快科技2月24日消息,碗状冰坑逃脱挑战相信大家都刷到过,一个呈扁球状或者说碗状的冰坑,越往高处爬,坡度越陡,一旦进去就很难出来,尤其是对“南方小土豆”游客完全就是噩梦级别的。
对于这个问题,中科院物理所做了深入分析和解读,还给出了三种逃脱方法,不妨一试!

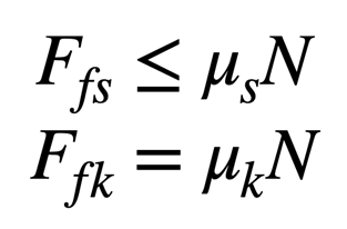
其中的关键点,就是物理学上的摩擦力,而摩擦力的大小取决于两个因素:
一是接触的具体材料,或者说摩擦系数(μ),介于0-1之间,越低表示越滑,抓地力越弱。
二是表面间互相挤压的力,称之为法向力(N)。
摩擦力又分为静摩擦力(Ffs)和动摩擦力(Ffk),前者正是行走的关键。


法向就是与接触面垂直的意思,属于一种向上推的力,防止你在重力作用下穿过地板。如果你站在平坦地面上,这两种力将大小相等、方向相反,相互抵消,因此不会产生垂直方向的加速度。
如果在坡上行走,法向力仍然沿着与接触面垂直的方向作用,但不再与重力相反。

一旦进入冰坑,将面临两个问题:
首先,摩擦系数极低。
其次,由于坑体呈球面结构,坡度随高度增加而陡峭,法向力就会迅速削弱。即便是静止站立,能够保持平衡而不向下滑动的最大角度也只有区区5.7度。

但凡事都不是绝对的,有三种技巧能帮你摆脱困境。
一、别陷进去
开始挑战时,大多数人只是踩着碗的侧壁滑向底部,然后就动弹不得了。
正确的事这么做:当接近冰坑时,别减速,反而要加速!
这样一来,你会再次滑向中心,但由于起始速度足够快,抵达底部时仍能保持滑行状态。
这意味着你(希望如此)能滑上碗的另一侧,在停住滑落前抵达边缘,获得自由,因为你从未被困住。


二、来回往复
你可以在冰面上行走——只需保持极小的加速度。
碗状冰坑面底部较为平坦,因此可以迈出几小步。
虽然很快会开始向后滑动,但千万别放弃,而应该转身向中心方向行走,借助些许摩擦力,就能带着速度抵达碗底,然后继续沿对侧向上行走,直至失去抓地力。
由于起始速度不为零,这次你应该能爬得更高些。
重复这个过程,来回往复,直至走出坑底。

三、绕圈走
从中心开始,沿着极小的圆圈移动。
注意由于冰面平坦,圆圈必须非常小。
接下来,逐渐尝试半径更大的圆圈,同时加大倾斜角度,从而将获得更大的法向力,产生更大的摩擦力。
耐心点,沿着不断扩大的螺旋轨迹滑行,直至抵达边缘。

【本文结束】如需转载请务必注明出处:快科技
责任编辑:上方文Q
“掌”握科技鲜闻 (微信搜索techsina或扫描左侧二维码关注)










