本期,为大家带来的是《为精密 ADC 供电:平均电流与瞬态电流》,目的是探讨 ADC瞬态电流需求,讨论可提供平均电流和瞬态电流的多种电源配置并比较各种断电方法的效果。
本文引用地址:
引言
了解模数转换器 数据表电源参数可以帮助您设计更可靠的精密数据采集 (DAQ) 系统。具体来说,务必要了解 ADC 数据表中的电流消耗是在稳态工作条件下指定的平均值。因此,虽然 ADC 瞬态电流可能比指定的 ADC 电流大几个数量级,但这些测量的电流值并不能表征瞬态电流需求。在不同的 ADC 工作模式之间转换时,可能会出现瞬态电流,并且瞬态电流在最初为器件供电时最为显著。此外,ADC 周围的电路和元件会导致额外的瞬态电流需求。
本文深入探讨了 ADC 瞬态电流需求这一主题,首先介绍了典型 ADC 数据表如何指定电流,然后分享几个测试的结果,这些测试量化了不同工作条件下的瞬态电流需求。本文讨论了可提供平均电流和瞬态电流的多种电源配置,最后比较了各种断电方法的效果。
电源规格
ADC 数据表中的电流消耗是在稳态工作条件下指定的平均值。具有多种不同工作条件的 ADC 需要指定多个电流值。这些条件可能包括 ADC 平均电源电流,该电流会相对于数据速率进行调节,或者在启用可编程增益放大器 (PGA) 或电压基准 (VREF) 等内部功能时电流需求会增加。例如,表 1 显示了 TI ADS1261 在不同工作条件下的数据表电源规格,其中 ADS1261 是一款集成 PGA 和 VREF 的 24 位、40kSPS、11 通道 Δ-Σ ADC。

表 1. ADS1261 的数据表电源规格。
表 1 中突出显示的 PGA 旁路部分显示了 ADS1261 在 PGA 旁路的情况下正常运行期间消耗的平均模拟电流为 2.7mA(典型值)或 4.5mA(最大值)。突出显示的“按功能”部分表示启用每个功能时电流增加了多少。所有这些电源电流规格都是通过在电流稳定后测量器件消耗的平均电流来表征的。
因此,数据表电源规格对器件或支持电路在正常运行期间所需的任何瞬态电流需求取平均值。这很重要,因为启动和开关期间的瞬态电流可能明显大于数据表中指定的值。可靠的系统设计必须能够应对平均和瞬态电流需求。
瞬态电流
瞬态电流方面的一个挑战是,由于 ADC 的工作条件和周围电路不同,瞬态电流的幅度和持续时间可能会有很大差异。因此,ADC 数据表很少指定瞬态电流。然而,通过使用示波器探测与电源走线串联的小电阻,可以测量给定系统配置下的瞬态电流。然后,您可以使用欧姆定律来确定产生的电流。
ADS1261 具有一个评估模块 (EVM),该模块在电源输出和 ADC AVDD 引脚之间集成了一个小阻值电阻。图 1 展示了包含 10Ω 测量电阻器 (R33) 的相关部分 EVM 原理图。通过测量该电阻器上的平均或瞬态压降,然后除以 10Ω,便可分别计算出 ADS1261 汲取的平均或瞬态电流。本文在各种条件下执行多项测试以便更好地了解此 ADC 的瞬态电流行为。
图 1. 使用 ADS1261 EVM 的瞬态电流测试电路。第一个瞬态电流测试是上电测试,其中在 AVDD 和接地端之间安装了推荐的 10µF (C23) 和 0.1µF (C24) 去耦电容器。图 2 显示了这些条件下的 ADS1261 瞬态电流。
图 2. 安装去耦电容器后上电时测得的瞬态电流。根据表 1 中的 ADS1261 电源规格,PGA 禁用时的平均电流为 2.7mA(典型值)或 4.5mA(最大值)。然而,图 2 中的蓝色箭头指向 ADS1261 最初加电时出现的 250mA 瞬态尖峰。此瞬态是数据表中规定的典型电流的 90 倍以上、最大电流的 55 倍以上。当 ADC 发生任何状态变化时,也可能会出现类似的电流尖峰。
