来源:新智元
继IMO 2025登顶后,谷歌、OpenAI的模型,再一次拿下了ICPC金牌。
ICPC,被公认为全球最具挑战的大学生编程竞赛之一。
OpenAI和谷歌不仅解决了全部12题,还在人类选手中位列第一,难道AI编程真能所向披靡了吗?

最新一项基准测试,直接打脸了全世界的顶尖模型。

它就是SWE-Bench Pro,专为评估AI编程智能体而生的新一代基准测试,直面真实企业级工程任务。
相较于前代SWE-Bench,Pro版本升级带来了三大突破:
任务难度全面提升
抗数据污染能力更强
无限逼近真实代码库

这一版,堪称编码中的「最后人类考试」。在实际测试(公开集)中,顶尖模型几乎溃败。
GPT-5虽拿下了第一,但成绩仅有23.3%,Claude Opus 4.1以22.7%得分位居第二。
其他模型更是没有一个能打的,得分全部低于15%。

这意味着,在更贴近真实世界的编程任务中,LLM的长程编码能力仍是短板。
最新21页技术论文,详细公开了SWE-Bench Pro设计细节。

论文地址:https://static.scale.com/uploads/654197dc94d34f66c0f5184e/SWEAP_Eval_Scale%20%289%29.pdf
编码界,需要一场硬核考试
过去,SWE-Bench等基准成为了评估LLM在软件工程中的重要标准。
这些测试中,通常要求AI基于完整代码库和自然语言描述,生成代码Patch。
就拿SWE-Bench Verified来说,顶尖LLM已实现超70%成功率,听起来确实非常厉害。

但这也暴露了一个问题:
未来6至12个月内,现有基准或许会「饱和」,无法再去有效衡量AI的进步。
由此,Scale AI正式发布了SWE-Bench Pro。
它提供了一个更真实、更具挑战的「考场」,直击痛点解决现有基准的缺陷。


数据污染,与现实脱节
当前,已有的编码基准测试,存在两大缺陷。
一方面,数据污染风险高。很多基准基于开源GitHub仓库构建,但这些仓库,尤其是MIT、Apache许可的项目,很容易被LLM训练数据「爬虫」。
由此一来,AI在测试时存在「作弊」的可能,或许它早就见过类似的难题。
另一方面,现有基准的任务太过简单,达不到「工业级别」。

还以SWE-Bench Verified举例,500道题中,竟有161道只需改1-2行代码。
这在实验室里可行,但到了企业环境中,往往涉及跨多个文件、数百行代码的复杂修改。
这样的基准,根本无法反映AI在真实开发场景中的表现。
编码考试不是AI智能体的最终目的,但一个更硬核基准,才能真实评估LLM是否真正符合工业级应用的标准。
SWE-Bench Pro:超100行代码难题
在SWE-Bench Pro设计中,一共包含1865个经人工验证与增强的问题,细分了三类子集——公开集、商业集、保留集。
论文中,研究团队介绍了SWE-Bench Pro的三大贡献:
1. 巧妙收集设计,降低数据污染风险
SWE-Bench Pro创新数据收集策略,避开了污染陷阱。
(1)仅采用强著佐权许可证(GPL)的代码库构建公开集(11个代码库)和保留集(12个代码库);
(2)从真实初创企业获取商业代码以构建商业集(18个代码库),从而捕捉企业级问题。

• 公开集:在HuggingFace公开发布731个实例,并在本文中报告相关统计数据和模型表现。这些实例源自采用著佐权(copyleft)许可证的公开代码库。
• 商业集:来自初创企业代码库的276个商业集问题。这是唯一包含初创企业专有代码库的集合,因法律限制无法公开。
• 保留集:保留了858个与公共集结构镜像但采用不同代码库的问题集。

2. 任务升级,更具挑战、多样,更贴近工业
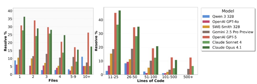
为了确保任务复杂度,Scale AI排除了1-10行代码「小修小补」的任务,只保留需要多文件、实质性修改的问题。
参考解决方案平均涉及4.1个文件、107.4行代码,所有任务至少改10行,超100项任务需改超100行。

