了解射频噪声系数(NF)、功率增益、损耗分量和级联系统。
本文引用地址:
噪声因子的概念相当直观,它用于表征信号通过组件时信噪比(SNR)的劣化。然而,噪声系数定义中隐藏着一些微妙之处,有时没有得到足够的强调。必须充分理解的一个复杂之处是,在290 K的标准温度下,噪声系数值是为已知的源电阻(通常为50Ω)指定的。
在本文中,我们将讨论另一个重要的微妙之处,即噪声系数定义中使用的功率增益类型。之后,我们将研究有损组件以及级联系统的噪声系数。
重新审视噪声系数定义和信噪比
噪声因子(F)定义为输入端的信噪比与输出端的信信噪比之比:
方程式1解释:
Si和So是电路输入和输出端的可用信号功率
Ni和No是输入和输出端的可用噪声功率
将So=GASi替换为以下方程式:
其中GA是电路的可用接下来,让我们来看看可用功率增益的定义。
使用阻抗的模块的可用功率增益
图1说明了如何计算给定源阻抗ZS=RS+jXS的模块的可用功率增益。
图1显示给定源阻抗下模块功率增益的图假设模块的输入和输出阻抗为ZIn=RIn+jXIn,Zout=Rout+jXout。如图1(a)所示,我们可以将模块输出连接到共轭匹配负载,即ZL=Rout-jXout,并测量输送到负载的功率PL。由于输出是共轭匹配的,PL是网络PAVN的可用功率。
所需的另一个量是电源PAVS的可用功率。这是源传递给ZS复共轭体的功率,如图1(b)所示。PAVN与PAVS的比率定义为模块GA的可用功率增益:

可用增益取决于ZS,而不是ZL。这是因为根据定义,负载阻抗是模块输出阻抗的复共轭匹配,因此已经由模块的输出阻抗设置。请记住,可用增益解释了DUT(被测设备)的源和输入之间的不匹配。
在噪声系数定义(方程式1)中,Si是信号源的可用功率,So是可以传递到匹配负载的输出功率。因此,So/Si比值符合可用功率增益的定义。请记住,射频工作中有几种不同的功率增益定义,如换能器功率增益和插入功率增益。如果我们在NF计算中使用可用增益以外的功率增益,我们将获得实际NF值的近似值。例如,实际的噪声系数测量方法通常决定DUT的插入增益。使用插入增益而不是可用增益可能会在我们的噪声系数测量中引入误差。
同样值得一提的是,在处理级联阶段时,可用增益是有用的。级联的总可用增益等于单个可用增益的乘积。为了找到级联的可用增益,应为等于前一级输出阻抗的源阻抗指定每级的可用增益。
有损组件的噪声系数
在设计射频系统时,我们偶尔会发现有必要在信号链的特定点引入损耗。例如,在测试和测量应用中,我们可以通过衰减器降低失配不确定性。衰减信号的无源电路必须具有物理电阻,我们知道电阻会产生热噪声。因此,无源衰减器会降低信噪比性能。让我们看看如何确定这些组件的噪声系数。例如,考虑为50Ω系统设计的6 dB T型衰减器,如下图所示(图2)。
图2为50Ω系统设计的6 dB T型衰减器的示例图我们可以遵循一般程序,通过执行噪声分析来确定该电路的噪声系数。这种方法涉及一些繁琐的计算。一种更有效的方法是考虑电路的戴维南等效。衰减器输出端的可用噪声是衰减器戴维南电阻的可用噪声。一般来说,如果无源(互易)网络的两个端子之间的戴维南电阻等于Rth,则这些端子之间的热噪声PSD由下式给出
¯¯¯¯¯¯¯
V
2
n
=
4
k
T
R
t
h
B
Vn2¯=4kTRthB
.
在我们的例子中,衰减器是为50Ω系统设计的。添加输入和输出端子,我们得到如图3所示的以下示意图。
图3显示50Ω衰减器以及输入和输出端子的示意图根据设计,输出阻抗Rth等于系统的参考阻抗,即Rth=50Ω。由于Rth等于源阻抗Rs,衰减器输出端可用的噪声功率等于源阻抗Rs提供的噪声功率(我们隐含地假设衰减器和Rs处于相同的温度)。这意味着衰减器输入端和输出端的噪声功率相同,或者方程1中的Ni=否,这导致:

