了解韦弗调制器,这是一种射频电路,它通过去除对陡峭带通滤波器或正交移相器的需求,改进了旧式的单边带调制方法。单边带调制是一种幅度调制(AM),它使用上边带或下边带来传输信息。与其他形式的幅度调制相比,SSB调制的主要优势是节省带宽和功率。本系列的前几篇文章讨论了单边带信号生成的滤波法和移相法。现在,我们将探讨第三种选择:韦弗调制器。
本文引用地址:
滤波法是最古老、最直接的单边带调制形式。然而,它需要具有极陡过渡区域的带通滤波器。自1924年引入以来,移相法——消除了这一需求——被认为显著优于前者。如图1所示,移相法通过在调制器输入端使用移相网络来生成单边带信号。
图1. 使用移相法生成单边带信号。
在该方法中使用的移相网络必须生成彼此精确相差90度的信号。虽然比上述的陡峭带通滤波器更容易实现,但这些移相网络的实现也并非易事。尽管如此,移相法仍然是主要的方法,直到20世纪50年代末。1956年,唐纳德·K·韦弗在一篇题为《单边带信号的第三种生成和检测方法》的论文中引入了一种新方法。这种方法摒弃了对陡峭带通滤波器或精确移相器的需求。相反,韦弗用正交变频过程替换了移相法中的正交移相器。韦弗调制器(图2)使用了四个乘法器和两个低通滤波器。
图2. 韦弗法生成单边带信号。
请注意,图2显示的是保留上边带(USB)的配置。在本文后面,我们将探讨如何修改电路以生成下边带(LSB)。在韦弗电路中,所需的90度相位差是由第一组乘法器和低通滤波器共同产生的。韦弗电路中的第二组乘法器与移相法中的工作方式相同,只是它们使用了不同的本振频率。电路中的第一对乘法器使用一个频率为f
0
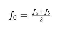
的振荡器将消息信号下变频,该频率位于消息信号频率范围的中心。如果消息信号的频率范围为fa≤f≤fb,则应用于第一对乘法器的载波为:
公式1经过下变频后,消息信号的中心频率变为直流(f=0)。得到的信号随后通过低通滤波器,其截止频率为:
公式2如果所需的载波频率为 f
c
,则第二对乘法器必须由频率为 fc+f0 的振荡器驱动。
让我们使用图3来分析电路对单频消息信号 m(t)=cos(ωmt) 的响应。

公式3

公式4

公式5
公式6公式4和公式6表明,低通滤波器的输出信号之间存在90度的相位差。正如我们之前提到的,实现这种相位差是移相法的关键挑战。现在我们已经准备好找到调制器的输出信号。使用 v
A
和 v
B
,韦弗调制器的输出信号为:
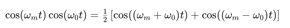
公式7我们可以通过识别其与以下三角恒等式的相似性来简化这个表达式:
公式8应用这个恒等式,输出信号简化为:
公式9该信号的频谱由位于 ±(fc+fm) 的两个冲击组成。这些对应于图4中的上边带分量。
到目前为止,我们仅使用韦弗调制器生成了上边带信号。然而,通过改变特定项的极性,我们可以消除上边带并生成下边带信号。图5展示了所需的调整。

公式10
简化为:
公式11该信号的频谱由位于 −fc+fm 和 fc−fm 的两个冲击组成,对应于下边带分量(见图4)。
在前一篇文章中,我们学习了带通信号的复基带表示。让我们简要回顾一下与当前讨论相关的这一概念的关键方面。这将使我们能够通过从另一个角度来检查韦弗调制器,从而加深对其的理解。考虑一个以固定射频频率 f
c
为中心的调制正弦波,其幅度和相位变化缓慢:
公式12其中 A(t) 和 θ(t) 分别是时变信号的瞬时幅度和相位。上述公式可以重写为:
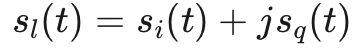
公式13方括号内的项是信号的复基带表示:
公式14上述公式也可以用笛卡尔形式表示:
公式15其中 si(t) 和 sq(t) 是 sl(t) 的实值同相分量和正交分量。从公式14和公式15中,我们得到同相分量和正交分量的值:
公式16这一分析表明,带通信号可以分解为两个相差90度的低通信号。相关问题是:如何为给定信号生成 si(t) 和 sq(t)?为了找出答案,让我们将注意力重新转向电路。
正如我们在前一篇文章中讨论的,基带表示的同相分量和正交分量可以通过一对乘法器和低通滤波器获得。该电路如图6所示。此外,如果我们有同相分量和正交分量,我们可以使用图7中的配置重建带通信号。图6和图7中的电路是韦弗调制器的构建模块。
在组合电路中,两对乘法器由不同的本振频率驱动。例如,第一对乘法器由 f
0
驱动,而第二对乘法器由 fc+f0 驱动,用于上边带生成。如果两对乘法器使用相同的振荡器频率,则电路实际上会在输出端复现消息信号。通常,在讨论复基带表示的概念时,输入是一个射频信号。然而,韦弗电路将这一概念应用于基带信号。韦弗调制器通过下变频消息信号来找到其同相分量和正交分量。
“掌”握科技鲜闻 (微信搜索techsina或扫描左侧二维码关注)










