01
本文引用地址:
反相比例运算电路

02
同相比例运算电路

03
电压跟随器


04
反相求和运算电路


05
同相求和运算电路


06
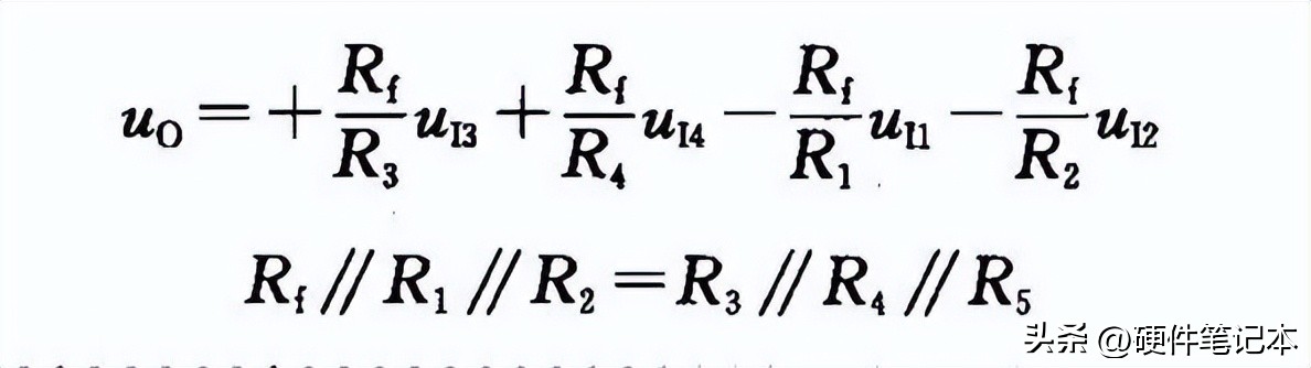
加减运算电路


07
加减电路


08
积分运算电路




09
实用积分电路


10
微分运算电路

11
实用微分电路



12
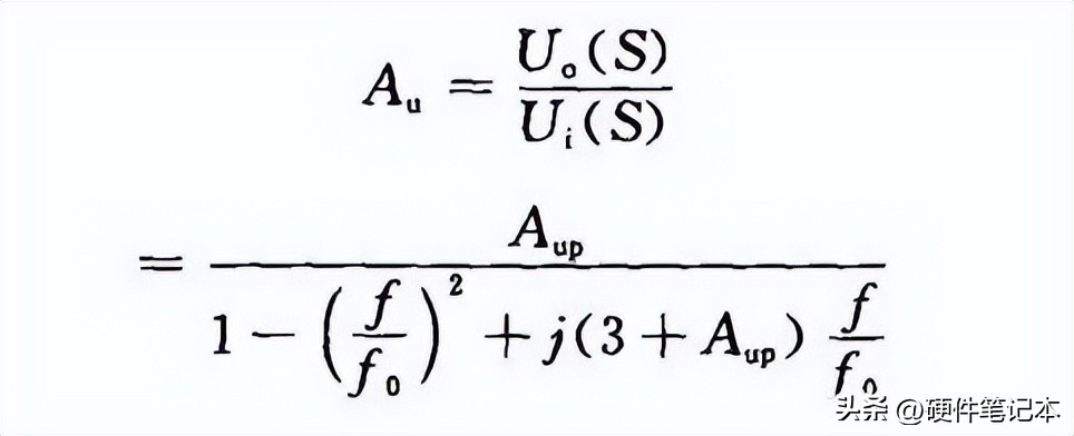
压控电压源二阶低通滤波器



13
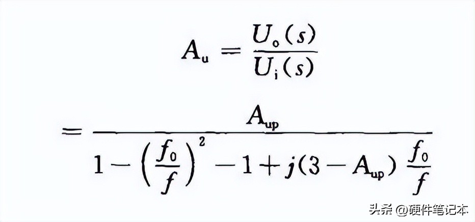
压控电压源二阶高通滤波器



14
RC桥式正弦振荡电路


15
方波发生电路



16
方波和三角波发生电路



17
过零比较器电路




18
一般单限比较器




19
滞回比较器








20
窗口比较器



新浪科技公众号
“掌”握科技鲜闻 (微信搜索techsina或扫描左侧二维码关注)