另一方面,我们知道衰减器按其指定值衰减输入信号功率。例如,对于6dB衰减器,Si比So大6dB。考虑到这一点,上述方程表明6dB衰减器的噪声系数为6dB。一般来说,如果无源衰减器的物理温度为T0=290K,则其噪声系数(dB)等于其损耗(dB)。
如果我们分析图3中的电路,我们会发现Rs产生的噪声在通过衰减器时衰减了6dB。然而,电阻器R1、R2和R3对电路输出贡献的噪声刚好足够,使得衰减器输入和输出处的总可用噪声相同。
如果衰减器处于任意温度怎么办?
上述讨论仅适用于衰减器处于T0的情况。如果衰减器处于任意温度T,我们可以首先考虑衰减器和源电阻都处于T的情况。通过分析这种情况,我们可以确定衰减器No(添加)添加的噪声,并可以使用此信息找到噪声系数。让我们以图3中的电路为例进行检查。如果包括Rs在内的整个电路处于T,则输出No处的可用噪声功率等于Rs的可用噪声能量(我们知道它是kTB):

我们可以通过另一个方程找到总输出噪声No:

解释:
No(源)是源阻抗产生的输出噪声的一部分
否(添加)是衰减器添加的噪声
GA是块的可用增益
结合这些方程,我们可以找到No(added)=kTB(1-GA)。现在,如果我们假设Rs处于噪声系数定义指定的标准温度T0,则T处有损分量的噪声系数为:

对于衰减器,损耗L等于1/GA,上述方程可以简化为:

在T=T0的特殊情况下,我们得到F=L,这与我们在上一节中的讨论是一致的。
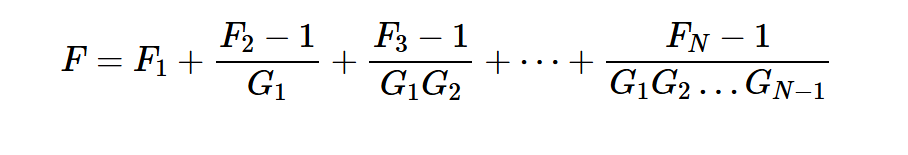
级联系统的噪声系数
虽然我们通常单独描述电路块,但我们最常用它们作为级联系统的组成块。因此,根据各个块的噪声系数规格来确定整个系统的噪声性能非常重要。考虑一个由N个双端口设备组成的级联系统,如图4所示。
图4由N个双端口设备组成的级联系统示例在上图中,Fi和Gi表示第i级的噪声因子和可用功率增益。级联系统的噪声系数可以通过应用以下方程(称为Friis方程)来计算:

注意,在上述方程中,Fi和Gi项都是线性(不是对数)量。根据Friis公式,每个阶段的噪声系数除以该阶段之前的总增益。因此,后期阶段对整体性能的影响较小。这意味着第一阶段对整个系统的噪声系数有重大影响。
在上一篇文章中,我们讨论了为给定的源阻抗指定噪声因子度量。在处理Friis方程时,应该注意的是,应为前一级的输出阻抗指定每级的噪声系数。例如,参考图4,应为Zout1的源阻抗指定第二级F2的噪声因子,F3对应于Zout2的源阻抗,以此类推。让我们看一个例子来澄清上述一些概念。
示例:查找无线接收器前端的噪声系数
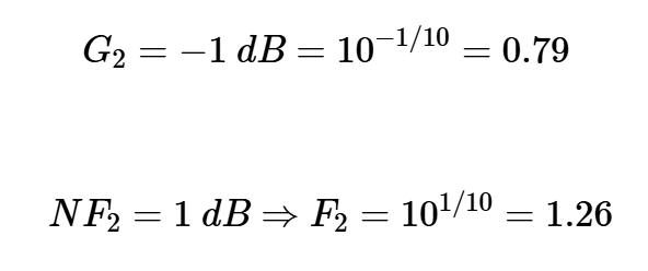
找到以下无线接收器前端的噪声系数,如图5所示。
图5来自终端系统的示例无线接收器LNA和混频器的噪声系数和增益也如图所示。此外,滤波器的损耗为1 dB。我们知道,无源衰减器的噪声系数(dB)等于其损耗(dB)(假设物理温度T0=290 K)。因此,对于过滤器,我们有:

应用Friis方程,我们有:

虽然混频器本身具有F3=15.85的较大噪声因子,但添加滤波器和混频器会使整体噪声因子增加一个相对较小的值,从2.51增加到2.7。滤波器和混频器的贡献很小,因为相对较大的增益先于这些组件。
分立与集成射频设计
Friis的方法最适合离散射频设计,其中每个块的输入和输出阻抗与参考阻抗(通常为50Ω)相匹配。在集成射频系统中,不同模块的输入/输出阻抗通常未知且不同;并且通常不尝试在级之间提供阻抗匹配。在这些情况下,弗里斯的方程式变得繁琐;通过计算不同噪声源的贡献,可以更容易地直接找到噪声系数。在本系列的下一篇文章中,我们将对此进行更详细的讨论。
“掌”握科技鲜闻 (微信搜索techsina或扫描左侧二维码关注)










