诸如双向电容-电感-电感-电感-电容 的单级隔离式转换器,是储能系统 中常见的转换器类型,用于节省系统成本并提高功率密度。CLLLC 的增益曲线更平坦,但是当开关频率 (fs) 高于串联谐振频率 (fr) 时,增益曲线会变得过度平坦。变压器和 MOSFET 的寄生电容也会显著影响转换器增益[1],这将导致转换器的输出电压超出稳压范围。在本期电源设计要点中,我将介绍一种 CLLLC 控制算法和一种同步整流器 (SR) 控制方法,以消除这种非线性,并使用 3.6kW 原型转换器来验证性能。图 1是住宅 ESS 的方框图。
图 1 具有双向功率因数校正 (PFC)/逆变器、双向 DC/DC 转换器和最大功率点跟踪 (MPPT) 的住宅 方框图。
控制级中的设计注意事项
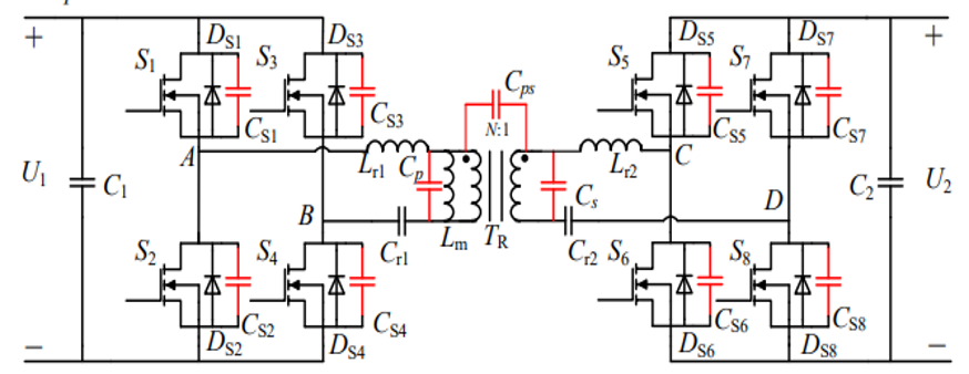
图 2 展示了具有寄生电容器的全桥 CLLLC 谐振转换器的电路拓扑。此拓扑由对称谐振回路和全桥结构组成。
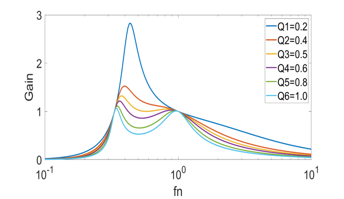
图 2 具备寄生电容器的全桥 CLLLC 转换器的电路拓扑。图 3 展示了 CLLLC 的理想增益曲线。与 LLC 转换器类似,变频控制是适用于 CLLLC 谐振转换器的常用控制方案。
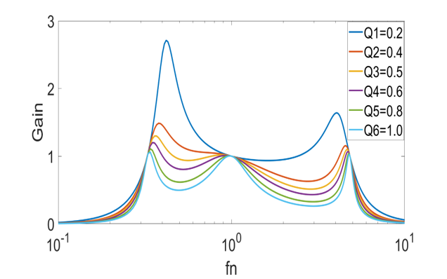
图 3 使用变频控制的理想 CLLLC 增益曲线。如前所述,当 fs 超过 fr 时,增益曲线是平坦的。此外,随着功率等级增加,转换器需要在电池侧并联更多 FET 以处理更大的电流,这意味着输出全桥 FET 上的输出电容 (Coss) 将非常大。考虑到变压器绕组间电容和 Coss 的寄生参数,高频率下的非单调增益曲线现象明显,这一现象与轻载条件相对应,如 图 4 所示。
图 4 考虑寄生参数的 CLLLC 增益曲线,例如变压器绕组间电容和 Coss。
在这种情况下,频率控制没有作用。打嗝模式是一种解决 CLLLC 谐振转换器非单调特性的常用方法,但该方法不适用于电池应用,因为转换器需要在电池电压较低时提供高电流。脉宽调制 (PWM) 和相移控制可以解决该问题,但 PWM 控制将使晶体管在硬开关状态下工作,导致效率降低且工作频率受到限制。因此,相移控制是更好的选择。
控制逻辑
图 5 展示了频率和相移混合控制的方案图表。启动期间电池电压较低,因此转换器需要使用低充电电流进行软启动,以便限制高电流峰值并延长电池寿命。如果谐振电感值或频率不够高,则在高频下软启动的效果有限。当电池充电至接近满电量时,它将以小电流涓流充电并保持恒定电压。这两种情况都对应于转换器的轻负载条件。在轻负载条件下,输出电压往往会因寄生电容而上升,并最终可能根据之前的分析超出稳压范围;相移控制有助于在此状态下调节输出电压。控制器的计算结果决定了转换器是否需要进入相移模式。

图 5 不同充电状态下的控制方案。请注意,启动期间电池电压较低,因此转换器需要以低充电电流进行软启动,以限制电流尖峰并延长电池寿命。
图 6 展示了频率和相移之间的调制切换。当负载降低时,频率将增加以调节输出电压。如果计算得出的最大频率高于设置值,转换器将进入相移调制;当负载增加时,相移角将减小以便调节输出电压。当相移角降至零时,转换器将再次进入频率模式。

图 6 频率与相移模式之间的控制方案。当负载减小且相移角为零时,频率将增加以调节输出电压(频率模式)。如果最大频率高于设置值,则相移角会减小以调节输出电压(相移模式)。
