了解贝塞尔函数和调制指数可以帮助我们了解宽带调频(FM)信号的带宽。
由于它遵循叠加原理,调幅(AM)被归类为线性调制技术。另一方面,角度调制基本上是非线性的。这种非线性使发射机和接收机系统的分析和设计变得复杂。
这种非线性的一个影响是调制波的有效带宽可以比原始消息信号的有效带宽宽得多。为了有效地传输和接收角度调制信号,了解调制波所占用的带宽至关重要。
以前,我们探索了低调制指数的角度调制波的频率内容。本文研究了当消息信号是单频正弦波时,具有任意调制指数的角度调制波的带宽。与之前一样,我们将重点介绍调频(FM),因为它具有卓越的噪声性能。
角度调制波与窄带调频:综述
为了更好地理解我们在本文中想要实现的目标,让我们首先回顾一下我们在前面的文章中所涵盖的内容。回想一下,恒定振幅、角度调制信号可以用以下方程表示:
方程式1其中Ac是载波振幅,fc是载波频率。
方程式2显示了FM方案中ϕ(t)与消息信号之间的关系:
方程式2其中kf是频率偏差常数。
虽然我们在本文中不会讨论相位调制(PM),但它也可以作为角度调制。为了完整起见,方程3显示了ϕ(t)与相位调制中的消息信号的关系:
方程式3其中kp是比例常数。
分析任意消息信号的角度调制带宽可能会很快变得非常复杂。因此,我们经常使用某些近似值或特殊情况来理解角度调制波的关键特征。其中一种近似方法是窄带角度调制,它假设|ϕ(t)|远小于一弧度。
我们的初步分析发现,窄带调频占用了信息信号带宽的两倍。为了进一步理解,我们考虑了单频消息信号的特殊情况下的窄带FM调制。这表明窄带FM的下边带相对于上边带经历了相位反转,如图1(b)的相量图所示。
当使用单频消息信号时,传统AM(a)和窄带FM(b)的相量图。
图1 当使用单频消息信号时,传统AM(a)和窄带FM(b)的相量图在本文中,我们将继续研究由单频消息信号产生的FM波的带宽。然而,与前一篇文章不同,取消了|ϕ(t)|≪1弧度的约束。我们称之为宽带,而不是窄带,FM。
单频输入的宽带调频
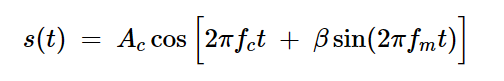
让我们假设消息信号是单音正弦曲线:
方程式4其中Am和fm分别是消息信号的幅度和频率。将方程式2ϕ(t)应用于FM波:
方程式5ϕ(t)的振幅,即调制指数,通常用β表示:
方程式6其中Δf=kfAm。将方程5代入方程1,我们得到FM信号:
方程式7我们之前介绍的参数β是调制指数,它控制着FM中的调制量。正如我们稍后将看到的,FM的带宽取决于β。请注意,这与传统的AM方案形成鲜明对比,后者的带宽与其调制指数(μ)无关。
根据方程6,β与调制信号的幅度(Am)成正比,与调制信号频率(fm)成反比。因此,FM的带宽取决于调制信号的幅度和频率。
确定调频波的占用带宽
正弦调制信号产生的FM波通常是非周期性的,除非载波频率(fc)是FM的整数倍。然而,事实证明,我们可以从这个方程中分离出一个周期性的乘法项。使用傅里叶级数来扩展这个周期项简化了问题,并使我们能够识别整个FM信号的频谱。
让我们深入探讨这个过程。方程式7中的FM信号可以改写为:
方程式8其中,运算符Re[.]表示方括号内数量的实部。我们将方程8中的乘法项之一定义为g(t):
方程式9该项是周期性的,基频等于调制频率。我们可以将g(t)展开为复傅里叶级数:
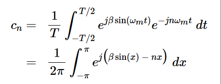
方程式10g(t)的指数傅里叶级数系数可以如下获得:
方程式11这个积分是n和β的函数,被称为第一类贝塞尔函数。用Jn(β)表示:
方程式12乍一看,上述积分可能令人望而生畏,但好消息是我们很少需要直接计算它。我们将在下一篇文章中深入研究Jn(β)的关键属性。目前,只需将其视为一个依赖于n和β的缩放因子。
在傅里叶级数系数cn=Jn(β)的情况下,我们可以使用方程10将g(t)表示为:
方程式13最后,将该方程代入方程8,FM信号可以改写为:
方程式14当消息信号是单频正弦波时,上述方程是对具有任意调制指数β的FM信号的有用描述。
理解推导方程
方程14显示,按J0(β)因子缩放的载波出现在输出频谱中。最近的分量是fc+fm和fc-fm处的边带,其缩放因子分别为J1(β)和J-1(β)。次接近的分量是位于fc+2fm和fc-2fm的边带,它们分别具有J2(β)和J-2(β)的缩放因子。这种模式对任何Jn(β)和J-n(β。
图2显示了Ac=1时正弦调制输入产生的FM信号的典型频谱。
单音消息信号的FM信号的典型频谱。
图2 单音消息信号的FM信号的典型频谱这里有一些观察结果。首先,在FM和PM中,会产生大量的上边带/下边带对。这需要比相同消息信号的幅度调制更多的带宽。其次,请注意,频率分量彼此分开的频率等于调制频率。
最后,边带的振幅并不相同,由AcJn(β)给出。缩放因子Jn(β)是β的函数,β本身取决于消息信号的幅度(Am)和频率(fm)(见方程式6)。因此,频率分量的振幅随着Am和fm而变化。
示例:查找FM信号频谱
现在,我们将找到Ac=1和各种调制指数值β=0、0.2、1、2的正弦消息信号产生的FM波的频谱。为此,我们需要知道Jn(β)的值。
为了帮助确定贝塞尔函数的精确值,表1列出了选定β值的Jn(β)。Jn(β)值低于0.01被认为可以忽略不计,因此不包括在表中。
表1 n=0到n=14的Jn(β)的显著值和一些选定的β值图3显示了n=0到4且β≤20时的Jn(β)。
第一类贝塞尔函数,n等于零到四,β小于或等于二十。
图3 n=0到4且β≤20的第一类贝塞尔函数当β=0时,图3显示,对于所有n>0,我们有J0(0)=1和Jn(0)=0。在这种情况下,我们没有调制。只有相对振幅为1的未调制载波出现在输出端。如图4(a)所示。
β=0(a)和β=0.2(b)时的FM信号频谱幅度。
图4 β=0(a)和β=0.2(b)时的FM信号频谱幅度图4(b)显示了β=0.2时的输出光谱大小。在图4(b)中,FM信号仅包含一对有效边带,类似于传统的AM方案。这是一个窄带调频的例子,我们在上一篇文章中讨论过。
最后,图5(a)和图5(b)分别显示了β=1和β=2时获得的输出光谱。
β=1和β=2时FM信号频谱的幅度。
图5 β=1(a)和β=2(b)时FM信号频谱的幅度将这些图相互比较并与图4进行比较,我们发现增加调制指数会导致额外的显著边带。图4和图5中频率分量的振幅与表1中的相应值相匹配。
总结
调频调频信号由fc处的载波分量和fc±FM、fc±2fm、fc?FM等无限数量的边带组成。第n边带的强度由贝塞尔函数Jn(β)决定。在下一篇文章中,我们将仔细研究贝塞尔函数,以便更好地理解FM边带的行为。
“掌”握科技鲜闻 (微信搜索techsina或扫描左侧二维码关注)










