IT之家 3 月 13 日消息,适马现已在京东上架 15mm F1.4 DC 半画幅 APSC 相机镜头,其提供富士 X / 佳能 RF / 索尼 E 卡口,定价为 3099 元。

该镜头使用哑光黑配色,整体长度 65.1mm,重量低至 225g(富士 X 卡口),支持防尘防溅。其采用 11 组 13 片结构,提供 9 片光学叶片,采用步进马达对焦。
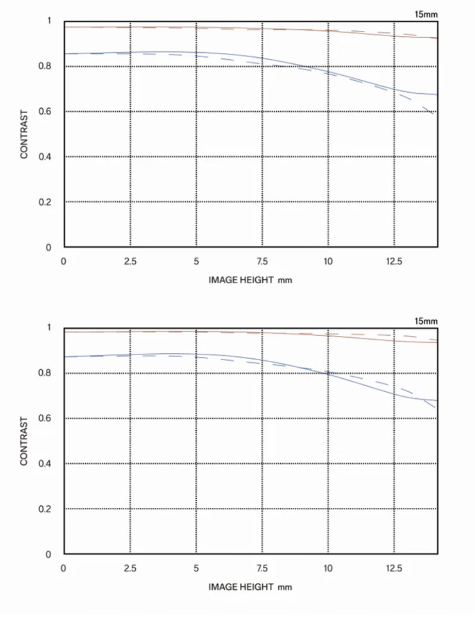
IT之家附产品 MTF 图 / 参数(以富士为例):

新浪科技公众号
“掌”握科技鲜闻 (微信搜索techsina或扫描左侧二维码关注)










