(来源:太阳能杂志)

DOI: 10.19911/j.1003-0417.tyn20240813.02文章编号1003-0417(2025)06-23-07
碱性电解槽3D 两相流CFD 模拟的研究进展邵明贤1*,胡振宇1 ,乔健1 ,于庆河2
(1. 兰州兰石能源装备工程研究院有限公司,兰州730207;2. 有研工程技术研究院有限公司,北京101407)
摘 要:碱性电解水(AWE) 制氢作为一种成熟的电解水制氢技术,在大规模绿色制氢中占据了重要地位。AWE 制氢的碱性电解槽内部涉及电场、温度场和流体场等复杂的耦合行为,传统的实验方法能够在宏观层面上测量碱性电解槽的产氢量和能耗,但在解析和调控其内部多物理场因素方面存在局限性,而计算流体动力学(CFD) 模拟技术能够充分了解碱性电解槽内部多物理场的耦合行为对其电解性能的影响,已成为研究碱性电解槽内部复杂过程的重要手段。针对几何模型、多物理场建模、实验验证与分析优化等关键过程,讨论分析了利用CFD 模拟技术模拟碱性电解槽内部的气液两相流场时存在的问题,并提出了优化解决方案。研究结果表明:在碱性电解水制氢领域,CFD 模拟能够有效指导碱性电解槽的设计开发和优化,从而可大幅降低设备开发成本,并提升设备的性能和效率。
关键词:电解水制氢;碱性电解槽;3D;气液两相流;计算流体动力学
中图分类号:TK91/TQ116.2+1 文献标志码:A
随着全球对清洁能源和可持续发展的追求,氢能因具有清洁、零碳排放、高能量密度、广泛应用、灵活性高等显著优势,被认为是推动能源转型和实现碳中和的重要能源。电解水制氢作为清洁、可再生的氢气的一种生产方式,已逐渐被市场认可,特别是使用可再生能源发电进行电解所产生的氢气,被认为是理想的绿色能源,有助于应对气候变化和实现低碳绿色能源供应。
目前,电解水制氢技术主要分为4 类,分别为碱性电解水(alkaline water electrolysis,AWE) 制氢、质子交换膜(proton exchangemembrane,PEM) 电解水制氢、固体氧化物电解水(solid oxide electrolysis cell,SOEC) 制氢,以及阴离子交换膜(anion exchange membrane,AEM) 电解水制氢[1]。与其他3 类技术相比,AWE 制氢技术是最早出现且目前最为成熟的技术,在电解水制氢领域占据最高的市场份额[2]。而无论哪种电解水制氢技术,都需要通过电能、热能和机械能等多种内部场相互作用与转化,最终生成氢气,电解槽的内部场耦合关系示意图如图1 所示[3]。

在电解水制氢的电化学反应过程中,过电位产生的热量会导致温度发生变化,从而会影响电极的催化性能,且温度升高会使反应的活化能降低;电化学反应产生的气体可以通过隔膜转移,反应过程中产生的气泡覆盖会导致电极的有效面积降低,进而影响电极的电解效率;随着反应的进行,电解槽内的溶液会产生浓度差,进而导致浓差极化,而这是影响电流密度的重要因素;此外,电流密度场还会影响反应过程中的温度变化,以及气泡的生成速率。由此可见,电解槽内部场相互影响、相互制约。传统的实验方法虽然能够在宏观层面上测量碱性电解槽的产氢量和能耗,但在解析和调控其内部多物理场因素方面存在局限性,而利用计算流体动力学(CFD) 模拟技术能够充分了解碱性电解槽内部多物理场的耦合行为对其电解性能的影响。
基于此,本文针对几何模型、多物理场建模、实验验证与分析优化等关键过程,讨论分析利用CFD 模拟技术模拟碱性电解槽内部3D 气液两相流场时存在的问题,并提出优化解决方案。
1 几何模型
1.1 几何模型构建
