我们研究了用于双边带抑制载波信号和带有载波的双边带信号的射频解调电路。
本文引用地址:
在本系列文章中,我们已经探讨了两种形式的双边带幅度调制(AM)及其相关的调制电路。调制,正如我们所知,是将基带消息信号转换到射频频段以进行传输的过程。但是,一旦接收到调制信号,我们如何从中恢复消息呢?
在本文中,我们将把注意力转向解调问题。大部分情况下,我们将重点关注双边带抑制载波信号。然而,在文章的最后,我们还将讨论一种传输载波分量的双边带解调电路。
DSB-SC调制信号
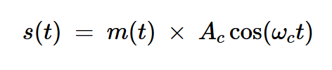
在讨论解调之前,让我们简要回顾一下我们对DSB-SC调制的了解。为了获得DSB-SC信号,我们使用以下形式的载波:
公式1其中:
Ac = 载波幅度
ωc = 载波频率(以弧度/秒为单位)
t = 时间。
然后,我们将基带消息信号(m(t))乘以载波,得到:
公式2在频域中,这种乘法对应于基带信号频谱(M(f))与余弦函数频谱的卷积。这些频谱在图1中分别由M(f)和C(f)表示。
基带频谱(左上角)、载波频谱(右上角)和调制信号频谱(底部)。
图1 时域中的乘法对应于频域中基带频谱与载波的卷积(顶部)。这将基带频谱平移了±fc(底部)在图1的底部,我们看到调制波的频谱(S(f))有两个基带频谱的副本:一个移动到载波频率(fc),另一个移动到–fc。
基本的DSB-SC解调
假设有一个理想的信道——没有噪声和失真——接收到的信号与发送的DSB-SC信号相同:
公式3为了解调信号,接收器必须生成一个与原始载波频率和相位相同的载波。这被称为相干或同步解调。然后,我们将r(t)乘以接收器的载波,并应用一个具有适当带宽的低通滤波器。图2展示了解调过程。
DSB-SC信号的解调。
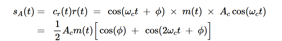
图2 DSB-SC信号的解调假设接收器中本地生成的载波相对于原始载波有相位误差ϕ:
公式4乘法器输出的信号为:
公式5第一项恢复了基带频谱。第二项产生了以两倍载波频率为中心的基带频谱副本。图3显示了将接收信号乘以本地载波后获得的频谱(假设调制信号频谱如图1所示)。
乘法器输出信号的频谱(解调器图中的节点A)。
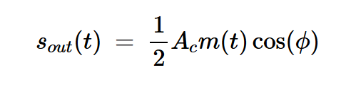
图3 乘法器输出信号的频谱(解调器图中的节点A)由于消息信号的带宽(B)远低于载波频率(fc),我们可以使用低通滤波器来抑制以2fc为中心的信号分量。这样,我们在输出端得到了基带频谱:
公式6公式6显示,输出频谱受到发射器和接收器载波之间相位误差的影响。对于非零的ϕ,输出信号的幅度减少了cos(ϕ)倍。例如,如果ϕ = 45度,输出信号的幅度减少了约0.7倍,输出功率减少了一半。当ϕ = 90度时,输出信号降为零。
如果相位误差在信号接收期间保持恒定,检测器会产生一个衰减但准确的基带信号复制。然而,由于信道的可变性,ϕ通常会随时间不可预测地波动。这导致检测器输出的相应随机变化,这是不希望的。
为了使本地振荡器与原始载波完美同步,我们需要比图2中所示的更复杂的电路。我们将在下一节中探讨一种这样的电路。
科斯塔斯环
实现相位相干解调的一种方法是使用锁相环。由此产生的解调电路被称为科斯塔斯环,如图4所示。
科斯塔斯环。
图4 科斯塔斯环该电路包含两个检测路径:
上路径,称为同相检测器或I通道。
下路径,称为正交检测器或Q通道。
与图2中的基本解调器一样,每条路径都包括一个乘法器和一个低通滤波器。I通道路径上的乘法器由余弦波驱动:
公式7其中θr是本地振荡器的相位。
Q通道的乘法器由正弦波驱动:
公式8另一个乘法器将同相和正交路径的输出结合起来,产生一个反馈信号,使压控振荡器(VCO)的正弦波与原始载波同步。
科斯塔斯环的操作
让我们从图4的输入到输出跟踪一个信号。我们从DSB-SC信号开始:
公式9其中θi是输入信号的相位。
信号通过I通道到达节点C的输出。此外,输入信号通过Q通道到达节点D。我们现在有两个不同的信号:
公式10其中θe = θi – θr。
我们将使用这两个信号为VCO提供反馈。我们首先将节点C和D的信号相乘,在节点E产生以下信号:
公式11之后,信号通过另一个低通滤波器,在节点F产生反馈信号:
公式12其中R是0.5m2(t)的直流分量。这被应用到VCO的输入端,VCO的静态频率为⍵c。
反馈电路自动校正本地振荡器和原始载波之间的任何相位误差。当相位误差为零(θe = 0)时,上臂产生消息信号(m(t)),下路径的输出降为零。
VCO相位误差校正
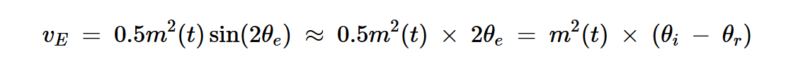
为了理解电路如何最小化相位误差,让我们假设本地振荡器的相位略微偏离理想值。假设相位误差很小,节点E的信号可以近似为:
公式13在上面的等式中,我们看到vE与相位误差成正比。换句话说,vE的极性和幅度取决于θe的符号和幅度。通过将vE通过低通滤波器,我们获得了一个用于调谐VCO的直流控制信号。
使用导频载波的同步解调
解决相位误差的另一种方法是将低电平载波合并到发送信号中。这个载波分量被称为导频音,作为接收端同步解调的相位参考。图5显示了一个双边带发射机,它在发送信号中包含了一个导频音。
一个乘法器和加法器创建了一个带有发送载波的DSB信号。
图5 一个乘法器和加法器创建了一个带有发送载波的DSB信号在上图中,载波被缩放因子k缩放,然后添加到输出信号中。缩放因子允许我们控制导频音的功率相对于信息承载信号分量的功率。接收器(图6)使用窄带滤波器提取导频音,然后将其与接收信号相乘以执行解调。
配置为提取导频音以进行相位相干解调的接收器。
图6 配置为提取导频音以进行相位相干解调的接收器请注意,这不属于DSB-SC调制。因为载波存在于调制信号频谱中,这不属于抑制载波技术。添加导频音的缺点是它将发送信号的一部分功率分配给载波,而载波不传递任何消息信息。
总结
我们已经看到了将本地载波与接收信号同步的重要性。相位差异可能导致输出显著衰减。在最坏的情况下,90度的相位差异可以将输出降为零。
像科斯塔斯环这样的电路使用反馈来最小化这种相位误差,并最大化DSB-SC信号的接收消息信号幅度。或者,我们可以在发送信号中加入低电平的导频载波,作为接收端同步解调的相位参考。
“掌”握科技鲜闻 (微信搜索techsina或扫描左侧二维码关注)










