磁场中存储的能量取决于线圈的能量密度,该能量密度与磁场强度的平方成正比,磁场强度分布在线圈周围的整个空间体积中。
本文引用地址:
磁场中是否存在能量
磁性的影响通常通过磁场的存在来描述,磁场中存储的能量取决于几个关键因素。这些因素可以包括磁场强度(H)以及实际产生周围磁场的电流(I),特别是在绕线线圈和螺线管中。
每个磁场都包含某种形式的能量,我们通常称之为磁能Wm。磁场中存储的能量是物理学的基本原理之一,在科学和技术的各个分支中都有应用,包括电磁学和电子学。但是,磁性能否真的被视为一种能量形式呢?
我们知道,磁场是分布在磁性材料周围开放空间中的区域。它通常由从其北极端辐射到南极端的闭合力线来表征。产生的场在磁性材料内部最强,特别是在磁极周围。因此,离磁性材料越远,磁场强度越弱。
通常,我们通过磁场的强度及其指向的方向来衡量磁场的影响。通常,磁场是由永磁材料或通过导线流动的电流产生的。
对于电磁铁,如果导体形成具有大量匝数的线圈,则磁场特别强。因此,长而直的线圈(螺线管)可以产生类似于永磁体的均匀磁场,如图所示。
磁体周围的磁场
磁体周围的磁场磁力线表示永磁体或电磁体周围产生的磁通量Φ的流动。每条磁力线形成一个闭合环,如虚线所示,它们永远不会交叉。磁场强度H定义为:H = B/µ0,其中B是磁通密度,µ0是自由空间的磁导率。
磁场中如何存储能量
所有磁场都存储一些能量,这些能量可以由永磁体或电磁体产生。由硬合金制成的永磁体,在其周围占据的开放空间中产生磁场,并且该磁场不会改变。但是,使用线圈形成的电磁体根据线圈的匝数及其承载的电流量在自身周围产生可变的磁场。电磁线圈,称为螺线管,具有大量的实际应用。
为了描述由于电流而在绕线线圈内的磁场能量密度,我们需要考虑一个N匝的电感器。由于电感器具有存储能量的能力。
电感器是一种电子无源器件,它不产生能量,而是将其存储为磁能。然后,电感能量是当电流通过形成的线圈时出现在其中的能量。因此,存储在电感器中的能量是磁能Wm的形式。
电感器磁场中的能量可以与创建或改变其场所做的功相关。也就是说,电压源为保持电流流过和围绕线圈所做的功(提供功率)。存储的能量和场的强度取决于电流以及电感器的几何形状和物理特性。
由于电感器场中的能量与最初产生它的电流有关,但与维持它无关。所做的功(以瓦特为单位)以迫使电流通过电感器线圈的公式为:
1. 电感器两端的电压由下式给出:

其中dI/dt是通过电感器的电流变化率,字母L表示自感。
2. 电压源提供给电感器的瞬时功率P为:

由于电感是存储磁场中能量的能力,总存储的能量,将上述功率公式在时间间隔从0到t内积分,在此期间电流以V/L安培/秒的速度均匀增加,从0到I,给出:
磁场中存储的能量因此,当电流I通过电感器时,电感器在其场中存储的总磁能Wm为:
存储在电感器中的能量

其中,L是电感器的自感,单位为亨利,I是电流,单位为安培。
请注意,因子1/2来自提供给电感器的功率的积分,因为平均电流为I/2。我们还可以看到,存储的能量随电流的平方(I2)增加。这意味着电流加倍,存储的能量增加四倍。
此外,更高的电感意味着电感器可以在相同电流下存储更多能量。自感取决于线圈的匝数、横截面积、线圈的长度。
教程示例No1
计算在电流达到其最大值3安培后,具有2亨利电感的绕线线圈的磁场中的能量。

