本期,我们将介绍设计半桥电感器-电感器-转换器 串联谐振转换器 的必备知识
本文引用地址:
设计音频放大器的电源时必须将特殊注意事项考虑在内。与标准隔离式电源相比,音频信号的非线性性质提出了不同的设计挑战。
音频功率
在广泛的电气工程领域中,你会发现一个现象:不同的行业,甚至不同的公司,可能会使用不同的专业术语来描述同一个主题。为了实现成功的设计,电源工程师和音频工程师之间的相互理解至关重要。
首先需要明确两个术语:峰值功率和连续功率。峰值功率是最大瞬时音频功率。它将决定电源可实际输出的功率大小。连续功率是指一段时间内的平均音频功率。在电源设计中,连续功率是指系统在不超过元件温度或平均电流额定值的情况下可以提供的特定输出功率。图 1 提供了峰值和连续音频级别的示例。它们与波峰因数(波形的峰值与均方根 (RMS) 值之比的度量)有关。
图 1. 此图展示了连续和峰值功率音频级别它也可以通过方程式 1 用分贝表示:
方程式 1 用 RMS 表示音频功率并不恰当,因为从技术角度而言,它并不是计算得出的功率波形 RMS 值。音频放大器规格设定非常复杂,无法在此处详尽阐述,可能需要另写一篇文章来深入探讨。请注意,有关额定放大器功率级别的行业标准不一定能明确电源在峰值和连续功率方面的要求。
以针对 400W 音频放大器设计 LLC 串联谐振转换器 (LLC-SRC) 为例。在事先不了解音频系统的情况下,可能会设计出卓越的 400W 电源。但在需要为放大器加电时,电源会出现故障或音频质量较差等问题。LLC 转换器的增益曲线通常会基于最大负载设计,并在最小线路条件下接近串联谐振频率运行。这种方法通常会设计出卓越的 400W LLC-SRC,但在实际的音频系统中,峰值功率实际上将大于放大器的 400W 额定功率。开始电源设计之前,应至少指定连续功率和峰值功率。
对于 400W 放大器示例,播放压缩音乐的消费类产品的适当功率级别可以是 200W 的连续功率,也可以是 800W 的峰值功率,持续 15ms。这表示波峰因数为 12dB,即经处理音乐的典型值。未经处理的音频约为 18dB 至 20dB,电影音频约> 20dB。峰值与连续功率之比最终取决于具体的应用,因此,在设计过程的早期就必须清楚地定义这些参数。不同负载电平的持续时间要求对于优化设计也很有帮助。请谨记,务必要考虑音频放大器的效率,因为放大器中会存在损耗,从而导致电源的负载更高。
LLC-SRC 设计
一旦规格最终确定,便可以继续进行电源设计。根据地区和应用的电源质量标准,您可能需要为此功率级别的设计提供功率因数校正 (PFC) 电源。PFC 前端将提供稳压 400VDC 总线,用作 LLC-SRC 的输入。
与大多数谐振转换器一样,设计 LLC-SRC 的第一步是选择谐振回路元件。这将设置谐振频率并形成增益曲线。在此步骤中,确保可以达到峰值功率电平下的输出电压。如果谐振回路无法实现所需的增益,则输出电压将在音频达到峰值时下降,从而降低音频质量或关闭放大器。峰值功率的持续时间要求对于输出电容器来说通常太长,无法维持输出电压,因此电源需要能够实际提供整个峰值负载。
