2026年03月05日 09:57:35
3月4日,智能电网掀涨停潮,多股强势拉升,与前两日的回调形成鲜明对比。
截至收盘,迦南智能(300880.SZ)、通光线缆(300265.SZ)、安靠智电(300617.SZ)、福达合金(603045.SH)、汉缆股份(002498.SZ)、积成电子(002339.SZ)、神马电力(603530.SH)、华通线缆(605196.SH)、杭电股份(603618.SH)等十余股涨停。

资金布局逻辑
从短期看,政策利好集中释放,触发资金短期炒作。
据国家电网披露,“十五五”期间固定资产投资预计达4万亿元,较“十四五”增长40%,重点聚焦特高压、智能配网、数智化转型、新型储能四大方向,计划投产15项特高压直流工程,跨区跨省输电能力提升超30%,支撑“沙戈荒”等清洁能源基地开发外送,带动全产业链发展。
同期,国家能源局公布首批新型电力系统建设能力提升试点名单(43个项目、10个试点城市),覆盖智能微电网、算电协同、虚拟电厂等七大方向。
国家能源局明确,2026年将持续深化全国统一电力市场建设,目标到2030年市场化交易电量占全社会用电量70%左右;电力市场化交易规模扩大,对电网调度、负荷预测、数据采集的智能化水平提出更高要求,电力物联网、电力大数据平台建设需求激增。
从长期看,产业升级趋势明确,资金长期布局价值凸显。
全球AI算力建设提速,数据中心高功率供电需求激增,带动智能电网设备(变压器、配电设备)需求增长,形成长期产业支撑。
据The Information报道,过去数月内,美国三大区域电网运营商(得克萨斯州、中大西洋地区和中西部电网管理部门)相继获批了总计750亿美元的输电扩容项目,核心是建设一批765千伏超高压线路,将成为美国史上规模最大、输电能力最强的电力线路。
在此背景下,我国电网设备企业凭借成本、技术优势,出口机遇凸显。目前,我国广东、江苏等地变压器工厂满产,部分数据中心相关订单排至2027年;威胜信息等企业已开启海外本土化布局。
谁是下一匹黑马
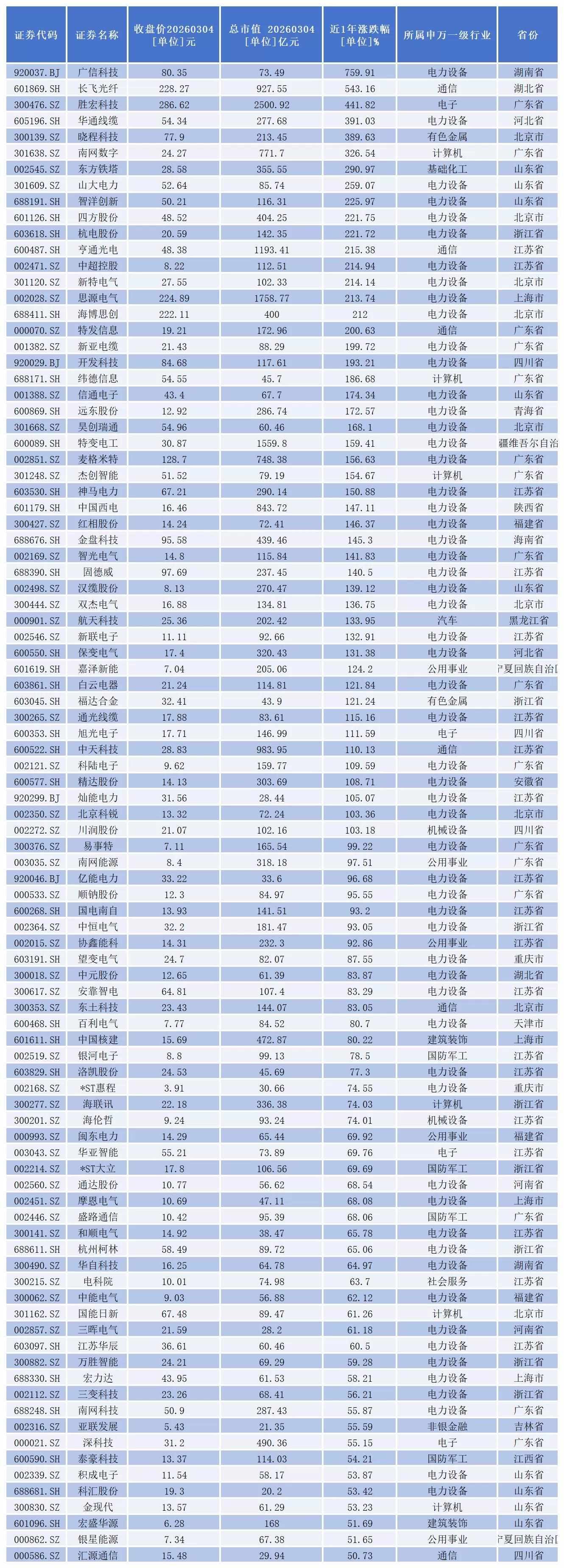
同花顺数据显示,截至3月4日收盘,A股智能电网概念板块一共有266只概念股。
从二级市场表现看,近一年来,216家上市公司股价出现上涨,其中,48家上市公司股价涨幅超过100%。
广信科技、长飞光纤、胜宏科技、华通线缆、晓程科技、南网数字、东方铁塔、山大电力、智洋创新、四方股份、杭电股份、亨通光电、中超控股、新特电气、思源电气、海博思创、特发信息等17家公司近一年股价累计涨幅已超200%。
3月4日,万胜智能(300882.SZ)股价表现亮眼,收盘报24.21元,较昨日上涨1.80元,涨幅达8.03%。
在智能电网领域,万胜智能具备多维度的核心竞争力。
一方面,业务布局贴合产业趋势。公司核心聚焦智能电表、用电信息采集系统等产品,广泛应用于智能电网、虚拟电厂等用电领域的电能计量、数据采集环节,同时通过子公司布局低压变压器研发生产,实现垂直配套延伸,完善智能电网终端设备布局。
另一方面,技术优势突出。公司持续加强智能电网控制系统核心算法研发,拥有传感、通讯、信息处理等领域核心技术,产品系列齐全且技术先进,是国内电能仪表计量领域领先企业之一。
此外,生产效率领先。公司拥有全流程智能化运营的“未来工厂”,实现从原材料入库至成品发货的无人化、数字化管理,是智能仪器仪表行业率先达成该标准的标杆工厂,显著提升核心产品产能与品质稳定性。
结合近期走势来看,万胜智能股价近三个月上涨24.47%、近一年上涨57.31%,有望成为下一匹黑马。

“掌”握科技鲜闻 (微信搜索techsina或扫描左侧二维码关注)