除了复杂度外,选的代码库都是活跃维护的,覆盖了消费级App、B2B服务和开发者工具平台等多个领域。
而且,每个代码库贡献了50-100个实例(上限100),避免了对单一库的依赖。
3. 人机协同验证,确保任务可解
有了以上难题还不够,最后一步,还需要确保它们是可解的。
为此,SWE-Bench Pro又引入了一个以人为中心的增强验证流程,分为三阶段人机协同流程。
一方面,它能澄清模糊信息,补充缺失的上下文;另一方面,通过约束解决方案空间,保持灵活同时避免假阴性。
Claude企业级第一
仅拿下17.8%「最高分」
不同顶尖模型,在SWE-Bench Pro上的表现如下表1所示。
以Pass@1作为问题解决率指标,GPT-5与Claude Opus 4.1分别以23.3%和22.7%解决率领先。
早期代际模型,比如DeepSeek Qwen-3 32B、GPT-4o表现明显落后,分别仅为3.4%和3.9%。

此外,公开集和商业集存在显著的性能差距。
最佳模型在商业集的得分均低于20%,从侧面印证了,企业级代码库处理的挑战性。

总的来说,LLM在公开集的通过率≤23.3%,在商业集≤17.8%,远远低于SWE-Bench Verified的70%以上。
这背后的原因,究竟是什么?

不擅长的语言,也会影响性能
从编程语言维度来看,AI性能分化明显。
在Go和Python任务中,大多数模型解决率较高,有些甚至超过30%。
相较之下,JavaScript(JS)与TypeScript(TS)则表现波动较大,根据模型不同,解决率从0%到超过30%不等。

不仅如此,代码仓库维度多样,有些仓库,所有模型解决率都低于10%。
有一些,还能达到50%。
仓库的复杂度、文档质量,或是问题类型等,也成了LLM在编码任务中影响性能的因素。
可以看到,Claude Opus 4.1、GPT-5在多数仓库和编程语言中,都能保持稳定高性能。


失败原因,多种多样
接下来,研究人员又让GPT-5作为「法官」,去对不同模型的故障进行分析。
具体步骤是,先手动构建常见故障分类桶,然后筛选未解决实例,收集最后20轮交互轨迹,向GPT-5提供提示,让其推理并分类故障。

结果显示,顶尖模型的失败原因,覆盖了各种情况。
Claude Opus 4.1:卡在了语义理解,错误解决方案占比35.9%,语法错误24.2%,技术执行力强,但问题理解、算法准确性有待提升。
GPT-5:工具使用差异明显,但错误解决方案较少。
Claude Sonnet 4:上下文溢出(35.6%)和无限文件读取行为(17.0%)是主因,暴露了上下文管理和导航策略的局限。
Gemini 2.5:工具错误(38.8%)、语法错误(30.5%)和错误解决方案(18.0%,多维度挑战并存
Qwen-3 32B:工具错误率最高(42.0%)

总言之,SWE-Bench Pro是一个全新抗污染、工业真实的基准,能够成为未来LLM编码能力一大标尺。
一作介绍
Xiang Deng

Xiang Deng现任Scale AI研究工程师,专注于LLM的编程与智能体研发。
他曾获得了俄亥俄州立大学的博士学位,以及中国科学技术大学计算机科学学士学位。
Jeff Da

Jeff Da现任Scale AI研究科学家,专注于强化学习、智能体与训练后优化方向。
他曾在艾伦人工智能研究所和华盛顿大学,主要从事推理能力评估、多模态学习等方向的研究。
彩蛋
有趣的是,在首席AI官Alexandr Wang评论区下方,所有人更关心的是MSL内幕消息。
Alexandr剧透,即将有更多新内容分享。



(声明:本文仅代表作者观点,不代表新浪网立场。)