寄生电容引起的一些问题
MOSFET 的 Coss 在相移模式下也会产生这种影响;槽电流将与这些电容器一起振荡,如 图 7 所示。
图 7 开环相移模式下的槽电流波形。图 8 绘制了在考虑和不考虑 MOSFET Coss 的情况下,CLLLC 转换器的增益比较图。根据图中所示,增益曲线中会出现波动。在这种情况下,控制器可能会在闭环控制下将相移角调整到错误方向,从而导致较大的电流峰值。
图 8 使用和不使用 COSS 时相移模式下的增益曲线。增益问题解决方案
为了消除增益的非单调性,采用 图 9 中所示的 SR 控制可以解决该问题。在谐振回路电流振荡期间,同时导通两个上部或两个下部 SR 开关会暂时短接变压器的次级绕组,因此 Coss 不会参与谐振。
图 9 提出的用于消除增益非单调性的 SR 控制方案。图 10 展示了测试结果;与图 8 相比没有产生振荡。有关更详细的分析和测试结果,请参阅参考[2]。
图 10 使用建议的控制方案(灰线)时相移模式下的增益曲线。实验结果
原型[3]使用此控制方案来验证性能。图 11 显示了软启动波形,图 12 显示了使用建议的控制方案时,在相移模式下的谐振回路电流波形。
图 11 相移软启动,输出功率为 750 W。
图 12 使用建议方案时,相移模式下的谐振回路电流波形。图 13 和 图 14 展示了频率/相移调制开关测试。根据测试波形,启动电流限制在 28A 以内,输出功率为 750W。谐振回路电流不会出现振荡,并且转换器可以在不同的工作条件下平稳地更改调制。
图 13 相移和频率调制开关:5A 负载的频率模式。
图 14 相移和频率调制开关:负载为 1A 的相移模式。结语
建议的频率和相移混合控制方案限制了启动阶段的浪涌电流,并使增益在轻负载条件下呈线性。转换器可以在频率调制和相移调制之间平稳切换。此外,相移控制还会引入非单调增益问题,并使具有较大 COSS 的设计中的电流出现振荡。建议的 SR 控制方法有助于解决电流振荡问题并使增益保持单调。
参考资料
Lee、Byoung-Hee、Moon-Young Kim、Chong-Eun Kim、Ki-Bum Park 和 Gun-Woo Moon,“Analysis of LLC Resonant Converter Considering Effects of Parasitic Components”。发表于 INTELEC 2009 — 第 31 届国际电信能源会议,韩国仁川,2009 年 10 月 18-22 日,第 1-6 页。
Tai、Will、Guangzhi Cui 和 Sheng-Yang Yu、“Gain Optimization Control Method for CLLLC Resonant Converters Under Phase Shift Mode.”发表于 PCIM Europe 2024;电力电子、智能运动、可再生能源和能源管理国际展览与会议、德国 Nürnberg,2024 年 6 月 11 - 13 日,第 2513 - 2518 页。
Cui、Guangzhi。n.d.“3.6kW 双向 CLLLC 谐振转换器参考设计”。德州仪器 参考设计编号 PMP41042。2024 年 11 月 6 日访问。
“掌”握科技鲜闻 (微信搜索techsina或扫描左侧二维码关注)










