来源:DeepTech深科技
中山大学物理学院孙华蕾副研究员、博士研究生霍梦五是共同一作,中山大学王猛教授和清华大学张广铭教授担任共同通讯作者。
该成果报道了一种镍氧化物单晶在 14GPa 压力下出现 80K 左右的超导电性,这是继 20 世纪 80 年代发现铜氧化物高温超导体之后,再次在氧化物材料中观测到液氮温区超导电性。
图 | La3Ni2O7 高压下的超导电性与结构相图(来源:Nature)时间拨回 2020 年初,那时王猛课题组开始通过高压浮区法生长镍氧化物单晶样品,并在镍氧化物体材料中探索超导电性。他们通过两年多的时间摸索出 La3Ni2O7体系单晶样品的生长条件,在国际上率先报道了单晶样品的生长和物理性质,发现其中可能存在电荷密度波序的实验证据。这种材料中 Ni 的平均价态为 2.5 价,生长氧压范围窄,一般难以合成高质量单晶样品。

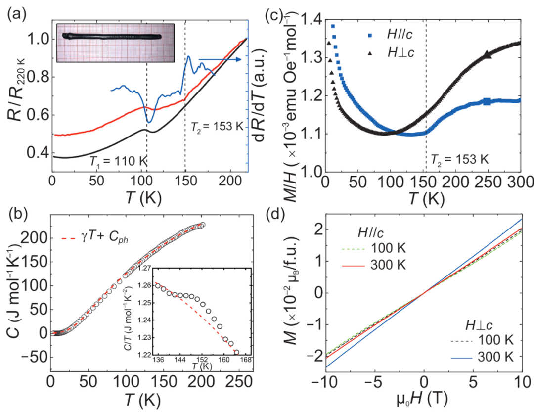
图 | La3Ni2O7 单晶样品常压下的电阻、磁化率、比热及磁化强度随磁场变化关系。数据显示在 110K 和 153K 存在两个可能的相变温度(来源:Nature)
研究中,他们对 La3Ni2O7 单晶样品高压下的电学输运性质进行了探究。发现该材料电阻在 80K 左右有明显的下降,80K 以上存在线性电阻。通过改变传压介质、改进高压测试方法,在电阻测量中观察到超导转变的证据。以上电阻行为均与铜氧化物超导电性高度相似,基本确定存在超导电性的零电阻效应。
在 25.2GPa 压力下,磁化率在 77K 以下明显出现抗磁信号。由此可以证明 La3Ni2O7 单晶样品在超过 14GPa 的压力下出现了 80K 左右的高温超导电性。
图 | La3Ni2O7 单晶样品高压下的电阻、抗磁性及超导上临界磁场拟合(来源:Nature)
图 | La3Ni2O7 高压下的同步辐射测量及结构分析(来源:Nature)总体来讲,目前第二个进入液氮温区的非常规超导材料。镍氧化物高温超导电性的发现具有重要意义,这无疑会促进高温超导机理研究的发展,并推动人们发现新的具有更高临界温度的高温超导材料。
参考资料:
1.Sun, H., Huo, M., Hu, X. et al. Signatures of superconductivity near 80 K in a nickelate under high pressure. Nature (2023). https://doi.org/10.1038/s41586-023-06408-7
运营/排版:何晨龙
“掌”握科技鲜闻 (微信搜索techsina或扫描左侧二维码关注)










