我们知道电感磁芯是很多电子产品中都会用到的产品,比如:手机,变压器等等,电子产品在使用过程中都会产生一定的损耗,而电感磁芯也不例外。如果电感磁芯的损耗过大,就会影响电感磁芯的使用寿命。
电感的铜损,表示,电感本身作为导线,有一个等效的串阻,既然有电阻,即使这个电阻值再小,也要考虑在这个电阻上产生的功耗。因为导线一般是用铜线做的,所以把这个损耗,称之为铜损。
电感磁芯损耗的特性是功率材料的一个最主要的指标,它影响甚至决定了整机的工作效率、温升、可靠性。
什么是电感?
电感磁损磁损。是把电能转化为磁能而存储起来的元件,它只阻碍电流的变化,有通电与未通电两种状态,如果电感器在没有电流通过的状态下,电路接通时它将试图阻碍电流流过它;如果电感器在有电流通过的状态下,电路断开时它将试图维持电流不变。
电感磁芯是由线圈和磁芯以及封装材料组成的,线圈主要起导电作用,即磁芯是由磁导率高的材料组成,把磁场紧密地约束在电感元件周围增大电感。磁芯是由传统的硅钢片,到铁粉, 铁氧体, 铁硅等变化。
电感磁芯损耗
1、磁滞损耗
通俗来说,电感的磁滞损耗可以理解为一种“反复摩擦”引起的能量损失。
电感的核心通常是由磁性材料(比如铁芯)制成的。当电流流过电感时,会产生一个磁场,这个磁场在磁性材料内部来回变化(比如交流电的情况)。然而,磁性材料不是“完美的”,它的内部磁化过程需要克服一定的阻力,就像推动一块橡皮泥需要用力。
这种磁化和去磁的“来回拉扯”过程会让磁性材料内部产生热量,消耗一部分电能。这种能量损耗被称为磁滞损耗,因为它与磁滞回线(表示磁场变化时材料响应的延迟和不可逆性)有关。
简单总结:磁滞损耗就像内部有很多可以旋转的指南针(磁畴),虽然它最终还是能回到原来的状态,但每次旋转都会消耗一点能量,最终会表现为热量释放出来。这就是电感磁滞损耗的基本原理!

磁芯材料磁化时,送到磁场的能量有2部分,一部分转化为势能,即去掉外磁化电流时,磁场能量可以返回电路;而另一部分变为克服摩擦使磁芯发热消耗掉,这就是磁滞损耗。
磁滞回线,如下图:

磁化曲线中阴影部分的面积代表了在一个工作周期内,磁芯在磁化过程中由磁滞现象引起的能量损耗。如上图可知,影响损耗面积大小几个参数是:最大工作磁通密度B、最大磁场强度H、剩磁Br、矫顽力Hc,其中B和H取决于外部的电场条件和磁芯的尺寸参数,而Br和Hc取决于材料特性。电感磁芯每磁化一周期,就要损耗与磁滞回线包围面积成正比的能量,频率越高,损耗功率越大,磁感应摆幅越大,包围面积越大,磁滞损耗越大。
2、涡流损耗
电感的涡流损耗可以通俗地理解为磁场中“感应的小漩涡”带来的能量损耗。
当电感中有交流电流流过时,会产生变化的磁场。如果电感的铁芯是由导电材料制成(比如铁或其他金属),那么这个变化的磁场就会在铁芯内部“切割”导电材料,感应出一些小环形电流,这些环形电流就像水面上出现的小漩涡一样,我们称它们为涡流。
这些涡流在导电的铁芯内部流动时,会遇到电阻,电阻会把这些涡流的能量转化为热量,从而造成能量损失。这就是涡流损耗。
每个电感都可以看成是一个发热不咋地的“电磁炉”:
电磁炉的工作原理可以通俗地总结为:通过磁场产生涡流,利用涡流发热。

