输入电容纹波电流有效值计算
本文引用地址:
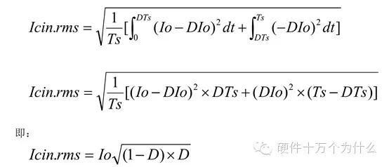
相信很多人都知道Buck电路中输入电容纹波电流有效值,在连续工作模式下可以用以下公式来计算:
然而,相信也有很多人并不一定知道上面的计算公式是如何推导出来的,下文将完成这一过程。
众所周知,在BuckConverter电路中Q1的电流(IQ1)波形基本如图1所示:0~DTs期间为一半梯形,DTs~Ts期间为零。当0~DT期间Iq1 ⊿I足够小时(不考虑输出电流纹波的影响),则Iq1波形为近似为一个高为Io、宽为DTs的矩形,则有:


Iin=(Vo/Vin)*Io=DIo (Iin,只要Cin容量足够大,则在整个周期中是基本恒定的;按照能量守恒定律:Pin≈Pout)
Icin=Iq1-Iin
对Icin 的表达式可以这样理解:在Q1导通期间输入端和输入电容共同向输出端提供电流,因此输入电容电流等于Q1电流减去输入端电流;在Q1关断期间输入端对电容充电,以补充在Q1导通期间所泄掉的电荷,而此时电流方向与所定义的正向是相反的,所以有Icin=-DIo根据有效值的定义.




不难得出输入电容的纹波电流有效值Icin.rms的计算公式:
有效值定义:有效值(Effectivevalue)在相同的电阻上分别通以直流电流和交流电流,经过一个交流周期的时间,如果它们在电阻上所消耗的电能相等的话,则把该直流电流(电压)的大小作为交流电流(电压)的有效值,正弦电流(电压)的有效值等于其最大值(幅值)的1/√2,约0.707倍。
在正弦交流电流电中根据热等效原理,定义电流和电压的有效值为其瞬时值在一个周期内的方均根值。

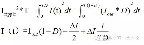
如果考虑输出纹波ΔI,Icin.rms的电流有效值。
在忽略Buck电源的输出电流纹波的前提下,进行的近似计算。那么我们通过精确计算,可以得到一个更准确的数据。
这个推导的过程,利用到积分公式。通过分析和推导,可以对电路的工作原理有比较透彻的理解。
如果考虑输出纹波电流。那么电容上的纹波电流的波形为:
我们了解了脉冲波的有效电流的计算方法之后,我们知道的输入电容承载的电流脉冲也是矩形脉冲电流

由于在上管打开的阶段,输入电流的大小即可近似的看成输出电流的大小。所以只需要将输出电流的波形叠加在输入电容的波形上面,可以得到上图中的波形。
那么按照有效电流定义,我们可以通过对电流平方在时间上的计算

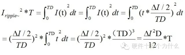
为了简便计算,我们将能量拆成纹波部分,和直流部分。
原先的直流部分,我们直接用乘法进行计算。
直流部分,我们按照近似计算的方法可以得到。
交流部分的功耗,我们按照公式计算可以得到:


所以总的电容上的有效电流为:

如果选用220uF的电容,每个能承受的有效电流为3.8A。。如果我们计算出来输入电容的有效电流值为7A,则需要选用220uF电容2个。高分子电解电容能够承受的有效电流值是有限的。在设计时需要充分考虑电容的承受能力。

如果没有输入电感,则电容的容值并不是非常重要,可以利用供电电源稳定输入电压值。只要前一级的电源带负载能力够强,应对电流突变的能力足够大(其实也是前一级的输出电容足够多),则电源输入侧的电容容量并不重要。
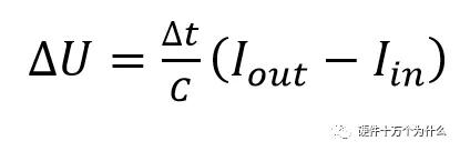
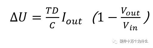
如果有输入电感,则输入端的电容容值显得重要,影响输入电压值跌落和输入电压纹波,利用充放电的电量相同可得:
Q=C*ΔU
Q=Iout*T*D
C=Iout*T*D/ΔU
因为对于二次电源来说,下一级的输入电容不够,可以依赖别的同源的输入电容,或者依赖上一级的输出电容,来避免电源跌落。所以这个问题容易被我们忽视。
流过MOSFET的电流Isw是不连续,输入电容的作用是用来提供一个低阻抗的电流源来提供MOSFET电流。

输入电容上各电压分量和电流波形


有些Datasheet会给一个上面的公式,让你去计算电容容值的最小值。但是没有给出为什么。或者直接给一个参考电路,告诉你:至少放两个10uF的陶瓷电容,或者放置3颗100uF铝电解电容等等。

当上管关闭的时候,只是输入电流给电容充电。此时Iin=Ic(sw OFF)
当上管打开的时候,电容放电和输入电流同时给输出端供电。
此时,上管上的电流Isw=Ic(sw ON)+Iin
Isw≈Iout

首先我们可以根据电容的:


可以得出:

我们想知道一个周期内电压跌落多少:



由纹波可见,需要在满足电容容量的前提下,选用低ESR的陶瓷电容,同时需要减小ESL。电容上本身的ESL并不大,但是经常会有因为输入电容较远或者地线较远引入较大的ESL在输入端引起较大的尖峰,导致芯片供电异常或者芯片MOSFET过压击穿。
所以输入电容的PCB布放,需要靠近输入端的两个管脚。

“掌”握科技鲜闻 (微信搜索techsina或扫描左侧二维码关注)










