作者简介
本文是第二届电力电子科普征文大赛的获奖作品,来自上海科技大学潘其山的投稿。

电容的高故障率是电力电子系统可靠性问题的一大来源,其中电解电容短寿命的特点尤为突出。然而,追求可靠性的本质是追求产品全寿命周期成本的最优,从这一角度出发,可靠性不高的电解电容也许在某些应用中更加“可靠”。不同类型的电容特性差距甚远,如何根据需求取舍、权衡其中的利弊关系,体现了工程学科的精髓。随着技术进步与迭代,电力电子系统将不断地逼近其最优可靠性点。
01
电力电子系统的可靠性需求
1957年晶闸管的发明开创了电力电子新时代。从那时起,电力电子就发挥了其最大潜力,在发电(风电、光伏等)、输电(柔性直流输电等)、配电(固态变压器、直流微网等)和用电(电动汽车充电、电机驱动、LED照明、消费电子等)应用中迅速发展。随着电路拓扑、控制方案、半导体器件、无源元件、数字信号处理和系统集成技术等方面的深入研究和进步,电力电子系统的性能,特别是效率和功率密度不断提高。
近年来,由于安全需求,汽车和航空航天工业对电力电子系统的可靠性提出了严格要求。另一方面,使用过程中的高故障率将导致高的维护成本,因此,其他工业和能源行业也遵循着相同的趋势[1]。
以大型光伏电站为例。在光伏电站中,光伏逆变器用于有效地将直流电压转换为交流电压。逆变器厂商目前可以提供超过20年的质保。然而,2012年光伏逆变器的平均使用年限在5年左右。因此,尽管逆变器只占初始系统成本的10-20%,但在光伏系统的寿命周期内,逆变器可能需要更换三到五次,引入了额外的维护成本。根据2001年至2006年大型光伏电站的维护经验,逆变器造成了37%的计划外维护和59%的维护成本[2],如图1所示。

02
电力电子系统中电容的高故障率
电容器广泛应用于电力电子变换器,以实现开关频率和工频尺度下的滤波,平衡输入源与输出负载之间的功率差,提供稳定的直流电压。在某些应用中,他们也用于在保持时间内提供足够的能量。
然而,作为最常用的无源元件,电容器也是最脆弱的电力电子系统元件[3], [4]。图2显示了电力电子系统的故障原因分布。可以注意到,电容器导致的电力电子系统故障比例甚至超过了半导体器件。
图2. 电力电子系统主要部件的故障分布03
电力电子系统的滤波电容
最常见的用于电力电子系统滤波的电容包括铝电解电容(Al-Caps)、薄膜电容(MPPF-Caps)、多层陶瓷电容(MLCC)三种。这三种类型的电容器表现出特定的优点和缺点,图3从不同方面对其性能进行了定性比较[5]。
铝电解电容可以实现最高的能量密度和最低的单位能量成本。然而,它具有相对较高的ESR,低纹波电流额定值,以及由于高温下电解液蒸发而导致的寿命问题。
多层陶瓷电容具有更小的尺寸,更宽的工作频率范围和更高的工作效率温度(达到200℃)。然而,它们的成本较高,对机械应力敏感。
综合考虑成本、ESR、容值、纹波电流与可靠性,薄膜电容是500 V以上的高压应用的最优选[5],尽管其存在体积较大、最高工作温度不高的特点。
图3. 三种主要电容器的性能比较目前,在高压应用中针对开关频率滤波的电容多为薄膜电容,因为高频滤波对电容容值要求不高,而对电容的纹波电流耐受能力、ESR、频率特性以及可靠性要求更高。
然而,电力电子系统中电容的另一个重要功能是针对工频功率的滤波。工频滤波电容往往是电力电子系统中的直流母线电容,图4展示了具有直流母线电容的电力电子变换器的典型架构。这些典型架构涵盖了风力发电机、光伏逆变器、电机驱动、电动汽车和照明系统等应用。
图4. 带直流母线电容的电力电子变换器的典型架构:(a)带直流母线的AC-DC-DC或DC-DC-AC电力电子变换器
(b)带直流母线的AC-DC-AC电力电子变换器
(c)带直流母线的AC-DC或DC-AC电力电子转换器
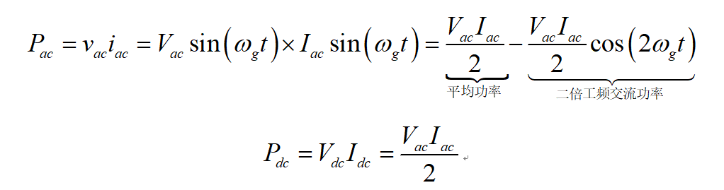
以其中典型的单相AC-DC-DC变换器为例,AC输入端口的功率为平均功率和二倍工频交流功率之和,而DC端口的功率为直流功率,其值等于交流端口的平均功率。

交流端口和直流端口不匹配的二倍工频交流功率由直流母线电容吸收,导致直流母线上存在纹波电压,纹波电压与直流母线电容的关系如下[6]