这意味着线圈在其磁场中存储了9焦耳的能量。
使用磁场强度
我们还可以使用磁场强度(B)计算线圈或螺线管在均匀场中的能量密度(每立方米能量),因为周围场越强,它存储的能量越多。场的每单位体积能量密度有时更为重要,因为它与磁场强度(H)的平方成正比。
我们之前看到,磁场中的能量由1/2 LI2给出,使用电流和自感。但是,有许多方法可以表达线圈、螺线管或电感器的电感,涉及其物理特性和场的特性。
对于螺线管,电感L可以表示为:

其中:
µ0是磁常数和自由空间的磁导率(4π x 10-7 H/m)
N是每单位长度的匝数
A是螺线管的横截面积
ℓ是螺线管的长度
这表明电感L取决于线圈的物理特性,并且也与匝数N的平方成正比。
在螺线管线圈中,内部磁场强度B与电流I的关系为:

其中:
B是磁场强度
N是每单位长度的匝数
I是电流
从上述磁场强度B的方程中。如果我们现在用B表示I,我们得到:

现在将上述I和L代入原始存储能量方程,我们得到:
能量密度该方程表示存储的能量。然而,螺线管核心的体积(V)为Aℓ,因此可以找到螺线管(电感器)周围磁场中每单位体积的磁能密度。
表达每单位体积的磁能
总能量Wm分布在螺线管的体积上,即V = Aℓ。因此,为了找到能量密度UB(每单位体积的能量),我们必须将总能量除以体积:
磁场中的能量因此,真空中磁场中任何点的能量密度可以简化为更通用的公式:
磁场中的能量密度
磁场中的能量密度上述磁场材料的能量密度方程告诉我们,分布在螺线管体积上的每立方米场中存储的能量与磁场强度B的平方成正比,并且与介质µ0的磁导率成反比(对于自由空间)。
当磁场形状不均匀时,或者对于磁场材料周围存在的任何空间区域,该表达式也成立。
教程示例No2
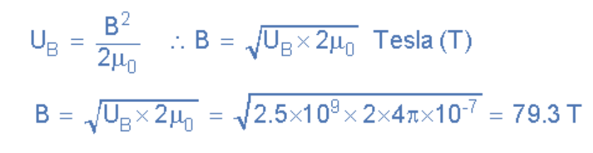
螺线管线圈的电感为2.0 mH。计算,(a)当20安培的电流通过时,周围场中存储的磁能。(b)如果螺线管的总体积为0.16 mm3,则找到磁场的能量密度。(c)还找到螺线管线圈内的磁场强度。
a). 场中存储的磁能
存储的能量b). 磁场中的能量密度
提示,将mm3转换为m3
磁场中的能量密度c). 磁场强度
记住,自由空间的磁导率(µ0)等于4π x 10-7(H/m)
场强磁能存储在哪里
磁能分布在磁场存在的区域体积中。典型的螺线管每单位长度有“N”匝,长度ℓ,面积“A”。该体积简单地给出为:V = Aℓ。
当磁场均匀时,它在核心内部最强,因此大部分能量存储在那里。如果内部没有磁性材料(空心电感器),则能量存储在特意引入磁力线路径中的间隙和空间中。
由于磁场中存储的磁能最好由其能量密度(每单位体积的能量)来描述,因此它存储在线圈周围的空间中(主要在螺线管内部)。在螺线管内部,磁力线与线圈的轴线平行运行,能量存储在这些力线存在的空间中。
在本教程中,我们已经看到,电感器和绕线线圈具有在其场中存储能量的能力,该场既围绕核心又存在于核心内部。这种磁能定义为:Wm = 1/2 LI2。能量分布在磁场存在的空间体积中,最高浓度通常在线圈内部。
此外,当通过电感器的电流增加导致其增长时,电感器在其磁场中存储能量。但当电流减少或中断时,随着场的崩溃,释放这种存储的能量。
“掌”握科技鲜闻 (微信搜索techsina或扫描左侧二维码关注)










