来源:量子位
梦晨 发自 凹非寺
量子位 报道 | 公众号 QbitAI
按定义直接算的话,时间复杂度是O(n³)。
光这么说可能不太直观,从图上可以看出,n足够大时优化后的算法就开始表现出明显优势。

矩阵乘法在深度学习中有着广泛的应用,像卷积神经网络(CNN)中最耗时间的卷积计算,就经常被映射成矩阵乘法。
△图源:DOI 10.3390/electronics8010065虽然在具体实现上还有很多障碍,但矩阵相乘底层算法的优化,至少在理论上为深度学习节省时间提供了可能性。
而科学家们努力的目标,是使n阶矩阵乘法的时间复杂度尽可能接近理论上的最快速度O(n²)。
本次研究共同作者是一对师徒。
△左:Alman 右:Vassilevska WilliamsJosh Alman目前是哈佛大学的博士后研究员,主要研究方向是算法设计和复杂度理论。
Virginia Vassilevska Williams是他在MIT读博士期间的导师,研究方向是组合数学和图论在计算领域的应用。
Strassen:用加法替代乘法
矩阵乘法的时间复杂度直到1969年才第一次被Volker Strassen降至O(n³)以下。
看过《算法导论》的同学应该很熟悉Strassen算法。
以2阶矩阵相乘为例,总共需要进行2³=8次乘法,而2ⁿ的高阶矩阵相乘可以用分块法不断迭代细分解成若干个2阶子矩阵相乘。

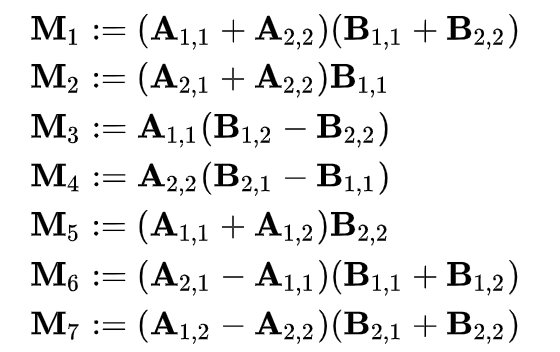
Strassen巧妙的通过构造7个中间变量,用增加14次加法为代价省去了一次乘法。
对于

定义

则有

像这样,在M₁-M₇的计算中只有7次乘法操作。
由于矩阵乘法计算中乘法的复杂度是O(n³),而加法的复杂度只有O(n²),n越大时此方法的收益就越大。
这么绕的算法到底怎么想出来的?可惜Strassen在论文中并没有说明这一点。
Strassen算法在实际应用时受到很大限制,如运行时会创建大量的临时变量,在n不够大时反倒更耗费时间。
还有只适用于稠密矩阵,针对稀疏矩阵有更快的专门算法。
但最重要的是,Strassen的办法让学界意识到,原来矩阵乘法问题还有优化空间啊!
激光法:用张量替代矩阵
20世纪70年代末期,科学家们找到了解决问题的新思路,将矩阵计算转换为张量计算。

1981年,Schonhage将此方法优化到

在后来的几十年中,矩阵乘法的每次优化都来自激光法的优化,即如何更有效的把矩阵问题转换成张量问题。
Alman和Williams的优化算法只比14年LeGall的
。
从历次优化的幅度来看,似乎已逼近激光法的极限。

能算得更快了吗?
激光法很少在实际中应用,因为它只在n足够大,大到现代计算机硬件几乎无法处理的时候才能提供优势。
这样的算法被称作“银河算法(Galatic Algorithm)”。
在业界使用最多的还是通过分块法和并行处理控制矩阵的规模。当n不大时,再通过循环展开,内存布局优化等办法针对直觉算法的优化。
还有一点,现实中由于浮点数精度的限制,Strassen法和激光法在计算大规模矩阵时都会产生不小的误差。
△图源:DOI 10.1109/ICPADS.2011.130矩阵乘法的加速,看来还没那么容易。
论文链接
https://arxiv.org/abs/2010.05846
参考链接:
[1]https://www.quantamagazine.org/mathematicians-inch-closer-to-matrix-multiplication-goal-20210323
[2]https://en.wikipedia.org/wiki/Matrix_multiplication_algorithm
[3]https://www.researchgate.net/publication/330315719_A_Uniform_Architecture_Design_for_Accelerating_2D_and_3D_CNNs_on_FPGAs
[4]http://www.theoryofcomputing.org/articles/gs005/gs005.pdf
[5]https://www.youtube.com/watch?v=J5LK1SChxGs
[6]http://www.cs.toronto.edu/~yuvalf/AmbFilLeG14.pdf

(声明:本文仅代表作者观点,不代表新浪网立场。)