对峰值增益预留一些额外的余量。由于变压器构造的物理限制,并不总是能达到精确的匝数或电感值。对于需要达到高峰值功率的音频设计,使用分立式谐振电感器将大有裨益,可确保更精确的谐振和磁化电感。
在峰值功率下,选择可处理峰值电流的元件非常重要。设计磁性元件时,请确保它们不会饱和。在连续功率下,根据持续热性能来选择元件和封装很有必要。设计人员可能会缩减某些封装的尺寸,并使用 PCB 进行热管理,而不是使用散热器。
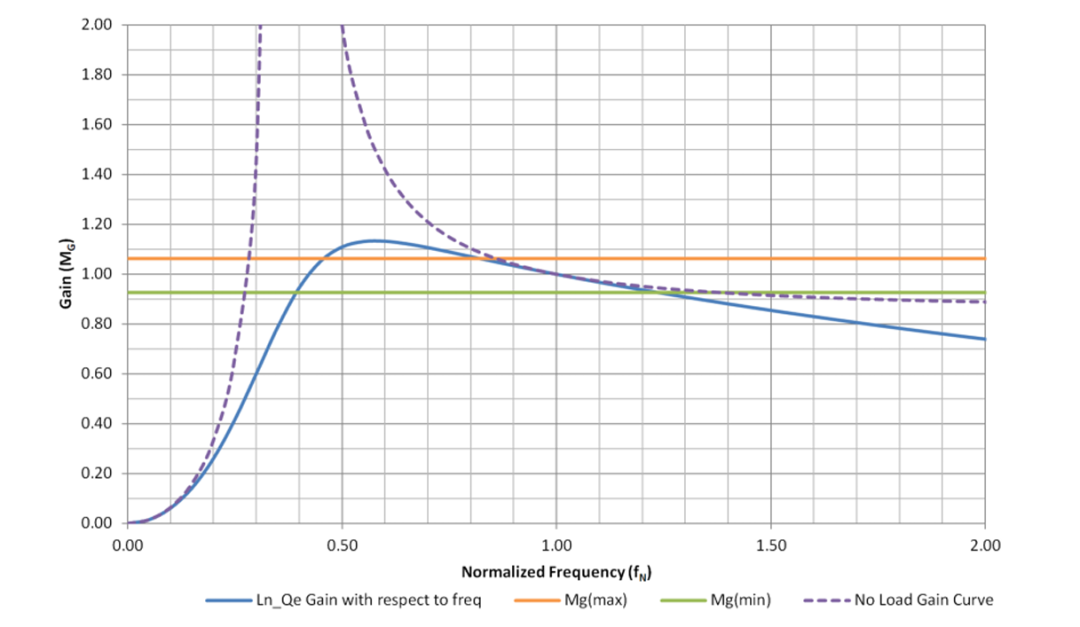
与任何 LLC-SRC 一样,构建增益曲线是一个迭代过程。尝试达到特定的工作频率、谐振电流和电压,并在峰值和连续功率级别之间平衡设计颇具挑战性。在完成计算时,需要调整磁化电感、谐振电感、匝数比和谐振电容。100kHz 是硅基设计的常见谐振频率目标。对于音频应用,目标应设为 100kHz,以实现连续功率工作点。图 2 展示了针对上述示例的增益曲线。工作频率范围为 83kHz 至 139kHz。
图 2. 该增益曲线针对 LLC-SRC 设计而构建突发模式
现代 LLC-SRC 设计的一个重要方面是可提高轻负载效率的突发模式运行。突发模式还用于满足行业待机功耗相关规定。当突发数据包频率处于可闻噪声范围内时,需要考虑可闻噪声,但 UCC256404 等一些 LLC 谐振控制器使用突发模式控制律来防止突发频率产生可闻噪声。
以下是三种方法以及相应的选择理由:
◆ 启用突发模式:使用突发模式可在不关闭主输出的情况下降低待机功耗。将瞬时为放大器供电,这样便不会因电源启动造成延迟。
◆ 禁用突发模式:在待机模式下,转换器将需要通过标准开关操作来调节输出。这降低了轻负载效率,但可以降低复杂性并进一步消除任何可闻噪声问题,例如次级侧整流器寄生效应对增益曲线的影响。图 2 展示了增益曲线在较高频率下实际如何开始上升。如果无法达到最小增益,电源将失去调节功能。
◆ 禁用外部控制器:当音频放大器未运行时,使用外部禁用电路来关闭控制器。与突发模式相比,这种模式可以降低待机功耗,但会增加成本,因为系统现在需要辅助电源。当放大器准备好输出音频时,也会存在启动延迟。
图 3. 在禁用突发模式的情况下,增益曲线将开始在较高频率处攀升LLC-SRC 是一种高性能拓扑,可支持 100W 至 500W 的连续功率范围。该拓扑非常适用于需要高效率和超低电磁干扰 (EMI) 的交流/直流系统。谐振转换器设计颇具挑战性,即使在被应用到错综复杂的音频系统之前也是如此。电源工程师和音频工程师在放大器所需的峰值和连续功率级方面相互了解是一切的基石。上述策略可视作成功设计用于音频应用的 LLC-SRC 的良好开端。
“掌”握科技鲜闻 (微信搜索techsina或扫描左侧二维码关注)