几何模型的准确性是CFD 模拟的基础,其需要精确反映碱性电解槽内部的结构,包括阴极电极、阳极电极、极板、隔膜、密封垫,以及形成的电解液流道等。实际的碱性电解槽设计非常复杂,因此,在保证计算精度的前提下,为了减少计算量,通常会对几何模型进行合理的简化或近似处理。碱性电解槽电解小室的3D 几何模型包括阴极电极、阳极电极、极板、隔膜和电解液流动空间,需通过合理简化来保证计算精度和计算效率[4],不同的极板形状和接触点排列方式会影响电解液的流动和传质特性[5]。构建几何模型时,首先根据现有工业的凹凸极板流道结构搭建电化学模型和流动模型,分析电解小室的电流密度、电解液流动和气泡分布情况;然后比较不同极板结构(见图2[6])形成的电解小室的电化学和流动性能,通过建模分析并优化碱性电解槽的流道结构[6]。

1.2 网格划分及边界条件
网格划分是CFD 模拟中的一个重要环节,将直接影响模拟结果的准确性和计算效率。在电解槽的模拟中,需要考虑电极表面、气液界面等关键区域的网格细化,以便更好地捕捉这些区域电解液的流动和传质特性。
边界条件包括入口速度、温度、电解液浓度、出口压力、壁面条件等,这些条件需要根据实际的操作条件和电解槽的设计进行设定,以保证模拟结果的真实性。为获得一个无网格依赖性的解,必须进行网格敏感性研究。在碱性电解槽2D 几何模型的模拟中,存在理想的网格分辨率,即气泡直径与网格尺寸之比为1/ √2 [7],更细化的网格会使模拟结果与实际相差较大甚至不收敛;而3D 几何模型受网格尺寸的影响较小,但计算量要大得多[8]。
根据文献[9] 得到的4 种网格尺寸( 分别为100、120、150、200 µm) 的敏感性研究结果( 见图3,图中:x 代表在1 个电解小室厚度方向的位置;v 为速度;ε 为空隙率),200 µm 网格和150 µm 网格之间的敏感性差异约为10%,150µm 网格与其他网格之间的最大敏感性差异位于速度和空隙率的峰值处。虽然100 µm 足以描述空隙率和速度分布,但为了确保结果收敛且无网格依赖性,文献[9] 的研究者最终选择了60 µm网格。

此外,采用有限体积法(FVM) 对3D 几何模型进行数值求解,通过网格无关性测试确保计算结果的可靠性和精度[10]。在气泡生成和脱附区域可以使用自适应网格细化技术,以实现更高的计算精度[11]。
2 多物理场建模
2.1 流体动力学方程
流体动力学方程和物性参数设定是CFD 模拟的核心部分。物性参数包括电解液的密度、粘度、电导率,以及气体的扩散系数、溶解度等。碱性电解槽3D 两相流CFD 模拟中,流体动力学方程主要采用欧拉- 欧拉模型和欧拉- 拉格朗日模型两种模型,其中:欧拉- 欧拉模型将气液两相均视为连续相处理,欧拉- 拉格朗日模型将液相视为连续相、气泡视为离散相。
在欧拉- 欧拉模型中,常用的为混合模型和两流体(k-ε) 模型。尽管欧拉- 欧拉模型消除了各相的动量方程和连续性方程,但Dahlkild[12]、Wedin 等[13] 和Schillings 等[14] 在采用欧拉- 欧拉模型中的混合模型时,因选择了经验相关性的混合模型( 被称为半经验模型),并未实现湍流闭合模拟。混合模型虽然计算成本低,但其适用范围有限,难以精确捕捉复杂的湍流现象。而在碱性电解槽的实际运行中,上部气泡的湍流行为对气液两相流动具有显著影响,由此可见,忽略湍流效应可能导致模拟结果偏离实际情况。针对这种情况,使用k-ε 模型更有利于湍流闭合,该模型用质量平均混合速度和质量通量描述了碱性电解槽电解小室中多孔电极的瞬态等温两相流动[15]。
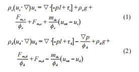
在上述分析下,碱性电解槽电解小室中多孔电极的瞬态等温两相流动模型由以下守恒方程[16-17] 控制,分别为:




在相同的电流密度下,电极的极化过电压随着电极表面气泡覆盖率的增加而增大,电解能耗也随之增加。因此,通过建立电场和欧拉- 欧拉气液两相流场的3D 数值耦合模型,能够准确模拟碱性电解槽的电解性能[5]。
