号的最低频率分量。这导致DSB信号在fc处存在一个能量间隙。图4(b)中的紫色曲线展示了保留上边带所需的滤波器响应。
所需的边带必须位于滤波器的通带内;不需要的边带必须位于滤波器的阻带内。因此,滤波器的过渡带从fc + fa到fc – fa。换句话说,滤波器的过渡带是2fa,即消息中包含的最低频率分量的两倍。
尽管输入频谱在零频率附近的能量间隙在一定程度上放宽了边带滤波器的要求,但我们可能仍然需要锐利的滤波器来消除不需要的边带。此外,实际滤波器的可实现过渡区域取决于截止频率以及滤波器阶数。高频、锐利的滤波器通常需要更高Q值的元件,并且更容易受到元件非理想性的影响。
为了绕过这些滤波器的需求,我们在滤波过程中增加了一个额外的步骤。我们将在下一节中以模拟语音信号的传输——SSB调制的主要应用之一——为例进行讨论。
两步滤波法
在语音传输中,信号中存在的最低频率分量约为30 Hz。然而,为了简化滤波器要求,我们通常假设语音信号的最低频率为300 Hz。因此,带通滤波器的过渡带应为600 Hz。
根据经验法则,实际滤波器的可实现过渡区域约为其截止频率的1%。基于此,截止频率约为60 kHz。换句话说,如果滤波器的可用过渡带为600 Hz,边带滤波器的考虑将最大载波频率限制在约60 kHz。
当载波频率显著高于60 kHz时,滤波器设计变得更加复杂。图5展示了我们在这种情况下使用的两步频率转换过程。
图5 使用中间频率的两阶段过程生成SSB信号。图片由Steve Arar提供。首先,我们在远低于目标载波(fc)的低中频(fIF)处生成DSB-SC信号。在低频下更容易实现的锐利边带滤波器被应用于DSB信号,以在fIF处生成SSB-SC信号。
为了获得中频滤波器输出端的信号频谱(图5中的节点A),我们可以使用图4(b)的结果。假设中频滤波器保留了上边带同时抑制了下边带,节点A处的SSB信号如图6所示。
图6 中频滤波器输出端的信号频谱。图片由Steve Arar提供节点A处的信号可以看作是一个在零频率附近具有2fIF + 2fa ≈ 2fIF能量间隙的消息信号。然后将该信号应用于第二级,以调制到所需的载波频率。由于应用于第二乘法器的信号的能量间隙增加到2fIF,第二级可以使用过渡带更平缓的带通滤波器。
由于其低成本和设计简单性,晶体滤波器是SSB发射机的主要选择。它们还因其高Q值而提供了卓越的选择性。然而,一些设计使用陶瓷或DSP滤波器。
何时不使用SSB调制
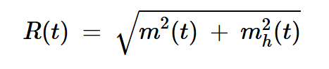
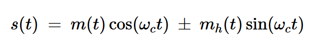
SSB调制不推荐用于数字数据或脉冲传输。为了理解原因,我们需要了解一些关于SSB信号的时间表示。SSB信号可以在时域中描述如下:
公式1其中mh(t)是消息信号m(t)的希尔伯特变换。加号产生下边带;减号产生上边带。上述公式表明,SSB信号的包络由下式给出:
公式2希尔伯特变换的一个著名特性是,它在消息信号突然变化的点处表现出尖锐的峰值。这一特性的经典演示是将方波插入希尔伯特变换。结果如图7所示。
图7 矩形脉冲(虚线)及其希尔伯特变换(实线)。图片由F R Kschischang提供当输入信号存在阶跃不连续性时,会在希尔伯特变换的输出端产生较大的值。实际电路难以生成希尔伯特变换所需的大峰值,因此SSB调制不适用于脉冲和数字数据信号。为了平滑不必要的高频输入跃迁并避免产生大峰值,即使是语音信号在输入SSB发射器之前也可能需要进行低通滤波。
总结
SSB调制通过消除一个冗余边带改进了DSB调制,将传输带宽减少了一半。然而,生成SSB信号的滤波方法需要具有极陡峭滚降特性的边带滤波器。这在实际中难以实现,尤其是在高频情况下。
锐利的滤波器通常在较低频率下更有效且更容易设计。为了利用这一点,我们首先在中频生成DSB信号,然后对其进行滤波。这种两步频率转换过程允许更精确地选择所需的边带。
然而,滤波方法并不是生成SSB信号的唯一方法,它只是最古老且最直接的一种。在下一篇文章中,我们将讨论相位法,这种方法消除了对锐利滤波器的需求。我们还将进一步了解希尔伯特变换。
“掌”握科技鲜闻 (微信搜索techsina或扫描左侧二维码关注)