图 2 中的绿色箭头指示为去耦电容器充电所需的第二个瞬态电流。在正常工作条件下,去耦电容器会存储补充电荷,以便在发生瞬变时提供额外电流。这种额外的电荷有助于保持稳定的电源电压,从而使 ADC 操作不受影响。但是,当系统上电时,电容器必须从未充电状态充电至电源电压。未加电的电容器在系统上电瞬间的行为类似于短路,从而会导致大浪涌电流。浪涌电流的幅度随着去耦电容器值的增加而增大。
为了仅测量 ADC 所需的瞬态电流,第二个瞬态电流测试移除了图 1 中 AVDD 与接地端之间推荐的 10µF 和 0.1µF 去耦电容器。图 3 显示了这些条件下的 ADS1261 瞬态电流。
图 3. 在移除去耦电容器的情况下上电时测得的瞬态电流。图 1 中的 45mA 瞬态尖峰仅表示 ADC 因开关而需要的上电电流。正如预期的那样,与在安装去耦电容器的情况下会出现 250mA 尖峰相比,仅 ADC 时的瞬态电流会更小。不过,虽然这样会降低瞬态电流的幅度,但代价是 ADC 达到稳态电流所需的时间明显延长,因为电容器不再提供任何补充电荷。此外,这个 45mA 的瞬态电流仍是表 1 中所列最大 ADC 电流规格 (4.5mA) 的 10 倍。
本文执行了第三组测试以验证不同的功能也会导致瞬态电流尖峰。启用 ADS1261 VREF 就是这种会产生尖峰的功能。图 4 显示了此瞬态电流的观察行为。
图 4. 在启用 ADS1261 VREF 时测得的瞬态电流。根据表 1,ADS1261 VREF 的典型电流为 0.2mA。在 PGA 禁用 (2.7mA) 且内部 VREF 启用的情况下运行 ADC 时,应该产生 2.9mA 的总电流。然而,图 4 中测得的瞬态电流为60mA,比预期值大 20 倍以上。此瞬态电流主要来源于为 VREF 输出引脚和接地端之间的滤波电容器充电所需的浪涌电流。
图 4 中存在一个有趣的特性,那就是电流需求在整个瞬态脉冲中基本上一直保持在 60mA。此行为是 ADS1261 内部 VREF 中设计的固有电流限制造成的,这有助于在 REFOUT 引脚接地短路时保护 ADC。
本文执行了一些额外的功能测试,这些测试没有显示任何可测量的瞬态电流,但本文没有测试所有的运行条件。另外,还应注意,这种行为并不限于 ADS1261;所有精密 ADC上都可以观察本文中所述的瞬态电流。
电源电路选项
瞬态电流可能导致压降等问题,进而可能导致 ADC 运行不稳定。因此,设计电源时务必要考虑平均和瞬态电流需求。下面来看看三种不同电源选项的优势和挑战:
• 低压降稳压器 (LDO)。TI 建议使用 LDO 为精密 ADC 供电。LDO 具有很多优势,例如出色的噪声性能、低电压纹波以及小而简单的实现方式。LDO 最重要的优势是能够在瞬态期间可靠地保持输出电压,同时还提供低静态电流。
• 线性稳压器。如果选择 LDO 会导致成本过高,则具有标准压降电压的线性稳压器也是一个不错的选择。线性稳压器可以在瞬态期间可靠地保持输出电压,同时还提供与 LDO 类似的低静态电流。使用线性稳压器时的挑战是压降电压明显更大,这可能需要特定的电压轨来为这些器件供电。线性稳压器还往往采用较大的封装,因为它们的效率较低并且要散发的热量较多。额外的热量会导致封闭式系统温度升高,从而可能导致精密系统出现漂移误差。
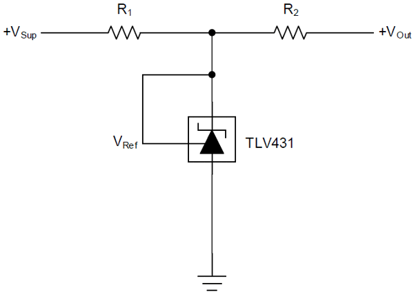
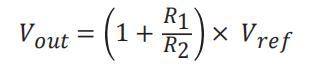
