IT之家 5 月 14 日消息,据西湖大学昨日披露消息,西湖大学理学院吴颉团队联合浙江大学谢燕武研究团队,利用自主开发的高精度角分辨电阻(ARR)测量方法,在 LaAlO₃/KTaO₃(111)(LAO / KTO)超导界面中,首次系统地测量并揭示了超导态及其附近的量子态中电子向列性的演化规律。这项成果发表在物理学顶刊《Physical Review X》上。

在氧化物异质结界面超导体系中,可以想象将两种特定的绝缘体叠放在一起,二者的交界区域能导电,甚至能超导。这片超导区域大约 4 纳米厚,差不多是 10 层原子的厚度。当超导发生时,上面数以万亿计的电子两两配对,自由穿梭其中。
而研究团队首次在这个神秘的二维界面上“看见”,当材料即将进入超导态时,界面上究竟发生了什么。

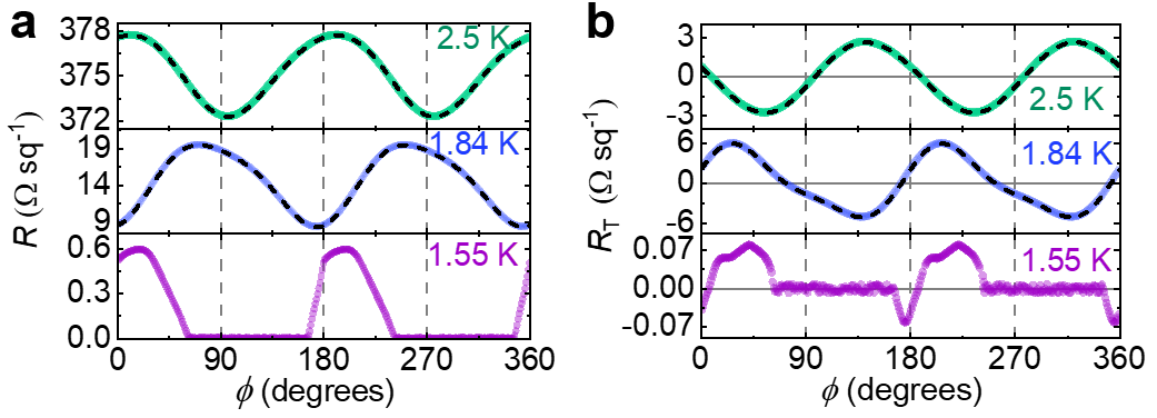
研究团队发现在超导临界温度附近,也就是进入超导态前,LAO / KTO 界面电阻并非同时沿所有方向均匀下降,而是先沿某一方向显著降低,这意味着超导会在某个方向上率先出现,随后才蔓延到其他方向。
当温度继续降低到超导临界温度附近时,电子们突然像获得了“集体智慧”,率先沿某一方向成对凝聚。这种自发选择方向、破坏原本状态的行为被称为电子向列性(Electronic Nematicity)。

▲ Tc 附近的电子向列性。(a)和(b)分别展示了三个代表性温度 2.5、1.84 和 1.55 K 下的纵向电阻和横向电阻随角度的周期性振荡
不仅如此,吴颉团队还在 LAO / KTO 的量子金属态中,发现了电子向列性。通过施加垂直于界面的磁场,超导态会被抑制,但反常的是,此时界面电阻却随温度降低,逐渐趋于一个非零的有限值,这种特殊的状态被称为量子金属态,其形成机制目前学界尚无定论。吴颉团队发现,量子金属态中仍残存着电子向列性,仿佛超导的“印记”还未散去。
IT之家附论文链接:
https://journals.aps.org/prx/abstract/10.1103/PhysRevX.15.021018
“掌”握科技鲜闻 (微信搜索techsina或扫描左侧二维码关注)