3 实验验证与分析优化
3.1 实验验证
为了验证CFD 模拟的准确性,通常需要进行实验测量,并将实验结果与模拟结果进行对比验证。具体方法为:利用粒子图像测速(PIV) 技术测量电解槽内部的流体速度场,并与CFD 模拟结果进行对比,验证所建立模型在描述流体流动方面的准确性[22]。采用电解质浓度测量技术,比较模拟结果和实验结果中的电解质分布,确认模型在传质模拟中的有效性[18]。通过测量不同操作条件下的电流密度和电解小室电压,来验证模拟结果与实际性能之间的吻合程度[16],可确保模拟结果的可靠性,为模型的电化学反应部分提供有力支持。
3.2 分析优化
在获得CFD 模拟结果后,需要对其进行深入分析和解释,以优化电解槽的设计和操作条件,主要包括流动特性分析、电场分布分析、性能评估与优化3 个方面。
1) 流动特性分析。具体为分析电解槽内部的气液两相流动特性,包括流速分布、涡流产生和气泡行为等。这些特性分析对于理解电解槽的电解性能和优化电解槽设计具有重要意义。
2) 电场分布分析。具体为分析电解槽内部的电场分布特性,包括电流密度分布和电势分布等。这些分布分析对于理解电解过程的动力学原理和优化电极设计具有重要意义。
3) 性能评估与优化。根据模拟结果对电解槽的电解性能进行评估,包括产氢效率、能耗和稳定性等。同时,根据分析结果对电解槽的设计参数和操作条件进行优化,以提高其电解性能并降低产氢成本。研究者可以调整电极间距、优化电解液的流动路径和改进气泡脱附机制等,从而提高电解槽的整体性能。
4 结论与展望
本文从几何模型、多物理场建模、实验验证与分析优化等关键过程入手,讨论分析了利用CFD 模拟技术模拟碱性电解槽内部气液两相流场时存在的问题,并提出了优化解决方案。研究结果表明:在碱性电解水制氢领域,CFD 模拟能够有效指导碱性电解槽的设计开发和优化,从而可大幅降低设备开发成本,并提升设备的性能和效率。3D 两相流CFD 模拟在研究碱性电解槽内部的流动和传质过程方面具有重要作用,但目前仍面临计算量大、模型复杂度高和边界条件难以确定等挑战。未来的研究将继续结合更多实验数据,提高模型的精度和可靠性,开发高效数值求解方法,进行多尺度建模与仿真,优化电解槽的设计与操作条件,探索新材料和新技术的应用,并改进多相流模型。通过这些努力,CFD 模拟将为碱性电解槽的优化设计和工业应用提供更强有力的理论支持和技术指导。
[ 参考文献 ]
[1]陈建军. 绿氢的制备、储运及其应用技术进展[J]. 广东化工,2023,50(15):70-72,69.
[2]云点道林. 2023 中国氢能源产业——氢制备环节深度研究报告 [R]. 北京:云道资本,2023.
[3] HU K W,FANG J K,AI X M,et al. Comparative studyof alkaline water electrolysis,proton exchange membranewater electrolysis and solid oxide electrolysis throughmultiphysics modeling[J]. Applied energy,2022,312:118788.
[4] ZHAN S Q,WANG Z T,YANG J H,et al. 3D numericalsimulations of gas-liquid two-phase flows in aluminumelectrolysis cells with the coupled model of computationalfluid dynamics—population balance model[J]. Industrial& engineering chemistry research,2017,56(30):8649-8662.
