在这篇文章中,我们将学习贝塞尔函数的基本性质,以及它们可以告诉我们关于实际调频信号带宽的信息。
在上一篇文章的末尾,我们了解到单频消息信号产生的FM波频谱由无限多个边带组成。边带通过调制频率(fm)彼此分开。然而,在实践中,FM信号的带宽是有限的。在这篇文章中,我们将通过研究第一类贝塞尔函数来解决这一明显的矛盾,并提高我们对调制谱的整体理解。
贝塞尔函数的可视化
具有任意调制指数β的音调调制FM波的方程可以写为:
方程式1正如你在上面的方程中看到的,第n边带分量按Jn(β)缩放。这个比例因子被称为第一类贝塞尔函数。图1显示了n=0到4且β小于或等于20的Jn(β)。
第一类贝塞尔函数,阶数为0到4,β小于或等于20。
图1 阶数为0到4且β≤20的第一类贝塞尔函数在检查图1时,注意J0(β)在某些β值(例如2.4和5.5)处变为零。对于这些β值,载波从输出中消失。这将在本文稍后部分很重要。
接下来,让我们来看看Jn(β)的一些最重要的性质。
β较小时的输出光谱
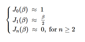
对于调制指数(β)的较小值,我们可以近似Jn(β)如下:
方程式2符号在哪里!表示阶乘函数。当β小到足以构成窄带FM时,方程2简化为:
方程式3您可以通过检查图1中的曲线来直观地验证这些近似值。
对于远小于1的β值,FM信号由一个载波和一对fc±FM的边频组成,类似于AM系统。例如,图2显示了β=0.2时光谱分量的大小。
β的FM信号频谱幅值等于0.2。
图2 β=0.2时的FM信号幅度
请注意,载波分量的振幅接近于1,边频的振幅近似为β/2=0.1。
奇数阶边带中的相位反转
对于第一类贝塞尔函数,正负指数n处的函数值之间存在对称关系。该关系由下式给出:
方程式4这意味着奇数阶下侧带相对于相同阶的上侧带相位相反。对应的偶数阶边带是相同的。
为了说明这一点,让我们再次使用β=0.2的示例值。图2仅显示了该β值的光谱分量的大小。如果我们考虑边带符号,我们得到了图3中的频谱。
考虑到边带符号,β的FM信号频谱等于0.2。
图3 考虑边带符号的β=0.2的FM信号频谱 FM信号的平均功率
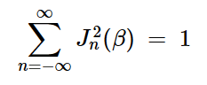
所有n整数值的Jn(β)平方和等于1:
方程式5此属性可用于确定FM信号的平均功率。考虑方程6,它再现了文章开头的FM波动方程:
方程式6正交正弦曲线之和的平均功率是它们各自功率的总和。因此,s(t)的平均功率为:
方程式7使用方程式5,平均功率简化为:
方程式8值得一提的是,我们可以在不使用方程5中给出的恒等式的情况下获得相同的结果。角度调制信号可以描述为:

方程式9
为了计算平均功率,我们将信号平方并取其时间平均值。使用基本的三角恒等式,s(t)的平方可以写成:
方程式10取该信号的时间平均值,我们得到:
方程式11符号<。>在上述方程中,表示括号内函数随时间变化的平均值。
在求时间平均值时,我们注意到,如果载波频率(fc)足够大,则上述方程中的余弦项在直流附近的频率含量可以忽略不计。因此,FM波的功率取决于未调制波的振幅,与消息信号无关。与幅度调制相比,发射机功率的这种恒定性是角度调制的一个关键优势。
载波分量的振幅
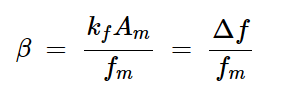
载波的振幅按系数J0(β)缩放。这意味着载波振幅随着调制指数(β)而变化,就像边带分量一样。调制指数由下式给出:
方程式12因此,与Am方案不同,载波分量取决于消息信号的幅度(Am)和频率(fm)。正如我们在检查图1时所注意到的,在某些β值(J0(β)等于零的值)处,载流子从输出中消失。
要理解为什么载波分量随β变化,请记住FM信号的平均功率是恒定的,等于Ac2/2。我们在上一节中得出了这一点。在没有调制的情况下,总平均功率仅集中在载波分量中。然而,当载波经历频率调制时,一部分功率被分配给边带分量。这部分的大小取决于β。
对于Ac=1,载波和调制指数之间的关系如图4所示。
左:当β等于0时,FM信号频谱集中在载波分量中。右:通过调制,信号的总功率在载波和边带之间共享。
图4 当β=0时,FM信号频谱集中在载波分量(a)中。在调制(β=0.2)时,信号的总功率在载波和边带频率(b)之间共享FM频谱的重要边带
表1(也出现在“宽带FM信号介绍”中)列出了选定β值的Jn(β),四舍五入到最接近的百分之一。请注意,Jn(β)低于0.01的值被认为可以忽略不计,因此不包括在表中。
表1 n=0至14的Jn(β)的显著值和一些选定的β值重要边带的数量取决于β。例如,当β≥1时,只有J0(β)、J1(β)和J-1(β)具有可观的振幅,这意味着只有载波和fc+fm和fc-fm处的边带出现在输出端。随着β的增加,额外的边带开始出现。因此,β值越高,信号传输的带宽就越宽。
当β远大于1时,将形成无限数量的边带,从而产生与调幅方案截然不同的频谱。表1中的数据可用于验证当n>β时,Jn(β)对所有n值均呈单调递减。当n明显大于β时,Jn(β)减小到远低于1。
例如,取Jn(β),β=10,n变化。当n小于10时,Jn(10)是非单调的。相比之下,当n>10时,它单调下降。这意味着,对于给定的β,当n充分增长时,Jn(β)会减小到远低于1。这只会产生有限数量的重要边带。
图5通过绘制几个β值的Jn(β)与n的关系图来证明这一点。
对于几个β值,第一种贝塞尔函数被绘制为n的函数。
图5 Jn(β)绘制为几个β值的n函数如果我们假设Jn(β)在n>β+1时可以忽略不计,则有效边带的数量变为β+1。FM波的带宽为:
方程式13在窄带调频的特殊情况下,如预期的那样,我们有β<1,带宽等于BW=2fm。
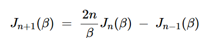
Jn(β)的复发关系
我们将在本系列的下一篇文章中了解更多关于方程式13的信息。现在,我想通过强调一个递归方程来总结,该方程将Jn(β)的不同阶值联系起来:
方程式14使用这个递归方程,我们可以通过知道前两阶的Jn(β)值来确定特定n处的Jn。例如,从表1中,我们得到J0(10)=-0.25和J1(10)=0.04。将这些值代入上述方程式,得到:
方程式15一旦考虑了舍入误差,该值可接受地接近表中提供的值J2(10)=0.25。
总结
为了更深入地了解音调调制调频波的频谱,本文研究了Jn(β)的关键性质。我们的讨论强调了上边带和下边带之间的对称性,证明了FM信号的总功率保持恒定,并表明FM信号具有有限的有效带宽。我们将在下一篇文章中讨论确定有效带宽的不同方法。
“掌”握科技鲜闻 (微信搜索techsina或扫描左侧二维码关注)










