来源:环球网
【环球网科技综合报道】2月16日除夕当天,阿里巴巴开源全新一代大模型千问Qwen3.5-Plus,性能媲美Gemini 3 Pro,登顶全球最强开源模型。千问3.5实现了底层模型架构的全面革新,此次发布的Qwen3.5-Plus版本总参数为3970亿,激活仅170亿,以小胜大,性能超过万亿参数的Qwen3-Max模型,部署显存占用降低60%,推理效率大幅提升,最大推理吞吐量可提升至19倍。Qwen3.5-Plus的API价格每百万Token低至0.8元,仅为Gemini 3 Pro的1/18。
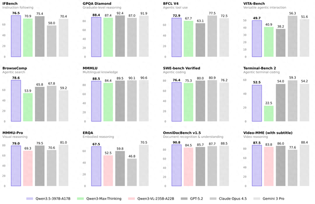
与前几代的千问大语言模型不同,千问3.5实现了从纯文本模型到原生多模态模型的代际跃迁。千问3预训练在纯文本Tokens上进行,而千问3.5则基于视觉和文本混合token上预训练,并大幅新增中英文、多语言、STEM和推理等数据,让张开“眼睛”的大模型学会了更密集的世界知识和推理逻辑,以不到40%的参数量获得超万亿的Qwen3-Max基座模型的顶尖性能,在推理、编程、Agent智能体等全方位基准评估中均表现优异。比如,千问3.5在MMLU-Pro知识推理评测中得分87.8分,超越GPT-5.2;在博士级难题GPQA测评中斩获88.4分,高于Claude 4.5;在指令遵循IFBench以76.5分刷新所有模型纪录;而在通用Agent评测BFCL-V4、搜索Agent评测Browsecomp等基准中,千问3.5表现均超越Gemini 3 Pro、GPT-5.2。

阿里开源千问Qwen3.5-Plus,性能媲美Gemini 3 Pro
原生多模态训练,也带来千问3.5的视觉能力飞跃:在多模态推理(MathVison)、通用视觉问答VQA(RealWorldQA)、文本识别和文件理解(CC_OCR)、空间智能(RefCOCO-avg)、视频理解(MLVU)等众多权威评测中,千问3.5均斩获最佳性能。在学科解题、任务规划与物理空间推理等任务上,千问3.5相比千问专项模型Qwen3-VL表现更好,空间定位推理和带图推理能力均大幅增强,推理分析更精细、精准;在视频理解方面,千问3.5支持长达2小时(1M token上下文)的视频直接输入,适用于长视频内容分析与摘要生成;同时,千问3.5实现了视觉理解与代码能力的原生融合,结合图搜和生图工具,可将手绘界面草图直接转为可用的前端代码,一张截图就能定位并修复UI问题,让视觉编程真正成为生产力工具。
千问3.5性能跃升的背后,是对Transformer经典架构的重大创新突破。千问团队自研的门控技术成果,曾斩获全球AI顶会2025 NeurIPS最佳论文,该前沿技术已融入到千问3.5创新的混合架构中去,团队结合线性注意力机制与稀疏混合专家MoE模型架构,实现了397B总参数激活仅17B的极致模型效率;同时,千问3.5通过训练稳定优化以及多 token 预测等系列技术,Qwen3.5性能与Qwen3-Max模型持平,并进一步提升了推理效率:在常用的32K上下文场景中,千问3.5推理吞吐量可提升8.6倍;在256K超长上下文情况下,Qwen3.5推理吞吐量最大提升至19倍,推理效率大幅提升。

千问3.5推理效率大幅提升,最大吞吐量提升至19倍
千问3.5的原生多模态训练,是在阿里云AI基础设施上高效完成的。通过系列基础技术创新,千问3.5在文本、图像、视频等混合数据训练吞吐量,几近100%持平纯文本基座模型训练,大举降低了原生多模态训练的难度门槛;同时,通过设计精巧的FP8、FP32精度应用策略,在训练稳定扩展到数十万亿个token时,激活内存减少约50% ,训练还能提速10% ,进一步节约了模型训练成本、提升了训练效率。
基于顶级视觉能力,千问3.5也实现了从Agent框架到Agent应用的新突破。千问3.5可自主操作手机与电脑,高效完成日常任务,在移动端支持更多主流APP与指令,在PC端可处理更复杂的多步骤操作,如跨应用数据整理、自动化流程执行等,显著提升操作效率。同时,千问团队构建了一个可扩展的Agent异步强化学习框架,端到端可加速3到5倍,并将插件式智能体Agent支持扩展至百万级规模。
1月15日,千问App发布全球首个消费级AI购物Agent。春节期间,千问AI购物Agent6天时间帮用户完成了1.2亿笔订单,在全球首次实现大规模真实世界任务执行和商业化验证。Agent能力大幅增强的千问3.5,将进一步打开千问APP在工作和生活中帮人办事的想象空间。
自2023年开源以来,阿里已开源400多个千问模型,覆盖全尺寸、全模态,千问全球下载量突破10亿次,单月下载量是DeepSeek、Meta、OpenAI、智谱、Kimi、MiniMax等2到8名总和,开发者基于千问开发的衍生模型超20万,是公认的全球第一开源模型,也是开发者最友好的开源大模型。面向不同国家的AI开发者和企业的需求,千问大模型还在持续演进:千问3.5扩展支持201种语言,将词表大小从15万扩展到25万,可最高提升小语种60%的编码效率。
据悉,千问APP、PC端已第一时间接入Qwen3.5-Plus模型。开发者可在魔搭社区和HuggingFace下载新模型,或通过阿里云百炼直接获取API服务。阿里很快将继续开源不同尺寸、不同功能的千问3.5系列模型。性能更强的旗舰模型Qwen3.5-Max不久也将发布。(勃潺)

VIP课程推荐
APP专享直播
热门推荐
收起24小时滚动播报最新的财经资讯和视频,更多粉丝福利扫描二维码关注(sinafinance)
