7月24日,《全球人工智能治理评估指数2025》中英文版正式发布,该报告由中国科学院自动化研究所人工智能伦理与治理研究中心、北京前瞻人工智能安全与治理研究院(Beijing-AISI)、人工智能安全与超级对齐北京市重点实验室、远期人工智能研究中心共同撰写并发布。在评估的40国当中,中国在总体人工智能治理水平方面居第一梯队首位。

全球人工智能治理评估指数(AI Governance InternationaL Evaluation Index,简称AGILE指数)项目于2023年启动。首版AGILE指数于2024年2月发布,覆盖了14个评估国家,初步建立起了具有可操作性和可比较性的基准评估框架。在此基础上,此次的“全球人工智能治理评估指数2025”(简称AGILE指数2025)在2024版基础上进行了系统性优化,继续秉持“治理水平同发展水平相匹配”的理念,同时进一步平衡了科学严谨性与实践适应性。评估过程在扩大数据多样性的同时,增强了指标的有效性和跨国可比性。AGILE指数2025的评估框架包括了对各国在人工智能发展水平、治理环境、治理工具和治理成效等4大评估方面、17个维度和43项指标上进行评估,同时评估国家范围扩大到了40个,涵盖了不同的收入水平、地理区域以及技术发展阶段的国家。在指数评估过程中,团队整合了多源证据,包括政策文件、治理实践、科研产出及风险事件等,构建了统一的比较基准,来更加客观地刻画全球人工智能治理现状,帮助各国识别人工智能发展与治理优势、短板与系统性约束。

主要发现:
根据AGILE指数2025的评估结果,40个国家的表现总体可划分为三个梯队。第一梯队得分高于60(其中排名前三的国家分别是中国、美国[1]和德国),第二梯队国家的得分在50到60之间,第三梯队国家的得分低于50。
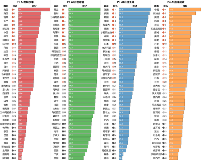
图2 AGILE指数2025:各国总分与排名 在四个评估方面中,AI发展水平(P1)和AI治理工具(P3)的得分分布明显比AI治理环境(P2)和AI治理成效(P4)更为分散,显示出更显著的分层差异。
图3 AGILE指数2025:各国在不同评估方面上的得分与排名 在所评估的40个国家中,AGILE指数总分与人均GDP之间仍然呈现总体正相关关系。相对滞后的国家需要提升AI治理准备水平,以增强应对能力与AI治理就绪度。
图4 各国AGILE指数得分与其人均GDP水平呈正相关 对40个国家在AGILE指数2025四个评估方面得分的进一步分析,可以看到不同国家总体呈现出四种不同的AI发展与治理类型:包括全面领先型(如中国和美国)、治理超前型(如法国、韩国)、治理滞后型(爱尔兰、以色列)和基础建设型(如印度和南非)。
图5 40国AGILE指数2025各评估方面得分的分布情况及国家类型 如果将40个国家按照“高收入国家”以及“中高收入国家和中低收入国家”分为两组,可以看到高收入国家组在AI发展水平(P1)和AI治理工具(P3)方面明显优于中高和中低收入国家组,而后者的AI风险暴露度相对更低且社会对AI的接受度普遍更高。
图6 40国、高收入国家组、中高和中低收入国家组在各评估维度上的平均分 根据统计,此次评估的40个国家在过去一年内共有超过42万名研究人员发表了超过20万篇与AI相关的出版物,并且有超过1.6万项专利获得授权。截至2025年3月,这些国家已经开发了375个大型AI系统,拥有累计超过11,500 EFlop/s的超级计算机算力,并拥有至少8,000余个托管数据中心来支持AI相关的研发活动。
表1 40国AI发展水平总体情况

与此同时,2024年记录在案的AI风险事件数量较2023年大幅上升,增长了约100%。其中,美国的AI风险事件数量增长了1.8倍,而其他国家的平均增长速度更快,达到2.1倍。
图7 2017年至2024年记录在案的AI风险事件数量 数据来源:OECD AIM 在全球AI治理参与度方面,此次评估的40个国家都以多种形式参与了相关机制或倡议,其中法国、日本、韩国和新加坡的整体参与度最高。
表2 各国参与国际AI治理机制概况

在对AI应用的态度方面,各国公众普遍认可AI在推动创新和提升效率方面的潜力,同时对AI涉及的伦理与现实风险仍持谨慎态度。
表3 公众对AI应用的态度和预期
数据来源:THE IPSOSAI MONITOR 2024

研究发现,AI相关领域活跃研究者中的女性占比近年来在稳步增长,相关出版物中作者的男女比例已由2017年的4.0:1降至2025年的2.2:1,反映出女性在AI科研领域的参与度持续提升。
图8 AI相关出版物作者的男女比例2017-2025 数据来源:基于对DBLP文献数据库的统计分析 对AI治理相关议题的研究关注持续上升,相关出版物在全部AI出版物中的占比在2024年已达到14.4%。在所评估的40个国家中,来自中国与美国的AI治理相关研究占比合计达到54%,贡献超过一半。

