本文探讨了间接调频产生的概念和阿姆斯特朗调制器的基本操作。
FM信号可以使用直接或间接方法生成。在前者的情况下,压控振荡器(VCO)的频率直接由消息信号调制。本系列的前几篇文章详细介绍了直接调频发电。
间接调频发电采用了一种完全不同的方法。这里,乘法器和加法器被布置为生成窄带信号。然后应用频率乘法将调制指数增加到所需的值范围。因此,间接调频发生器不需要载波振荡器对调制信号做出响应。
间接方法也被称为阿姆斯特朗方法或阿姆斯特朗调制器。这将是本文的主要焦点。然而,在我们深入研究这项技术之前,我们必须了解窄带角度调制信号及其产生方式。
窄带角度调制信号
恒定振幅、角度调制信号由以下方程表示:
方程式1角度调制信号可以是相位调制(PM)或频率调制(FM)。在这两种情况下,ϕ(t)都取决于消息信号。然而,具体关系因使用PM还是FM方案而异。对于PM,这种关系由方程式2描述:
方程式2而对于FM,我们将使用方程式3:
方程式3应用基本的三角恒等式,我们可以展开方程1:
方程式4窄带角度调制是指|ϕ(t)|远小于1弧度的特殊情况。当|ϕ(t)|远小于1弧度时,我们可以使用以下近似值:
方程式5调用这些近似值,方程式4简化为:
方程式6请注意,此表达式类似于传统AM的方程。任何用于传统AM调制的调制器都可以很容易地修改以生成窄带角度调制信号。
阿姆斯特朗间接频率调制器
方程式6对我们的讨论具有重要意义。它提出了一种通过使用模拟乘法器和加法器来生成窄带角度调制波的方法。图1显示了如何实现此方法。
生成窄带调频信号的框图。
图1 使用积分器和窄带相位调制器生成窄带FM信号为了将窄带FM波转换为宽带,Armstrong的方法将图1输出端的窄带FM信号馈送到倍频器。
利用我们迄今为止获得的知识,我们可以构建阿姆斯特朗间接调频系统的简化框图(图2)。采用晶体振荡器为窄带相位调制器产生稳定的载波频率。
间接调频发电系统简图。
图2 间接调频发电系统简图为了尽量减少窄带相位调制器的失真,保持较低的最大相位偏差或调制指数(β)至关重要。在实际应用中,β通常小于0.5。
倍频器的操作
图3显示了如何使用非线性器件与带通滤波器相结合来实现倍频器。
具有缩放因子n的倍频器的框图。
图3 具有缩放因子n的倍频器的框图要理解倍频器的操作,请考虑具有以下输入-输出特性的非线性设备:
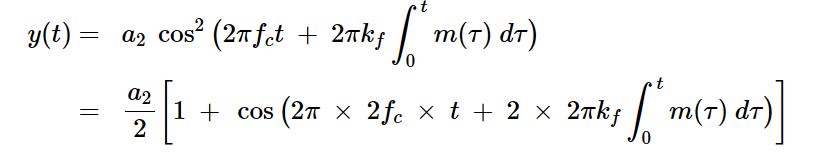
方程式7其中a2表示二阶非线性。当FM信号通过此设备时,产生的输出将是:
方程式8将此信号应用于以2fc为中心的带通滤波器将消除DC项。这给我们留下了一个FM信号,其输入瞬时频率是原来的两倍:
方程式9与适当的带通滤波器配对的平方律器件使载波频率和调制指数加倍。第n定律装置和适当的带通滤波器同样会将载波频率和调制指数增加n倍。对于给定的消息信号频率,峰值频率偏差(Δf)也会增加n倍。
一般来说,无记忆非线性器件可以用以下特征来描述:
方程式10可以证明,将频率偏差为Δf的以fc为中心的FM波应用于方程10,会产生频率偏差分别为Δf、2Δf、…、nfc的输出FM波。因此,对于n的乘法比,我们需要一个具有n阶非线性的器件。此外,带通滤波器应以nfc为中心,并具有足够大的传输带宽,以使输出FM波不失真。
倍频器的局限性
使用倍频器的一个缺点是由于谐波产生而产生的相当大的损耗,需要额外的放大级。乘法过程还增加了输出端的相位噪声。使用理想的倍频器将信号的频率乘以n,相位噪声增加20log(n)dB。
然而,通过精心设计,可以在只有几度相位噪声的情况下实现1000范围内的乘法因子。变容二极管和阶跃恢复二极管会产生高阶非线性。当用作倍频器时,它们在一步中提供10倍或更大的乘法因子。
下变频的必要性
产生所需频率偏差的乘法因子通常是一个很大的数字。这意味着宽带FM的载波频率将远高于窄带FM波的载波频率。例如,如果窄带信号的载波频率和频率偏差分别为200kHz和25Hz,并且期望的频率偏差为75kHz,则倍频比为:
方程式11为了实现这个大的乘法因子,级联了几个倍频器和三倍频器。在这种情况下,输出载波频率将为200 kHz×3000=600 MHz。
载波频率的如此大的增加是不理想的。为了降低载波频率,我们可以结合混频来降低载波频率。混频器在不改变信号频率偏差的情况下向下移动整个频谱。图4显示了在倍频器之后使用混频器的Armstrong调制器。
利用混频器的间接调频发生器。
图4 利用混频器的间接调频发生器如果倍频器输出端的信号为:

方程式12
本地振荡器产生的信号为:
方程式13则频率转换级输出端的信号为:
方程式14使用带通滤波器,我们可以保留这两个光谱分量中的任何一个,并去除另一个。假设需要下变频,我们应用一个以(nfc–fLO)为中心的带通滤波器,导致:
方程式15频率转换级通常是下变频级,而不是上变频级。此操作需要一个混频器,然后是一个合适的带通滤波器。我们可以使用卡森规则来确定带通滤波器所需的带宽。
总结
Armstrong的方法采用倍频器在输出端将窄带FM信号转换为宽带信号。倍频器以相同的系数增加载波频率和频率偏差。
当输出载波频率与目标载波频率不匹配时,可以采用上变频或下变频将调制信号移位到所需的中心频率。当倍频器改变载波频率和偏差比时,混频器只改变载波频率。
“掌”握科技鲜闻 (微信搜索techsina或扫描左侧二维码关注)