为了保证足够小的直流母线上的电压纹波,往往需要毫法级的母线电容。用于工频功率滤波的母线电容往往由电解电容构成。最近发表在TPEL期刊上的两篇文章[7], [8]统计了超过20家厂商的超过60万个电容的数据,解释了直流母线电容多为电解电容的原因,并提供了定量且详细的母线电解电容选取指南。
铝电解电容在50-1000V的电压等级下具有最大的容量,如图5所示[7]。另外,与薄膜电容和陶瓷电容相比,铝电解电容具有最高的能量密度(无论是从体积角度还是质量角度)与最低的单位能量成本。然而,铝电解电容的RMS电流额定值较低,高温耐受力差,可靠性和寿命相对较差[7]。
综上所述,从电压纹波最小的角度出发,必然得到母线电容选择电解电容最优的结论,因为容值要足够大。母线电解电容用量大与电解电容本身寿命短共同导致电力电子系统中电容故障率高最高。(此处为作者个人观点,但电解电容寿命短是公认的事实)

图5. 对采用各种技术的商用电容的额定电容C与额定直流电压Vr的总结,包括铝电解、钽电解、I类陶瓷、II类陶瓷、薄膜和电解双层电容器(EDLC)。
考虑直流母线电容还可以从电流纹波的角度出发,在单相AC-DC-DC系统中,假设母线电容吸收了所有输入输出端的不平衡功率,则其电流纹波幅值将与母线电流平均值完全一致。考虑该高纹波电流,薄膜电容的性能远超铝电解电容。
如图6所示,三种电容器的纹波电流能力大致与其电容值成正比。对于高纹波电流应用,铝电解电容由于A/μF较低,在小容值下无法承受高纹波电流应力。而实现相同的纹波电流耐受能力,薄膜电容的容值远小于电解电容。以纹波电流(即$/A)计算,薄膜电容的成本约为铝电解电容的1/3[5],体积也远小于铝电解电容。同时,薄膜电容的寿命是电解电容寿命的数十倍。这意味着在高纹波电流应用(如电动汽车电机驱动)中,使用薄膜电容实现低成本、高功率密度、高可靠性的直流母线设计的可能性[9]。

图6. 纹波电流与电容容值之间的关系[5]
实际上,目前的产品级单相AC-DC-DC系统设计过程中,小直流母线电压纹波是首要的设计考虑因素(因为这可以大大简化设计过程),大直流母线电容值几乎是必选项。因此,铝电解电容成为直流母线电容的最优选,而大容值的铝电解电容也能提供所需的纹波电流能力。尽管使用薄膜电容可以很容易达到所需的纹波电流值,然而因为容值小,直流母线电压纹波将大大增加,这是目前的产品设计中要避免出现的。
04
消除直流母线电解电容
大容量直流母线电解电容带来的成本上升、功率密度下降、故障率提高(电力电子系统可靠性变差,寿命缩短)的问题得到了广泛关注,在光伏逆变器、LED驱动、电机驱动等应用中提出了各种方案以消除直流母线的大电容需求[10], [11]。
与薄膜电容用作母线电容相比,铝电解电容用作母线电容的优势在于容值大,因此母线电压纹波小,可以实现直流母线前后级设计和控制的完全解耦。学术界已经提出了各种各样的有源功率解耦方案来降低母线电容容值的需求,其基本原理是将单相AC-DC-DC系统输入输出端不匹配的功率转移到第三端口,利用第三端口的大电压纹波降低容值需求,实现薄膜电容取代电解电容。
然而,有源功率解耦实现薄膜电容用作母线电容的方案相比于原本的电解电容用作母线电容的方案大大增加了设计难度,并且使用了额外的有源器件,设计制造成本大大上升。其应有的可靠性提升收益因为更多器件的加入而有所衰减。
05
结论
考虑电力电子系统可靠性的最终目的是实现系统寿命周期成本的最优。如图7所示,电力电子系统可靠性的提升需要设计与制造成本的持续投入,可靠性的提升可以降低后期维护成本。设计制造成本与维护成本之间的权衡体现了工程学科的精髓所在。
![图7. 可靠性对成本的影响[1]](http://n.sinaimg.cn/spider20250924/135/w546h389/20250924/7ff3-1e356ee3983c1a35f72406183e273e79.png)
将电力电子系统中的电解电容替换为薄膜电容是提升系统可靠性的有效途径,然而并不一定是实现系统寿命周期成本最优的有效途径。
电解电容可靠性不高,却并不意味着其“不可靠”,在寿命需求短或维护成本低的应用场合,将电解电容用作母线电容可以大大降低设计复杂度。薄膜电容可靠性高,寿命长,也并不意味着其可以在所有应用场景下替代电解电容,在直流母线上直接应用薄膜电容会带来额外的研发设计成本。
在电机驱动应用中,已经有成熟的薄膜电容替代电解电容的方案,这种“成熟”不是一蹴而就的,全球市场的成本竞争自然决定了该应用下可靠性继续提高的需求。而手机充电器、小型LED驱动等应用中的母线电解电容预计将难以被薄膜电容取代,这是出于设计制造成本与维护成本的综合考虑。
在作者涉足的电动汽车充电机领域,电解电容仍然是直流母线电容的主流选择。该应用下电解电容是否“可靠”需要学术研究与工业应用数据共同判断。作者坚定地认为,在不增加系统总体成本,不牺牲系统性能的基础上,实现薄膜电容替代电解电容的技术方案将在这场全球市场的成本竞争中成为“最终赢家”。
“掌”握科技鲜闻 (微信搜索techsina或扫描左侧二维码关注)