图9 AI治理相关出版物数量及其在所有AI相关出版物总量中的占比(2017–2025年) 数据来源:基于对DBLP数据库的统计分析(截至2025年3月)
在人工智能赋能可持续发展方面:SDG3(良好健康与福祉)、SDG11(可持续城市和社区)以及SDG9(产业、创新和基础设施)是当前研究关注度最高的AI赋能可持续发展目标方向。同时,高收入国家在社会层面的可持续发展目标方向上分配了更高的AI研究关注度,而中高收入和中低收入国家在经济、环境相关的目标方向上有着相对更高的AI研究关注度。

图10 高收入国家组与中高和中低收入国家组在不同可持续发展目标上的AI研究关注度分配对比 数据来源:基于对DBLP文献数据库的统计分析(2024年4月至2025年3月期间;横轴代表两个国家组在各个可持续发展目标上的AI出版物在所有与可持续发展目标相关的AI出版物中的占比)

此次发布指数负责人,中国科学院自动化研究所人工智能伦理与治理中心主任、北京前瞻人工智能安全与治理研究院创始院长、人工智能安全与超级对齐北京市重点实验室主任曾毅说:“《全球人工智能治理评估指数2025》是在2024年首版指数基础上,增设评估指标、扩大国家覆盖范围、优化数据基础,呈现了对各国人工智能治理水平、国际治理格局和趋势的最新研究成果。通过指数可以反映出来不同国家在人工智能治理水平的不同方面和维度存在明显差异,而治理水平反映出各国在治理就绪度方面的差异,这就使得水平较低的国家在面对人工智能风险时缺乏必要的韧性和应对能力。人工智能的发展水平由于各个国家的发展阶段的差异难免有差异,但是人工智能治理水平之间的差异会导致国家应对风险能力的不足,是务必要补足的。《指数》致力于为国际社会提供一个综合、清晰、可量化、可比较的人工智能治理水平评估框架,并为观察、理解各国治理路径多样性提供支撑,期望通过指数的研究工作促进世界各国在AI治理方面相互启发,相互借鉴。”
目前,AGILE指数2025已获得多位国际权威专家的高度关注与积极评价。专家们认为,该指数不仅构建了系统全面的分析框架,更有效促进了全球视野下的人工智能治理比较,尤其是在凸显发展中国家在治理理念、实践与制度创新中的独特价值方面,体现出显著贡献。

联合国教科文组织科学知识和技术伦理世界委员会主席、联合国人工智能高层顾问机构专家、南非比勒陀利亚大学哲学系主任Emma Ruttkamp-Bloem认为“AGILE指数2025以广阔的覆盖范围实现了对人工智能治理现状的实时洞察。通过43项指标和17个评估维度,指数对40个国家人工智能治理状况进行了细致深入的分析,为跨国开展更加务实的人工智能治理对话提供了前所未有的支持。该指数还为特定应用场景的政策咨询与跨国最佳实践交流提供了富有启发性的基础。”

联合国人工智能高层顾问机构专家、经济与合作发展组织(OECD)人工智能专家Jimena Sofia Viveros Alvarez认为:“这项全面的评估(AGILE指数2025)从根本上打破了以往那种将发展中国家视为被动接受全球北方所设人工智能治理框架的叙事,展现了南方国家在治理理念、实践经验和制度创新方面的重要作用。这些贡献,为构建真正公平、有效、具有全球代表性、造福全人类的人工智能治理体系提供了关键支撑。”

联合国教科文组织人工智能伦理特设专家、巴西南大河州联邦大学教授Edson Prestes认为:“AGILE指数2025是一个卓有见地的参考标准,有助于从四个不同的维度理解全球人工智能格局:人工智能的发展水平、人工智能治理环境、人工智能治理工具以及人工智能治理效能。”

巴西麦肯齐长老会大学客座教授、麦肯齐大学&巴西公共法研究院人工智能伦理研究组协调员André Gualtieri de Oliveira说:“刚刚发布的AGILE Index 2025是一项非常扎实的研究,全面地评估了40个国家人工智能治理的情况。该指数由中国研究人员开发,在曾毅教授的领导下完成……我希望巴西的人工智能立法者将AGILE 2025当作一项重要的国际基准予以参考,以更清晰地认知我们自身的优势与不足,并将其置于全球背景中加以比较。”

波兰信息社会数字化事务特派部长、联合国教科文组织“无国界人工智能伦理专家”成员、OECD人工智能治理专家组(AIGO)成员Robert Kroplewski说“我认为AGILE指数对于我们在联合国的工作,以及在本地生态体系与治理架构的构建中,具有很高的参考价值。”
本文系观察者网独家稿件,未经授权,不得转载。

VIP课程推荐
APP专享直播
热门推荐
收起24小时滚动播报最新的财经资讯和视频,更多粉丝福利扫描二维码关注(sinafinance)
