失效率指单位时间内的故障次数,其常用单位为故障数 / 十亿小时(FIT),即十亿小时内出现一次故障,该指标用于衡量产品在使用寿命内的故障概率。图 1 为电子元器件的可靠性浴盆曲线模型,该曲线分为三个阶段:早期失效(又称早期损耗失效)阶段、使用寿命(又称恒定失效 / 随机失效)阶段、耗损失效阶段。本文的讨论重点为元器件使用寿命阶段的失效率。

1. 显示为可靠性浴缸曲线。
了解电子系统中元件的失效率对于进行可靠性预测以评估整体系统可靠性至关重要。可靠性预测涉及指定可靠性模型、应假设的失效模式、诊断间隔和诊断覆盖范围。这些预测作为可靠性建模技术的输入,如失效模式与效应分析(FMEA)、可靠性块图(RBD)、故障树分析(FTA)等。
与功能安全相关,预测安全相关系统随机硬件故障相关的定量可靠性,需符合基本功能安全标准IEC 61508的第二部分。3 它规定了安全相关系统(SRS)硬件方面的要求。表中显示了这些SIL目标相对于SRS危险失效概率的关系。

如何开始预测系统可靠性
存在多个数据库,供系统集成商在设计系统时使用。电子和非电子元件的故障率数据来源包括IEC技术报告62380:2004、西门子标准SN 29500、ADI组件平均失效时间(MTTF)数据、现场回报和专家判断。
ADI组件MTTF数据可在 analog.com 的可靠性部分找到。可靠性数据和资源部分包括晶圆制造数据、组装/封装工艺数据、Arrhenius/FIT速率计算器、百万分之一计算器和可靠性手册。图2展示了每个资源子部分的内容。

2. 模拟设备的可靠性数据和资源。
为了帮助理解半导体前三个故障率数据来源之间的区别——专注于阿累尼乌斯高温工作寿命(HTOL)的ADI组件MTTF数据、西门子标准SN 29500和IEC TR 62380:2004——接下来的章节将对这些方法及其相关数据库提供一些见解。
什么是阿伦尼乌斯HTOL?
HTOL是JEDEC标准中最常用的加速寿命测试之一,用于估算元件失效率。高压(HTOL)测试旨在模拟设备在高温下的工作,以提供足够的加速度,模拟多年在常温(通常为55°C)下的工作。 因此,HTOL估算半导体元件(例如MTTF)在加速应力条件下的长期可靠性,这些应力压缩了模拟元件寿命的时间,同时加热并维持其工作电压。
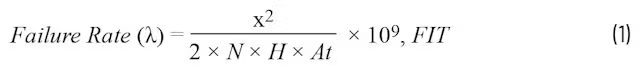
放大可靠性计算细节,在加速测试条件下生成的数据(125°C等效条件下1000小时)通过激活能为0.7 eV的阿累尼乌斯方程转换为终端用户运行条件下的寿命(55°C下10年)。卡方统计分布用于计算基于HTOL测试单位数的失效率数据的置信区间(60%和90%)。

其中:
x2 是卡方逆分布,其值取决于失败次数和置信区间
N 是测试的 HTOL 单元数
H 是 HTOL 测试的持续时间
at 是根据阿累尼乌斯方程计算的从测试到使用条件的加速度因子
晶圆制造数据是 analog.com 可用的可靠性数据和资源之一。点击它会获得包含产品整体寿命测试数据摘要的数据。该数据包括总体样本量、失效数量、55°C时等效设备小时数、FIT值(基于HTOL数据)以及60%和90%置信水平下的MTTF数据。图3展示了一个例子。
3. analog.com 的晶圆制造数据标签页功能安全通常需要70%的置信水平,因此90%的水平可以保守使用。或者可以通过类似《如何改变你可靠性预测的置信度水平》中展示的过程进行转换。
什么是西门子规范29500?
SN 29500标准是一种基于查找表的标准,由西门子发起,广泛作为ISO 13849可靠性预测的基础。通过失败率计算可靠性预测,即在特定环境和功能运行条件下,在时间区间内平均可预期的故障比例。该标准被认为是确定元件失效率的一种保守方法。
每个设备类别的参考FIT值基本上是通过特定组件类别的字段返回确定的。因此,它们将包括应用中出现的任何类型的失效,而不仅仅是前节HTOL方法所诱导的内在失效。这包括因电气过应力(EOS)导致的故障,而在用于HTOL测试的受控实验室环境中,这种情况不会发生。
方程2展示了SN 29500-2如何推导集成电路的失效率。首先,它提供了一个参考失效率,该率对应于标准定义参考条件下的元件失效率。由于参考条件不总是相同,标准还提供了转换模型,用于根据应力作条件(如电压、温度和漂移敏感性)计算失效率,如方程2所示。

