通信世界网消息(CWW)超大规模MIMO技术作为4G/5G通信网络的核心技术之一,6G时代仍将作为空口关键技术持续发展,在提升频谱效率、传输可靠性等方面发挥重要作用。然而,随着天线阵列规模持续扩大,传统全数字MIMO架构引发的能耗与成本问题成为制约6G超大规模MIMO技术持续发展的主要瓶颈。相较而言,虽然数模混合MIMO架构在能效方面具有优势,但空间资源利用不足,频谱效率仍有提升潜力。本文将介绍一种面向6G的高效能MIMO技术:超维MIMO(Pseudo MIMO,pMIMO)技术,并且系统介绍其原理、实现方法与技术优势,另外,依托系统仿真和原型样机测试验证,展示了pMIMO如何突破传统MIMO并行传输流数受限于射频通道数的瓶颈,大幅提高系统频谱与能量效率的性能。
超维MIMO技术原理及实现方法
作为一种增强数模混合MIMO技术,超维MIMO的核心创新在于接收端引入采样点级高速可重构天线阵列,使其能够在一个OFDM符号采样间隔内动态切换多种模拟波束。通过对接收信号进行空时联合处理,所提技术突破了传统MIMO系统中“并行传输的数据流数受限于射频通道数”的瓶颈,使得在不增加射频通道数的前提下,支持更多并行传输流数,显著提升系统频谱与能量效率。
图1a展示了超维MIMO通信系统的示意图。该系统的发射端配备了两个射频通道,每个射频通道连接一个天线振子。接收端则类似于一种数模混合MIMO架构,配备了一个射频通道和两个天线振子。在传统MIMO理论下,由于接收端只有一个射频通道,该系统仅能支持传输单流信号。因此,其通信性能会低于图1b所示的、天线振子数量相同但配备两个射频通道的纯数字MIMO系统。然而,基于所提出的超维MIMO技术,如果接收天线阵列可以在一个OFDM采样间隔内使用多种模拟波束进行信号接收,图1a所示的系统便能在不增加额外射频通道的情况下,同时支持最多两个信号流的传输。
超维MIMO系统发射端的信号处理流程类似于传统的MIMO-OFDM系统。在接收端,天线阵列形成的模拟波束会在每个OFDM采样间隔内,在两种线性独立的图样之间动态切换,从而以不同的模拟波束配置接收相同的OFDM符号。如图1c所示,在一个原始采样间隔内,使用一对线性独立的模拟波束进行信号接收。两个天线振子接收到的信号会先合并为单流信号,再由模数转换器(ADC)进行两倍过采样。过采样是超维MIMO技术中的一个关键步骤。从时域维度上看,过采样在不消耗额外时间和频率资源的情况下,巧妙地将冗余信息引入到原始OFDM符号中。接收机利用这种冗余来恢复两流信号。通过过采样,由第一种模拟波束接收到的信号可以与由第二种模拟波束接收到的信号区分开来。单流信号被拆分为两流信号后,对这两流分离的信号分别进行独立的快速傅里叶变换(FFT),即可得到两个不同的频域OFDM符号。将整个信号处理和无线传输过程表示为矩阵H,可以证明只要采用两种线性独立的模拟波束进行信号接收,H就具有满秩特性。因此,即使接收机只有一个射频通道,该系统也具备传输两个并行信号流的能力。
超维MIMO技术适用于配备更多天线的系统。利用超维MIMO技术,系统可传输的最大信号流的数量由天线振子的数量决定,而非射频通道的数量。因此,与数模MIMO系统相比,超维MIMO系统显著提升了频谱效率。此外,通过对模拟波束进行优化设计,超维MIMO系统的频谱效率性能可以非常接近理想全数字MIMO系统,后者代表了MIMO理论性能的上限。
图1:超维MIMO系统示意图超维MIMO技术优势
超维MIMO是对传统数模混合MIMO技术的增强,在频谱效率、能量效率、成本、系统兼容性等方面具备多重优势。
降低能耗与硬件成本
相较于传统全数字MIMO系统,超维MIMO系统能够有效减少硬件成本和能量消耗。该技术使用更少的射频通道,实现了与传统全数字MIMO系统相近的频谱效率。射频通道是设备能耗和硬件成本的主要来源。例如,一个配备两发四收(2T4R)射频通道的5G射频前端成本约为20美元。如果将接收射频通道从四个减至两个,超维MIMO可使每个射频前端的成本降低20%到30%[4]。此外,射频通道的数量直接决定了能耗。考虑到2025年全球移动设备数量预计将达到259亿部[5],超维MIMO带来的成本和能源节约效益将非常巨大。
