了解为什么相位调制(PM)和频率调制(FM)可以根据消息信号的性质产生几乎相同或完全不同的波形。
虽然频率调制(FM)和相位调制(PM)都属于角度调制的范畴,但它们产生的波形不同。FM的频率偏差仅取决于消息信号的幅度,而PM的频率偏差则取决于消息的幅度和频率。在本文中,我们将通过探索这些差异来加深对FM和PM波的理解。
PM和FM波
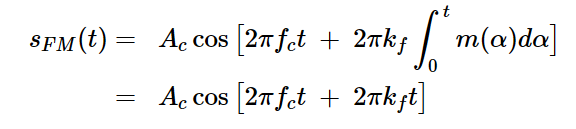
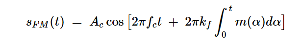
任何消息信号的PM和FM波可以分别通过方程式1和2获得:

方程式1
方程式2其中:
m(t)是消息信号
Ac是载波的振幅
fc是载波频率
kp是相位偏差常数
kf是频率偏差常数。
正弦消息的FM和PM波
首先,让我们假设消息信号是一个正弦函数,由下式给出:
方程式3通过应用方程式1,我们可以很容易地获得该消息信号的PM波:
方程式4之后,我们通过对消息信号进行积分来推导FM波:
方程式5在图1中可以看到结果波形以及原始消息信号。
正弦消息信号及其相应的PM和FM波。
图1 正弦消息信号(顶部)、相应的PM波(中间)和相应的FM波(底部)请注意,这些波形使用以下参数值:
fc=100赫兹
Am=1 V
调频=2.5赫兹
kp=20 radV
kf=300赫兹/伏。
正如我们根据本系列前一篇文章所预期的那样,当m(t)具有正斜率时,PM波的频率会上升,而当它具有负斜率时,频率会下降。为了检查FM波的频率变化,我们需要找到它的瞬时频率:
方程式6其中θi是瞬时角度。
这里有两个观察结果。首先,虽然PM波的频率取决于m(t)的斜率,但FM波的频率会随着消息信号的瞬时值而变化。图1证实了这一点,表明当消息信号处于峰值时,FM波频率达到最大值,当消息信号最低时,频率达到最小值。
其次,图1表明,如果不看到消息信号,正弦消息信号的PM波和FM波就无法相互区分。然而,正如我们稍后将看到的,对于非正弦消息信号来说,情况并非如此。
瞬时频率如何随Am变化?
在我们开始之前,让我们仔细看看上面例子中的瞬时频率,看看它是如何随着消息幅度(Am)而变化的。我们通过求PM波瞬时角度的导数来获得PM波的瞬时频率:
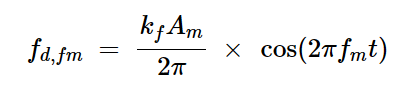
方程式7瞬时频率中与消息相关的部分称为频率偏差。对于PM波,它由下式给出:
方程式8同样,我们可以使用方程6中提供的FM波的瞬时频率来确定FM信号的频率偏差:
方程式9方程式8和9表明,PM和FM波的频率偏差与消息信号幅度(Am)成正比。图2提供了一些波形,以帮助我们更好地理解这种关系。
顶部:Am=1 V(左)和Am=1.25 V(右)的消息信号。中间:对应的PM波。底部:对应的FM波。
图2 顶部:Am=1 V(左)和Am=1.25 V(右)的消息信号。中间:对应的PM波。底部:对应的FM波上图中的左侧列显示了Am=1 V的消息幅度的波形。右侧列显示了Am=1.25 V的波形。对于这两组波形,以下情况均成立:
fc=100赫兹
调频=2.5赫兹
kp=20 rad/V
kf=300赫兹/伏。
让我们使用图2光标框中的数据来比较两个PM波产生的最低频率。请注意,单击图2将在新选项卡中打开图像的放大版本,您可能会发现这有助于提高可读性。
对于Am=1 V,方程式10允许我们通过识别波形中最长的周期来估计PM波的最低频率:
方程式10在上述方程中,我们通过从fmin中减去fc=100Hz来得到频率偏差(fd1)。同样,对于Am=1.25V,我们有:
方程式11频率偏差的比率为:
方程式12这接近于相应消息幅度的比率(1.25/1=1.25)。因此,我们可以得出结论,PM波的频率偏差与信息振幅成正比。