其中:
λref 是参考条件下的失效率,随晶体管数量增长而变化
πU 是电压依赖因子
πT 是温度依赖因子
πD 是漂移灵敏度因子
根据集成电路的性质,方程2可以有所不同。例如,当它是具有较大工作电压范围的模拟IC时,可以使用方程2。对于所有其他具有固定工作电压的模拟IC,电压依赖因子将设为1。对于数字CMOS-B系列,漂移灵敏度因子将设为1。最后,所有其他IC的电压依赖和漂移灵敏度因子都设为1。
请注意,IEC 617099 标准提供了如何将可靠性预测从一组条件转换到另一组条件的信息,这似乎是 SN 29500 背后的理论。
什么是IEC技术报告62380:2004?
IEC 62380 是另一个常用的用于估算集成电路失效率的标准。该标准于2004年发布,随后被IEC 61709取代。尽管如此,IEC 62380标准仍被用作汽车功能安全标准ISO 26262:2018的参考;它仍然可以在第11部分作为电子元件可靠性预测模型提供。该标准将IC的失效率计算为芯片、封装和EOS的总和。根据IEC TR 62380和ISO 26262-11:2018的FIT计算表达式见公式3。

其中:
λdie是芯片失效率,包含晶体管数量、集成电路系列及所用技术,以及温度、工作时间和年周期影响因子等任务参数
λpackage是封装失效率,包含与热因数、热膨胀、任务周期温度因子以及集成电路封装相关的参数
λoverstress是具有对应不同外部接口项的超应力失效率
ADI安全应用说明中的失效率
除了 analog.com 中可找到的可靠性数据外,模拟器件(ADI)元件的可靠性预测也可在集成电路的安全应用说明中找到,该说明通常在IC被标记为FS支持时提供。例如,LTC2933的安全应用说明显示了该零件的FIT值,这些值是根据HTOL、SN 29500和IEC 62380可靠性预测方法得出的。这可以在图4、5和图6中看到。

4. 根据LTC2933安全应用说明,基于Arrhenius HTOL的FIT。

5. 根据LTC2933安全应用说明,基于SN 29500的FIT。

6. 根据LTC2933安全应用说明,基于IEC 62380的FIT。
图中表格显示了FIT值及考虑的条件。系统积分器可以利用表格中的可用信息自行计算FIT,前提是条件不同。
结论
本文概述了集成电路中三种最常见的可靠性预测技术,即Arrhenius HTOL、SN 29500和IEC 62380。基于阿累尼乌斯公式并利用HTOL测试数据计算,得出FIT中的失效率。SN 29500提供了参考失效率和转换模型,以考虑不同的应力作条件。IEC 62380 提供了电子元件的失效率,即芯片失效率、封装失效率和超应力失效率的总和。
对于ADI,元件的失效率可以在 analog.com 或元件的安全应用说明中找到。安全应用说明的优点在于它基于上述三种方法提供组件的可靠性预测。此外,计算此类FIT值所需的信息也被公开,供系统积分器在不同作条件下自行重新计算。
“掌”握科技鲜闻 (微信搜索techsina或扫描左侧二维码关注)










