在本文中,我们将通过最简单的鉴频器:微分器来研究调频解调的基本原理。
频率解调是从调频(FM)波中恢复原始消息信号的过程。但我们如何实现这一目标?一种方法是首先将FM信号转换为调幅(AM)波。然后使用包络检测器来恢复消息信号。
将FM信号中的频率变化转换为相应电压变化的电路称为鉴频器或鉴频器。在这篇关于调频解调的新系列文章中,我们将学习一个使用微分器进行频率鉴别的简单解调系统。顾名思义,微分器是一种输出与输入导数成比例的电路。
简化调频解调器
图1说明了我们将在本文中讨论的FM解调器的基本概念。
采用微分器的FM解调器的简化框图。
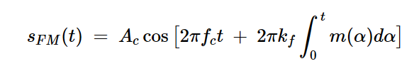
图1 采用微分器的FM解调器的简化框图要了解此电路的工作原理,请考虑以下所述的FM信号:
方程式1假设振幅(Ac)恒定,信号的时间导数为:
方程式2在等式2中,振幅和角度由消息信号调制。忽略负号,信号的包络为:
方程式3由于载波频率(fc)通常远大于kfm(t),因此信号的包络与传统AM信号的包络相同。然后,我们使用包络检测器从获得的AM信号中恢复消息信号。应该注意的是,由于fc≫kfm(t),载波频率的小幅波动不会对包络检波器的输出产生显著影响。
差异化如何进行FM到AM的转换?
微分器在频域中将输入频谱乘以jω=j2πf。理想微分器的频率响应可以用下式描述:
方程式4其中K是常数。因此,对于理想的微分器,幅度响应随频率线性增加,而相位响应保持恒定在90度。
但是如何将FM转换为AM呢?从方程1可以很容易地看出,FM波的瞬时频率(fi)根据消息信号m(t)而变化,如以下方程所述:
方程式5假设kf>0,当m(t)的振幅增加时,瞬时频率会增加。这样,频率的变化反映了消息信号幅度的变化。
如果我们把这个FM信号通过一个随着输入频率的增加而提高输出的电路,我们就可以将瞬时频率的变化转换回输出幅度的变化。例如,考虑将FM波应用于图2所示的传递函数。
适用于FM到AM转换的频率响应。
图2 适用于FM到AM转换的频率响应当瞬时频率为f1时,输出幅度为A1。随着瞬时频率从f1变化到f2,输出幅度从A1线性增加到A2。形式的传递函数:
方程式6因此可用于执行FM到AM转换。
实现微分器的电路有很多。RL电路可能是最简单的例子。带通滤波器,如调谐LC电路,也可以在狭窄的频率范围内近似微分器。这就是为什么失谐AM接收机可以使用斜率检测来部分解调FM信号的原因。
了解解调器波形
图3显示了使用微分器的FM解调器的波形。
围绕微分器构建的FM解调器的典型波形。
图3 围绕微分器构建的FM解调器的典型波形为了理解这些波形,考虑时间间隔t1和t2。在上图中,这些用紫色标记。
在时间间隔t2期间,FM波(蓝色曲线)表现出比前一个间隔(t1)更高的瞬时频率。与t1期间的振幅相比,t2期间的快速变化导致微分器输出端(绿色曲线)的信号振幅更高。通过将微分器输出通过包络检测器,我们获得了消息信号(橙色曲线)。
为了帮助我们直观地看到这一点,图4显示了使用Matlab为以下示例值创建的解调器波形:
m(t)=cos(2π×4×t)
fc=60赫兹
kf=20Hz/V。
在Matlab中创建的解调器波形示例。
图4 消息信号(顶部)、fc=60 Hz和kf=20 Hz/V(中间)的相应FM波以及FM波的导数(底部)在上图中,顶部波形表示消息信号。中间的波形表示相应的FM波。最后,底部波形描述了FM波的导数。
虽然微分器的输入信号是具有恒定振幅的FM波,但微分器的输出信号是混合调制信号,其中振幅和频率都随着消息信号而变化。
完整的调频解调系统:限幅器和直流块
为了简单起见,我们一直假设调频波的振幅是恒定的。很容易看出,当使用微分器进行FM到AM转换时,输入端不必要的幅度变化会影响输出。这意味着噪声、信号衰落和其他导致输入端不期望的幅度调制的因素将使恢复的消息信号失真。
为了消除噪声和信道失真引起的幅度调制,我们可以在鉴别器之前使用限幅器。理想限制器的传递特性如图5所示。
理想硬限幅器的传递特性。
图5 理想硬限幅器的传递特性当正弦调制波通过硬限幅器时,它被转换为调频方波。硬限幅器对信号进行限幅,以消除不必要的幅度变化。然而,我们现在需要一个调谐到载波频率的带通滤波器,从方波频谱中选择正确的谐波。这导致了图6所示的解调器框图。
结合硬限幅器以消除不必要的幅度调制。
图6 结合硬限幅器以消除不必要的幅度调制为了表示一个工作的FM解调器,上面的框图需要再修改一次:在输出端加入一个DC块。图7描绘了包含DC块的最终框图。
完整的FM解调器框图。
图7 完整的FM解调器框图从方程3中,我们知道微分器产生的信号的包络是正的,因为载波频率(fc)通常远大于kfm(t)。这使我们能够使用简单的包络检波器作为AM解调器。
然而,由方程3描述的恢复包络产生了消息信号的缩放和DC偏移版本。与传统AM一样,在包络检测器之后使用AC耦合来拒绝DC项并获得消息信号的缩放版本是至关重要的。
虽然使用交流耦合可以消除包络的直流项,但它也会衰减消息信号中非常低频的分量。在本系列后续文章中,我们将学习在不使用交流耦合的情况下消除包络直流项的解调器电路。
总结
鉴频器是一种输出幅度与输入FM波的瞬时频率成正比的设备。在FM到AM转换的实际电路中,传递函数在载波频率附近通常只有线性斜率。值得注意的是,一些参考文献使用术语“鉴频器”来描述斜坡电路,而另一些参考文献则将其应用于整个调制器系统,包括斜坡电路和随后的包络检测器。
FM解调器需要一个限幅器来消除输入端不需要的幅度调制。此外,一些解调器需要在输出端设置直流块,以消除载波频率引起的包络常数项。
“掌”握科技鲜闻 (微信搜索techsina或扫描左侧二维码关注)