我们按照类似的程序验证了FM波的频率偏差与消息幅度成正比。使用Am=1 V的数据点,我们再次使用波形的最长周期来估计最低频率:
方程式13对于Am=1.25V,我们得到:
方程式14fd2与fd1的比率约为1.24,可接受地接近1.25的预期值(Am=1.25V与Am=1V的比率)。
消息信号频率的不同影响
检查FM和PM波的频率偏差(方程式8和9)突出了这两种调制方案之间的重要区别。与FM波相比,PM波的频率偏差受到消息信号频率(FM)的影响。为了说明这一点,让我们使用两个不同的fm值来生成上一节中的波形:
调频=2.5赫兹
fm=2Hz。
在保持其他参数不变的情况下,我们得到了图3中的波形。
信息信号(顶部)、PM波(中间)和FM波(底部)。左列:调频=2.5赫兹。右列:fm=2 Hz。
图3 信息信号(顶部)、PM波(中间)和FM波(底部)。左列:调频=2.5赫兹。右列:fm=2 Hz根据方程式10,fm=2.5 Hz的PM波的频率偏差为fd1=-50 Hz。对于fm=2 Hz,频率偏差为-39.76 Hz,计算如下:

方程式15
频率偏差的比率为:
方程式16这与消息信号频率的比率相同(2/2.5=0.8)。
FM=2.5 Hz的FM波的频率偏差为fd1=-47.09 Hz,如之前通过方程13计算得出的。对于fm=2 Hz,我们得到:
方程式17这可以接受地接近fd1=-47.09 Hz,表明FM波的频率偏差与消息频率无关。
频率偏差变化汇总
在我们继续之前,让我们花点时间总结一下我们学到了什么。在FM和PM中,频率偏差与消息信号(Am)的幅度成正比。如图4所示。
消息幅度对频率偏差的影响对于FM和PM波都是相同的。
图4 对于FM和PM波,消息幅度对频率偏差的影响是相同的PM波的频率偏差也与消息频率(fm)成正比。然而,FM方案中的频率偏差不受FM的影响。这些关系如图5所示。
消息频率对FM(橙色)和PM(蓝色)波频率偏差的影响。
图5 消息频率对FM(橙色)和PM(蓝色)波频率偏差的影响阶跃函数消息的FM和PM波形
到目前为止,我们只讨论了正弦消息信号产生的FM和PM波。但是,如果消息信号是阶跃函数呢?图6显示了此示例的波形。
阶跃函数消息信号(顶部)、相应的PM波(中间)和相应的FM波(底部)。
图6阶跃函数消息信号(顶部)、相应的PM波(中间)和相应的FM波(底部)图6中的消息函数在t=0.05秒时包含了一个单位步长变化,从0转换到1。对于t<0.05秒,消息信号为零,我们有一个未调制的载波。对于t>0.05秒,m(t)具有恒定的单位值。
图的中间部分显示了与此消息信号对应的PM波。当kp=π/2时,PM方案引入了π/2的突变相移。正如我们在前面一篇关于相位调制的文章中所了解到的,恒定的消息信号会引入相移,而不会改变PM波的频率。因此,在阶跃函数转换后,PM波的频率保持不变。
要确定FM波,请注意,单位阶跃函数的积分随时间线性增长,保持斜率为1。这为载波的自变量引入了一个项(2πkft)。因此,对于t>0.05秒,我们可以将FM波表示为:
方程式18这表明,在阶跃函数转换后,FM波的频率增加了kf。
将图1中使用正弦消息信号的角度调制波形与图6中的波形进行对比。在图1中,如果不显示消息信号,则无法区分PM波形和FM波形。然而,图6中的情况并非如此。根据消息信号的类型,PM和FM方案可以产生相似或完全不同的波形。
总结
在幅度调制中,调制波的包络直接反映了消息信号的变化。在角度调制中,信息信号对载波的影响更为微妙。然而,这种关系的细节因角度调制的类型而异。
一个主要区别在于频率偏差与消息信号的关系。在FM中,频率偏差仅受消息信号幅度的影响。相比之下,PM的频率偏差受到消息信号的幅度和频率的影响。我希望本文中的示例能帮助您理解消息信号是如何影响这两种角度调制波的。
“掌”握科技鲜闻 (微信搜索techsina或扫描左侧二维码关注)