详细解释:
高频交流电生成磁场:
电磁炉内部有一个线圈,通上高频交流电(通常在20kHz到100kHz之间),这个电流会在线圈周围产生一个快速变化的磁场。
磁场切割锅底,产生涡流:
当把导磁性和导电性良好的锅(比如铁锅、不锈钢锅)放在电磁炉上时,变化的磁场会在锅底感应出“涡流”(也就是环形电流)。
涡流发热:
涡流在锅底流动时,由于锅底的电阻,电流会转化为热量,锅底开始加热。这个加热过程直接在锅底内部完成,所以锅会很快升温。
锅传热给食物:
锅底加热后,通过传导把热量传递给食物,从而实现烹饪。
每个电感即使发热比例再低,他也是个电磁炉,磁性也是导体,如同锅一样,有部分能量因为电磁场变化,切割磁芯的导体,在磁芯内部形成电流耗电转化为热量,这个就是涡流。
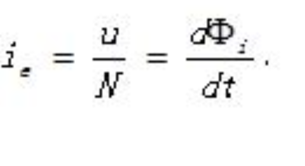
在磁芯线圈中加上交流电压时﹐线圈中流过激励电流﹐激磁安匝产生的全部磁通Φi在磁芯中通过﹐如下图。磁芯本身是导体﹐磁芯截面周围将链合全部磁通Φi而构成单匝的副边线圈。

磁芯中的涡流
根据电磁感应定律可知:U= NdΦ/d t;每一匝的感应电势﹐即磁芯截面最大周边等效一匝感应电势为

因为磁芯材料的电阻率不是无限大﹐绕着磁芯周边有一定的电阻值﹐感应电压产生电流ie即涡流,流过这个电阻,引起ie2R损耗﹐即涡流损耗。
3、剩余损耗
剩余损耗是由于磁化弛豫效应或磁性滞后效应引起的损耗。所谓弛豫是指在磁化或反磁化的过程中,磁化状态并不是随磁化强度的变化而立即变化到它的最终状态,而是需要一个过程,这个‘时间效应’便是引起剩余损耗的原因。它主要是在高频1MHz以上一些驰豫损耗和旋磁共振等,在开关电源几百KHz的电力电子场合剩余损耗比例非常低,可以近似忽略。
选择合适的磁芯,要考虑不同的B-H曲线和频率特性,因为B-H曲线决定了电感的高频损耗,饱和曲线及电感量。因为涡流一方面引起电阻损耗,导致磁材料发热,并引起激磁电流加大,另一方面减少磁芯有效导磁面积。所以尽量选择电阻率高的磁性材料或采用碾轧成带料的形式以减少涡流损耗。因此,铂科新材料NPH-L适用于更高频率、高功率器件的低损耗金属粉芯。如图所示:

磁芯损耗是磁芯材料内交替磁场引致的结果。某一种材料所产生的损耗,是操作频率与总磁通摆幅(ΔB)的函数,从而降低了有效传导损耗。磁芯损耗是由磁芯材料的磁滞、涡流和剩余损耗引起的。所以,磁芯损耗是磁滞损耗、涡流损耗和剩磁损耗的总和。公式如下:

磁滞损耗为磁滞现象产生的功率损耗,正比于磁滞回线包围的面积。当穿过磁芯的磁场发生变化时磁芯内产生涡流,涡流产生的损耗叫做涡流损耗。剩余损耗是除了磁滞损耗和涡流损耗以外其他所有损耗。

这一公式是用于测定磁通密度的峰值,与磁芯损耗曲线并用,应用在正弦波上,在这状态下,磁芯产生—种磁通密度峰与峰之间的摆幅(ΔB),这一摆幅是上述公式所计算出的磁芯损耗磁通密度峰值的两倍,如下图所示:

总结:在总损耗主要是由磁芯损耗而不是铜损耗引起的电感器用途上,可用磁导率较低的磁芯材料改进。
“掌”握科技鲜闻 (微信搜索techsina或扫描左侧二维码关注)










