栅极电荷 (Qg) 表示打开功率半导体器件(例如 MOSFET 和 IGBT)所需的总电荷。开关速度直接受这一重要参数的影响。栅极电荷越低,设备从开到关的速度就越快。本文研究了栅极电荷的物理起源,分解了其关键组件,并展示了这些组件如何直接控制电力电子应用中的开关速度。
问:什么是栅极电荷,它从何而来?
答:为了理解栅极电荷影响开关速度的原因,让我们检查一下 MOSFET 的内部结构。如图1所示,栅极端子通过一层薄薄的绝缘层与通道电气隔离,形成电容器。这会产生内部电容(Cgs 和 Cgd),在开关期间必须充电和放电。

打开和关闭 MOSFET 涉及对这些内部电容进行充电和放电,其中栅极电荷代表这些电容所需的电荷总和。根据电容器的基本原理,充电时间取决于电容值和可用电流。需要更多的充电意味着更长的充电时间和更慢的开关。
这种电荷存储要求对开关速度造成了限制。栅极电荷可以定量预测开关性能,使工程师能够确定栅极驱动器的尺寸并计算开关损耗。了解栅极电荷桥、器件物理和实际电路设计对于高频应用至关重要。
问:构成总栅极电荷的组件是什么?
答:栅极总电荷分为三个不同的分量,每个分量在开关中发挥特定作用。
栅源电荷 (Qgs) 表示将栅源电压从零提高到阈值电压 (Vth) 所需的电荷。这通常是最小的分量,在晶体管开始导通时建立。充电过程简单明了,具有线性电压上升,使其成为最快的开关阶段。
栅极到漏极电荷 (Qgd),称为“米勒电荷”,是影响开关速度和损耗的最重要分量。该电荷克服了漏极电压转换期间的米勒效应。当栅极到漏极电容 (Cgd) 在开关期间产生反馈时,就会发生米勒效应。
这个平台期持续时间直接决定了开关时间和开关损耗周期。在米勒平台期间,栅极驱动器必须在栅极电压保持恒定的情况下维持电流传输,这使得这是栅极驱动器设计最具挑战性的阶段。
超越米勒平台的栅极到漏极电荷在漏极电压转换完成后为全通道增强提供额外电荷,最大限度地减少导通电阻 (RDS(on)),从而实现高效导通。
图2显示了栅极电荷特性如何随工作条件而变化。Miller Plateau持续时间随着漏极电压(VDS)的提高而延长,而电流水平(ID)的增加使Plateau电压向上移动。

实际栅极电荷与数据手册规格有很大差异。较高的漏极电压会产生更长的米勒平台,需要更多的 Qgd,而较高的电流会使平台电压向上移动。这些变化意味着最坏情况下的工作条件必须确定栅极驱动器的尺寸要求。
问:栅极电荷如何控制开关速度?
答:建立栅极电荷和开关速度之间联系的基本关系遵循等式 Ig = Qg/tsw(栅极电流等于栅极电荷除以开关时间)。这表明开关速度受到提供或消除存储电荷所需时间的限制,因此栅极驱动器电流能力是开关性能的主要决定因素。
开启过程分三个阶段进行。第1相对Qgs充电,栅极电压在导通延迟时间(td(on))内从零线性上升到阈值电压。漏极电流开始流动,但漏极电压仍然很高。由于充电量小,这进展很快。
第 2 阶段在米勒平台(最关键的阶段)对 Qgd 进行充电,决定开关速度和损耗。漏极电压开始下降,产生米勒效应反馈,尽管栅极电流持续存在,但仍会使栅极电压趋于稳定。该上升时间 (tr) 与 Qgd 成正比,与栅极电流成反比。这构成了开关损耗周期,因为高压和电流同时存在于器件两端。
第 3 阶段在漏极电压达到最小值后提供完全增强,允许栅极电压上升到最终驱动电平。
关断遵循相反的顺序,栅极驱动器吸收电流以去除存储的电荷。米勒平台在漏极电压上升期间重新出现,下降时间 (tf) 遵循相同的电荷电流关系。
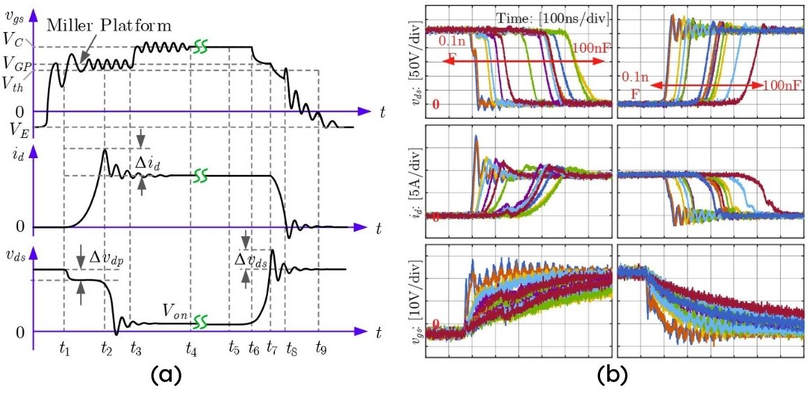
图3(a)说明了理论开关顺序,显示了米勒平台期间栅极电荷消耗发生的位置。图3(b)提供了实验证据,证明栅极电容变化如何直接影响开关时序,测量结果显示,随着栅极电容从0.1 nF增加到100 nF,转换速度较慢。

图 3.(a) 显示米勒平台的 MOSFET 开关波形,(b) 具有变化栅极电容的实验开关时间。(图片来源:ResearchGate)
实验室测量证实了理论预测,电容变化会产生成比例的开关速度变化。100 ns/div 时基展示了电源应用的真实开关速度。多个参数变化显示出一致的电荷与速度相关性。
栅极电荷从根本上决定了 MOSFET 的开关速度,其中米勒电荷分量主导开关性能。对于电力电子工程师来说,了解这种关系对于栅极驱动器尺寸、开关损耗计算和频率优化至关重要。较低的栅极电荷器件可实现更快的开关和更高的效率,但开关转换期间的米勒平台持续时间仍然是一个重要因素。
“掌”握科技鲜闻 (微信搜索techsina或扫描左侧二维码关注)










