电容思维导图如下:
本文引用地址:

电容有四大作用:去耦、耦合(隔直通交)、滤波、储能。今天我们主要谈论去耦作用。

相信大家都用过这几种电容,板子上最多的是多层陶瓷电容。
钽电容:主要用在电源电路中,博主被它炸过很多次......

这是 STM32F103 最小系统原理图,STM32F103VET6 需要五路 3.3V 供电,他的 3.3V 一般来源于 LDO(低压差线性稳压器),比如 LM1117。
5V转3.3V的电路:

LDO 比 DC-DC 的方式(TPS5430)更能提供稳定的电压,但对芯片来说依旧不够,我们需要在芯片供电引脚旁边加上 0.1uF 的去耦电容,让电压中的高频交流部分从电容走到地,从而芯片可以获得稳定的直流电压。因此,去耦电容的摆放需要尽量靠近芯片管脚。
分析电源完整性的时候我们常用的电容模型如下图所示:

ESR 是电容的串联等效电阻,ESL 是电容的串联等效电感,C 才是真正的理想电容。ESR 和 ESL 是由电容的制造工艺和材料决定的,没法消除。ESR 影响电源的纹波,ESL 影响电容的滤波频率特性。
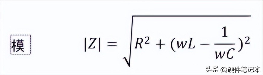
因此,有如下公式:


当频率很低的时候是电容起作用,而频率高到一定的时候电感的作用就不可忽视了,再高的时候电感就起主导作用了。电容就失去滤波的作用了。所以,高频的时候电容就不是单纯的电容了。实际电容的滤波曲线如下图所示。

参见上图,我们想要的最好的滤波效果是在“谷”底,就是曲线凹进去的尖尖,在这个尖尖的时候,滤波效果做好,能够滤除这个频段的干扰,但是,当频率很高的时候,这个时候0.1uF电容个滤波效果就没有0.01uF好了,以此类推,频率再高,选用的滤波电容的量级还要变小。
因此有时候可以采用多阻值电容并联的方式,获得最好的滤波效果。
“掌”握科技鲜闻 (微信搜索techsina或扫描左侧二维码关注)