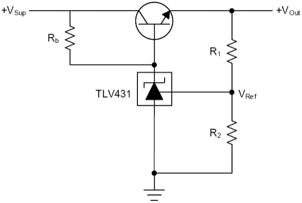
• 并联稳压器。并联稳压器是其中一种最具成本效益的电源选项。虽然该选项可以节省成本,但设计可靠电源电路的复杂性也会增加。例如,需要双极电源供电的精密 ADC 可以使用低电压可调节并联稳压器 TLV431 来生成 ±2.5V 的电压轨。您可以使用 TLV431 来实现此目的,因为它具有低 VREF。然而,使用该稳压器时存在一个挑战,那就是它只能提供有限的电流。TLV431 数据表还要求阴极电流不小于 1mA。这两个限制因素限制了图 5 和图 6 中所示标准设置的输出电流能力。
图 5. 具有正输出的限流并联稳压器电路。
图 6. 具有负输出的限流并联稳压器电路。图 5 和图 6 显示了阴极电流和提供给 ADC 的电流都必须流经电阻器 R1。该配置将电源电流限制为 (VSUP–VREF)/R1,从而带来了两个设计挑战。首先,即使未施加负载,持续流经 R1 的电流也会消耗功率。尝试降低 R1 来增加可用电源电流也会成比例地增加静态功耗。其次,R1 设置的最大电流通常无法支持 ADC 所需的数百毫安瞬态电流。如果无法提供必要的电流,会导致电源电压下降,并可能导致 ADC 运行不稳定。
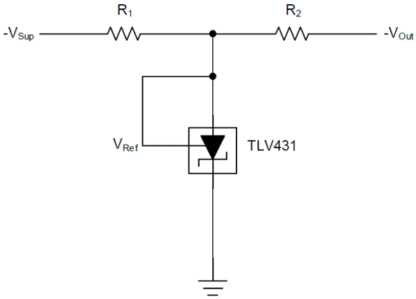
通过在图 5 和图 6 中的电路中添加两个元件,可以缓解这些问题。图 7 和图 8 展示了一个修改后的并联稳压器电路,其中包含一个晶体管和一个偏置电阻器 Rb。
图 7. 改进后具有正输出的并联稳压器电路。
图 8. 改进后具有负输出的并联稳压器电路。与图 5 和图 6 中的系统相比,图 7 和图 8 中的电源电路可以提供更大的电流,因为晶体管消除了电源输入 (VSUP) 和输出 (VOUT) 之间的任何电阻。通过安装 Rb 而不是依靠 R1,该新电路还可以保持 ≥1mA 的阴极电流。因此,只需电阻 R1 和 R2,即可设置输出电压,如方程式 1 所示。
方程式1低功耗系统:断电还是关机?
低功耗 DAQ 系统通常通过使用多种不同的断电方法来实现省电。一些 ADC 的断电模式是在其未使用时置于低功耗状态,从而帮助降低系统功耗。ADC 数据表中指定了此模式下的电流消耗。另一种常用的节能技术是在 ADC 未使用时直接关闭电源,并在需要时重新打开电源。此方法在系统关闭时不产生功耗。
但是,后一种方法会受到本文所讨论的瞬态电流的影响,因为任何电容器都必须在每次上电下电时充电。您可以使用电荷 (Q) 和电流 (I) 的标准公式来估算电源关闭时的系统电流消耗,然后将此值与断电模式下的 ADC 数据表值进行比较。
例如,ADS1261 数据表建议在 AVDD 和 AVSS 之间并联 10μF 和 0.1μF 去耦电容器。该数据表还指定 AVDD 必须为 5V。根据方程式 2 和方程式 3 计算得出,如果电源每秒上电下电一次,则平均电流为 50.5μA:

方程式 2
方程式 3其中,C = 10.1µF (10µF + 0.1µF)、V = 5V 且 t = 1s。
根据表 1 中的绿色突出显示部分所示,断电模式下的 ADS1261 断电电流仅为 8μA(最大值)。比较这两个选项可以发现,使用 ADC 断电模式所节省的功耗是关闭电源时所节省功耗的 6 倍以上。因此,必须考虑瞬态电流对总体功耗的影响。选择将 ADC 置于断电状态通常是更节能的解决方案。
“掌”握科技鲜闻 (微信搜索techsina或扫描左侧二维码关注)