[5] GAO L Y,YANG L,WANG C H,et al. Three
dimensional two-phase CFD simulation of alkalineelectrolyzers[J]. Journal of electrochemistry,2023,29(9):3.
[6]熊海燕,朱振啸,高鑫,等. 利用膨胀网作为双极板流道结构优化碱性水电解槽[J]. 电化学( 中英文),2024,30(9):2312281.
[7] PICARDI R,ZHAO L,BATTAGLIA F. On the idealgrid resolution for two-dimensional eulerian modeling ofgas-liquid flows[J]. Journal of fluids engineering,2016,138(11):114503.
[8] LAW D,BATTAGLIA F,HEINDEL T J. Modelvalidation for low and high superficial gas velocity bubblecolumn flows[J]. Chemical engineering science,2008,63(18):4605-4616.
[9] LE BIDEAU D,MANDIN P,BENBOUZID M,et al.Eulerian two-fluid model of alkaline water electrolysis forhydrogen production[J]. Energies,2020,13(13):3394.
[10] ZARGHAMI A,DEEN N G,VREMAN A W. CFDmodeling of multiphase flow in an alkaline waterelectrolyzer[J]. Chemical engineering science,2020,227:115926.
[11] TORII K,KODAMA M,HIRAI S. Three-dimensionalcoupling numerical simulation of two-phase flow andelectrochemical phenomena in alkaline water electrolysis[J].International journal of hydrogen energy,2021,46(71):35088-35101.
[12] DAHLKILD A A. Modelling the two-phase flow and currentdistribution along a vertical gas-evolving electrode[J].Journal of fluid mechanics,2001,428:249-272.
[13] WEDIN R,DAHLKILD A A. On the transport of smallbubbles under developing channel flow in a buoyant gas
evolving electrochemical cell[J]. Industrial & engineeringchemistry research,2001,40(23):5228-5233.
[14] SCHILLINGS J,DOCHE O,DESEURE J. Modeling ofelectrochemically generated bubbly flow under buoyancydriven and forced convection[J]. International journal ofheat and mass transfer,2015,85:292-299.
[15] BOISSONNEAU P,BYRNE P. An experimental investigationof bubble-induced free convection in a small electrochemicalcell[J]. Journal of applied electrochemistry,2000,30(7):767-775.
[16] RODRÍGUEZ J,AMORES E. CFD modeling andexperimental validation of an alkaline water electrolysiscell for hydrogen production[J]. Processes,2020,8(12):1634.
[17] LEE J,ALAM A,PARK C,et al. Modeling of gasevolution processes in porous electrodes of zero-gapalkaline water electrolysis cells[J]. Fuel,2022,315:123273.
[18] CAO X P,ZHAO N,ZHANG S R,et al. Investigationof the hydrogen bubble effect on the overpotential in analkaline water electrolyzer[J]. International journal ofhydrogen energy,2024,49:47-57.
[19] WONG X Y,ZHUO Y T,SHEN Y S. Numerical analysisof hydrogen bubble behavior in a zero-gap alkaline waterelectrolyzer flow channel[J]. Industrial & engineeringchemistry research,2021,60(33):12429-12446.
[20] JANG D,CHO H S,KANG S. Numerical modeling andanalysis of the effect of pressure on the performance of analkaline water electrolysis system[J]. Applied energy,2021,287:116554.
[21] HUANG D J,XIONG B Y,FANG J K,et al. Amultiphysics model of the compactly-assembled industrialalkaline water electrolysis cell[J]. Applied energy,2022,314:118987.
[22] HU S,GUO B,DING S L,et al. A comprehensivereview of alkaline water electrolysis mathematicalmodeling[J]. Applied energy,2022,327:120099.

VIP课程推荐
APP专享直播
热门推荐
收起24小时滚动播报最新的财经资讯和视频,更多粉丝福利扫描二维码关注(sinafinance)
