惠斯通电桥是由四个电阻组成的电路,其中心值为零。
本文引用地址:
惠斯通电桥的菱形电路概念由查尔斯·惠斯通(Charles Wheatstone)提出,可用于精确测量未知电阻值,或通过使用可变电阻和简单的数学公式作为校准测量仪器、电压表、电流表等的工具。
尽管如今数字万用表提供了测量电阻的最简单方法,但惠斯通电桥电路可用于将未知电阻与已知电阻进行比较,以高精度确定其值。这使得可以精确测量低至毫欧(mΩ)范围的电阻值。
惠斯通电桥(或电阻电桥)电路可用于多种应用,如今,借助现代运算放大器,我们可以使用惠斯通电桥电路将各种传感器和换能器连接到这些放大器电路。
惠斯通电桥电路只不过是两个简单的串联-并联电阻组合,连接在电源端子和地之间,当电桥平衡时,两个并联分支之间的电压差为零。
惠斯通电桥电路有两个输入端子和两个输出端子,由四个电阻以熟悉的菱形配置组成,如图所示。这是惠斯通电桥的典型绘制方式。
惠斯通电桥
惠斯通电桥当电桥平衡时,惠斯通电桥可以简单地分析为两个串联电路的并联。在我们关于串联电阻的教程中,我们看到串联链中的每个电阻都会产生一个IR压降,即由于电流通过它而在其两端产生的电压降,这是由欧姆定律定义的。考虑下面的串联电路。
串联电阻电路由于两个电阻串联,相同的电流(i)流过它们。因此,流过这两个串联电阻的电流为:V/RT。
I = V ÷ R = 12V ÷ (10Ω + 20Ω) = 0.4A
点C处的电压,也就是下电阻R2上的电压降,计算如下:
VR2 = I × R2 = 0.4A × 20Ω = 8伏
然后我们可以看到,电源电压VS在两个串联电阻之间按比例分配,VR1 = 4V,VR2 = 8V。这是电压分配的基本原理,产生了通常称为分压电路或分压网络的结构。
现在,如果我们在第一个电路的基础上再添加一个具有相同电阻值的串联电阻电路,并联连接,结果将如下所示的电阻电路。
串联-并联电阻电路由于第二个串联电路与第一个电路具有相同的电阻值,点D处的电压,也就是电阻R4上的电压降,将具有相同的8伏值,相对于零(电池负极),因为电源电压是共同的,并且两个电阻网络完全相同。
但同样重要的是,点C和点D之间的电压差将为零伏(0V),因为两点都处于相同的8伏值。因此:C = D = 8伏,它们之间的电压差为:0伏
当这种情况发生时,并联电桥网络的两侧被称为平衡的,因为点C的电压与点D的电压相同,它们的差值为零。
现在让我们考虑如果将第二个并联分支中的两个电阻R3和R4的位置与R1和R2互换会发生什么。
反向电阻电路当电阻R3和R4互换时,相同的电流流过串联组合,点D处的电压,也就是电阻R4上的电压降将为:
VR4 = 0.4A × 10Ω = 4伏
现在,VR4上有4伏的电压降,点C和点D之间的电压差将为4伏,因为:C = 8伏,D = 4伏。那么这次的差值为:8 – 4 = 4伏
交换两个电阻的结果是,并联网络的两侧或“臂”不同,因为它们产生不同的电压降。当这种情况发生时,并联网络被称为不平衡的,因为点C的电压与点D的电压不同。
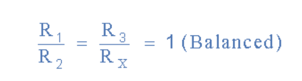
然后我们可以看到,这两个并联臂ACB和ADB的电阻比导致了0伏(平衡)和最大电源电压(不平衡)之间的电压差,这是惠斯通电桥电路的基本原理。
因此,我们可以看到惠斯通电桥电路可用于将未知电阻RX与已知值的其他电阻进行比较,例如R1和R2具有固定值,而R3可以是可变的。
如果我们在点C和D之间连接一个电压表、电流表或经典的检流计,然后调整电阻R3,直到仪表读数为零,这将导致两个臂平衡,并且RX的值(替代R4)已知,如图所示。
惠斯通电桥电路
