单边带(SSB)调制通过抑制上边带或下边带来提高带宽利用率。本文将解析无需使用锐截止滤波器即可实现该技术的电路原理与数学基础。
本文引用地址:
1915年,约翰·伦肖·卡森提交了美国首个单边带调制专利申请。他提出的滤波法通过对双边带(DSB)信号进行滤波来消除其中一个边带。但由于DSB信号上下边带间隔极小,这种方法需要极其陡峭的滤波器。
1924年,卡森的同事拉尔夫·V·L·哈特利提出了第二种方案——相位法,通过改进电路结构而非依赖输出端带通滤波器来消除目标边带。该方法无需使用高选择性带通滤波器。
本文将深入探讨相位法,并阐释希尔伯特变换的关键作用。这种在信号处理中广泛应用的数学工具,能对输入信号的各频率分量施加宽带90度相移,是实现相位法的核心所在。
双边带调制回顾
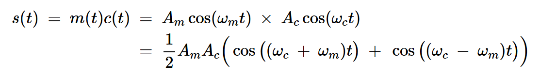
以单频输入信号为例,设基带信号为:
公式1其频谱由±fm处的两个冲激组成:
公式2采用抑制载波的双边带(DSB-SC)调制时,载波信号
公式3与基带信号相乘后产生:
公式4图1展示了单频输入时的DSB-SC信号频谱,其中USB和LSB分别表示上下边带。
相位法基本原理
图1 SSB调制的核心在于仅保留和频(USB)或差频(LSB)分量。根据三角恒等式展开:
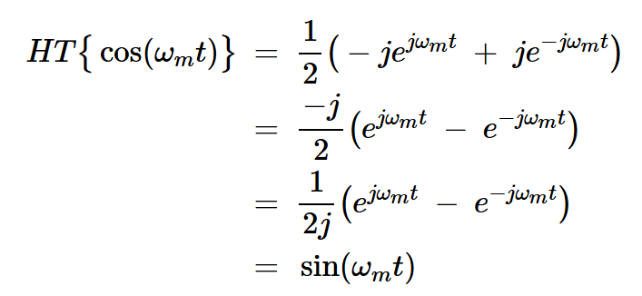
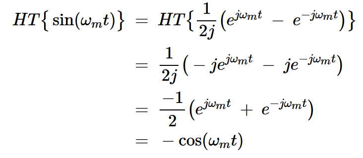
公式5要实现该式,需从m(t) = cos(ωmt)生成sin(ωmt)。
由于
公式6因此需要精确的-90度移相网络。
图2展示了基于该原理的SSB调制器框图,通过选择加法器或减法器可分别生成下边带或上边带。
图2 希尔伯特变换
希尔伯特变换得名于德国杰出数学家大卫·希尔伯特,其开创性工作对数学发展产生了深远影响。他不仅创立了希尔伯特空间理论,更为泛函分析奠定了重要基础。
该变换将所有正频率分量相移-90度,负频率分量相移+90度,同时保持频谱幅值不变。从频域看,希尔伯特变换相当于一个具有如下响应的线性滤波器:
公式7图3展示了该变换的幅频与相频特性。
图3时域中的希尔伯特变换
其冲激响应为:
公式8余弦/正弦函数的变换验证
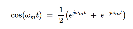
虽然希尔伯特变换对正负频率分量的差异化处理看似复杂,但通过欧拉公式可直观验证其对余弦函数的变换效果。对于实余弦信号:
公式9方程右侧的第一项表示正频率。它经历了 –90 度的相移。第二项对应于负频率,并在相位上偏移 +90 度。cos(⍵mt) 和 sin(⍵mt) 的计算方法如下:
公式10同理可证:
公式11这一特性表明:若mh(t)是(⍵mt)的希尔伯特变换,则对mh(t) 再次变换将得到 -mh(t) 。
在SSB调制中的应用
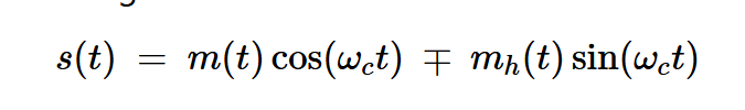
图4展示了相位法的完整实现架构:
图41. 主通路:基带信号$m(t)$与载波直接调制
2. 正交通路:$m(t)$与载波分别经希尔伯特变换后调制
两路信号合成时,相位差导致目标边带相消。实际系统中:
- 移相网络采用无源电路或数字信号处理实现
- 乘法器多使用平衡调制器结构
- 载波抑制度取决于调制器平衡精度
- 边带抑制效果由移相模块决定
SSB信号的时域表达式为:
公式12其中mh(t) 为 m(t)的希尔伯特变换,"+"生成下边带,"-"生成上边带(假设载波幅度c= 1 。
总结
相位法首先生成小功率SSB信号,再通过线性射频放大器提升至发射功率。该方法的优势在于通过精确相位控制实现边带选择,避免了传统滤波法对陡峭滤波器的依赖。后续将通过图解方式进一步解析其工作原理。
(注:所有数学符号保留原格式,关键术语如"平衡调制器"等采用通信领域标准译法,公式编号与原文保持一致。)
“掌”握科技鲜闻 (微信搜索techsina或扫描左侧二维码关注)










