
Sigma16-300mm F3.5-6.7 DC OS | Contemporary
18.8倍超能变焦
百搭场景,轻巧定格
16mm超广视野
跨越标准,灵感无限
专为APS-C无反相机打造
重新定义“一镜走天涯”
Part1
第①页
16mm新突破
开阔非凡视野

第②页
全域掌握,创作无忧
该镜头为Sigma现有规格中首款16mm超广角18.8倍变焦镜头,等效焦距约24-450mm*。焦段范围广泛覆盖,轻松应对室内、户外各种场景。
*佳能RF卡口版本大约为25.6-480mm。
第③页
最大1:2放大倍率
领略微观视界

焦距设置70mm时,镜头最大放大倍率可达1:2,能完好捕捉丰富细节,微距摄影能力优异。广角端,最大放大倍率为1:3,长焦端则为1:4,为摄影师提供广阔创意表达空间。
第④页
大变焦,也轻盈

该镜头得益于先进的机械和光学设计,实现紧凑而精致的构造,其直径仅为73.8mm,长度为121.4mm,重量轻至615g*。
*数据适用于L卡口版本。
Part2
第①页
C系列首款高配
刷新拍摄体验

第②页
首度搭载
HLA高速线性马达
作为适马C系列首款搭载HLA高速线性马达的镜头,自动对焦速度和准确性显著提升,高推力确保精准驱动控制,帮助摄影师在不同场景下轻松捕捉珍贵瞬间。
第③页
首度加装
OS2光学防抖功能
C系列中这款镜头率先采用最新OS2光学防抖算法,广角端具备6档光学防抖,长焦端具备4.5档。实现了出众的图像稳定性,即使在光线较暗或远摄的情况下,摄影师也无需三脚架就能拍出清晰的照片。
*根据CIPA标准,使用APS-C画幅相机在16mm和300mm焦距下进行测量。
第④页
首度增添
防尘防溅结构、防水防油污涂层
在C系列镜头中首次使用防尘防溅结构*与镜头前镜片防水防油污涂层,使其能够应对恶劣条件,同时保持镜头洁净,免受污染物侵扰。
*该结构设计为防尘防溅,并不防水。
第⑤页
广角端变焦锁定开关

镜头于广角端设置了变焦锁定开关,可防止镜头自行伸出,为镜头提供额外保护同时,避免潜在损坏,让摄影师在创作过程中更为安心。
Part3
第①页
光学品质
匠心制造

第②页
全焦段高画质
每一片都不妥协

内置1片FLD(萤石级低色散镜片)、4片SLD(特殊低色散镜片)以及4片非球面镜片,使其具备出众的像差校正能力,确保在整个变焦和对焦范围内均能提供锐利的成像。
第③页
先进模拟测量
无惧眩光鬼影

通过测量各种条件下的光线入射情况,并运用先进的模拟技术,确保镜头具备突出的抗眩光和抗鬼影能力,可在充满挑战的光线环境中捕捉清晰图像。
第④页
控制呼吸效应
采用前沿光学设计,显著减小呼吸效应(FocusBreathing),确保在调整焦点时视角变化最小化,是电影制作人和需运用景深合成技巧摄影师的理想之选。
第⑤页
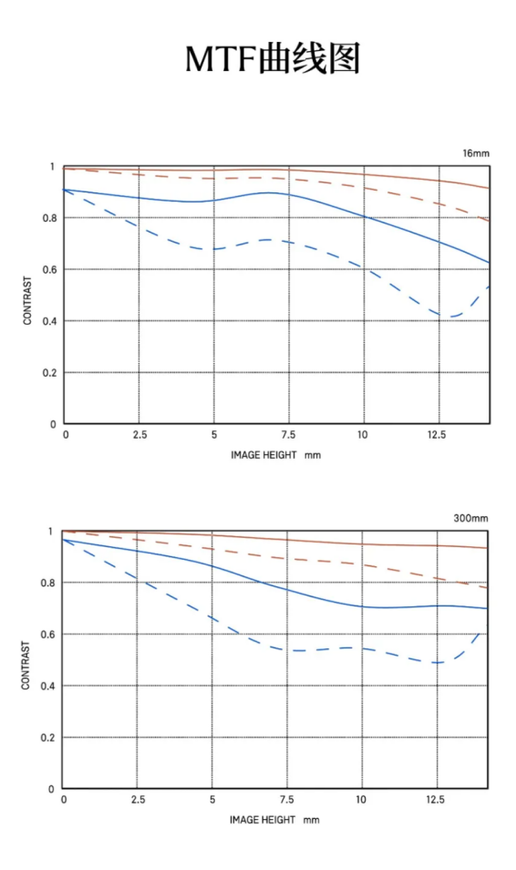
MTF曲线图

功能特点
·HLA(高速线性马达)
·光学防抖算法OS2
·防水防油污涂层
·变焦锁定开关
·防尘防溅结构
·提供卡口转换服务
·支持在线性对焦/非线性对焦环设置之间切换(仅适用于L卡口)*
*仅在与系统兼容的相机上可用。
·兼容SigmaUSB Dock UD-11(单独售卖/仅适用于L卡口)
·每个镜头均经过Sigma专有的MTF测量系统检测
“掌”握科技鲜闻 (微信搜索techsina或扫描左侧二维码关注)