惠斯通电桥电路通过将R4替换为惠斯通电桥传感臂中已知或未知值的电阻RX,并调整对侧电阻R3以“平衡”电桥网络,将导致零电压输出。然后我们可以看到,当以下条件满足时,电桥平衡:
惠斯通电桥比例惠斯通电桥方程用于在平衡时给出未知电阻RX的值,公式如下:
惠斯通电桥方程其中电阻R1和R2是已知或预设值。
示例1
构建了以下不平衡的惠斯通电桥。计算点C和D之间的输出电压以及平衡电桥电路所需的电阻R4的值。
惠斯通电桥示例对于第一个串联臂ACB
惠斯通电桥臂ACB对于第二个串联臂ADB
惠斯通电桥臂ADB点C-D之间的电压为:
惠斯通电桥电压平衡电桥所需的电阻R4的值为:
平衡电阻我们上面已经看到,惠斯通电桥有两个输入端子(A-B)和两个输出端子(C-D)。当电桥平衡时,输出端子之间的电压为0伏。然而,当电桥不平衡时,输出电压可能为正或负,取决于不平衡的方向。
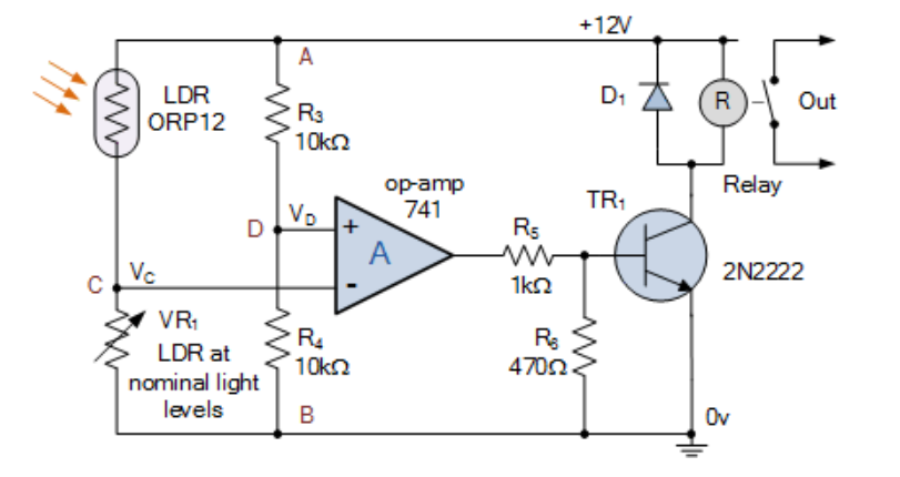
惠斯通电桥光检测器
平衡电桥电路在电子学中有许多有用的应用,例如用于测量光强度、压力或应变的变化。可以在惠斯通电桥电路中使用的电阻传感器类型包括:光敏电阻传感器(LDR)、位置传感器(电位器)、压阻传感器(应变计)和温度传感器(热敏电阻)等。
惠斯通电桥有许多用于感测各种机械和电气量的应用,但一个非常简单的惠斯通电桥应用是通过使用光敏电阻器件来测量光。电桥网络中的一个电阻被光敏电阻(LDR)取代。
LDR,也称为硫化镉(Cds)光电池,是一种被动电阻传感器,它将可见光水平的变化转换为电阻的变化,从而转换为电压。光敏电阻可用于监测和测量光强度水平,或判断光源是打开还是关闭。
典型的硫化镉(CdS)电池,如ORP12光敏电阻,通常在黑暗或昏暗光线下具有约1兆欧(MΩ)的电阻,在100勒克斯(典型的光照良好的房间)的光强度下约为900Ω,在明亮的阳光下约为30Ω。随着光强度的增加,电阻减小。通过将光敏电阻连接到上述惠斯通电桥电路,我们可以监测和测量光水平的任何变化,如图所示。
光检测
惠斯通电桥光检测器LDR光电池连接到惠斯通电桥电路,如图所示,以产生一个光敏感开关,当感测到的光水平高于或低于由VR1确定的预设值时激活。在此示例中,VR1是一个22k或47kΩ的电位器。
运算放大器连接为电压比较器,参考电压VD施加到非反相引脚。在此示例中,由于R3和R4都是10kΩ的相同值,因此点D处的参考电压将等于Vcc的一半,即Vcc/2。
电位器VR1设置施加到反相输入的触发点电压VC,并设置为所需的标称光水平。当点C的电压小于点D的电压时,继电器“打开”。
调整VR1设置点C的电压,以在所需的光水平或强度下平衡电桥电路。LDR可以是任何硫化镉器件,在低光水平下具有高阻抗,在高光水平下具有低阻抗。
请注意,通过在设计中将LDR和R3的位置互换,该电路可以用作“光激活”开关电路或“暗激活”开关电路。
惠斯通电桥在电子电路中还有许多其他用途,而不仅仅是比较未知电阻与已知电阻。当与运算放大器一起使用时,惠斯通电桥电路可用于测量和放大由于光强度变化等引起的电阻RX的微小变化,正如我们上面所看到的。
但电桥电路也适用于测量其他变化量的电阻变化,因此通过将上述光敏电阻LDR光传感器替换为热敏电阻、压力传感器、应变计等换能器,并交换LDR和VR1的位置,我们可以在各种其他惠斯通电桥应用中使用它们。
此外,可以在由电阻R1至R4形成的电桥的四个臂(或分支)中使用多个电阻传感器,以产生“全桥”、“半桥”或“四分之一桥”电路布置,提供热补偿或自动平衡惠斯通电桥。
“掌”握科技鲜闻 (微信搜索techsina或扫描左侧二维码关注)