提升频谱效率
与传统数模混合MIMO系统相比,超维MIMO系统能够显著提升频谱效率。通过进行逐个采样点的模拟波束快速切换,不同的OFDM时域采样点将经历不同的等效信道,使利用单个射频通道构建多个线性无关的等效信道成为可能,充分挖掘数模混合架构中天线振子提供的空间资源,解决了传统数模混合MIMO由于空间资源利用不充分导致频谱效率低下的问题。
提升感知精度
通信感知一体化是6G的核心场景之一,而感知精度是其核心性能指标。如文献 [6] 所示,感知精度与信噪比SNR成正比。与传统数模混合MIMO相比,超维MIMO通过增加接收分集来提高信噪比,进而提升感知精度。此外,许多ISAC应用依赖于正交的资源分配方案,即感知与通信占用独立的资源。由于超维MIMO的通信性能优于传统数模混合MIMO,因此可以在不牺牲通信性能的前提下,将更多资源分配给感知功能,从而增强感知能力。
具有良好的系统兼容性
超维MIMO技术具有良好的兼容性,能够无缝集成到未来6G无线网络中。现有设备可以继续沿用传统的MIMO技术。与此同时,超维MIMO技术也可以灵活应用于新设备。传统的多用户MIMO(MU-MIMO)技术也同样适用。这种兼容性确保了现有设备能继续高效运行,而新设备则可以根据自身独特能力,充分利用超维MIMO技术的优势。
超维MIMO性能展示
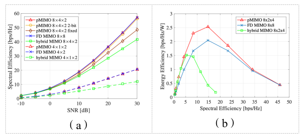
图2a对比了在不同天线配置下,超维MIMO、全数字MIMO和数模混合MIMO系统的频谱效率。仿真结果表明,通过模拟波束的优化设计,超维MIMO系统的频谱效率显著优于配备相同射频通道数的数模混合MIMO系统,频谱效率提升达60%。此外,超维MIMO系统的频谱效率与配备更多射频通道的纯数字MIMO系统非常接近,充分体现了超维MIMO在降低射频通道数量方面的潜力。
在能量效率方面,图2b描绘了超维MIMO、纯数字MIMO和数模混合MIMO系统的能量效率相对于频谱效率的关系。数值仿真结果表面,超维MIMO系统展现出最高的能量效率。与全数字MIMO系统相比,超维MIMO在实现相近频谱效率的前提下,提高能量效率达30%。这一特性使其在追求高能效的未来无线通信网络中具有重要应用价值。
图2:超维MIMO数值仿真结果另外,超维MIMO的原型样机搭建如图3a所示,目前可在2.4GHz频段下实现了基于OFDM系统的单通道双流数据传输。
在实验中,两个独立的、经过QPSK调制的信号流被导入信号发生器,并通过两个天线振子在2.4 GHz频段发射。接收端使用两个线性独立的模拟波束,在每个OFDM采样间隔内进行快速切换。合并后单流信号被送入频谱分析仪进行过采样,信号分离和其他相关处理。超维MIMO样机成功地以一个射频通道解码出两个独立的并行信号流,完成了该技术的系统级样机验证。
图3b对比了超维MIMO样机在实际信道中的误块率性能,并与全数字MIMO和数模混合MIMO进行了比较。结果显示,超维MIMO样机的误块率显著低于仅传输一个信号流的数模混合MIMO系统。同时,由于该样机接收端仅采用两个固定的模拟波束进行信号接收,波束图样未经过优化设计,因此其性能与配备两个射频通道的纯数字MIMO系统相比,仍存在一定差距。尽管如此,该结果有效证明了超维MIMO技术在实际工程中的可行性与应用潜力。
图3:超维MIMO原型验证总结
超维MIMO技术在提升频谱效率、降低硬件成本与能耗方面展现出显著优势,这些特性使其成为未来无线通信,尤其是6G时代,提升网络性能和可持续发展能力的关键使能技术。为了充分释放超维MIMO的技术潜力,我们认为需要进一步开展产业层面的协同推动与落地实施。这包括:推动标准化进程,积极将超维MIMO方案纳入国际通信标准体系,为技术的规模化应用铺平道路;加强相关器件研发,尤其高集成度、低功耗、可高速切换的射频器件的研发,以满足超维MIMO系统对硬件性能的要求;开展试验网验证,联合产业伙伴,通过建立试验网络,在真实环境中对超维MIMO的性能、稳定性和兼容性进行全面验证,为商业部署积累宝贵经验。通过产、学、研各界的共同努力,推动超维MIMO从概念走向现实。
“掌”握科技鲜闻 (微信搜索techsina或扫描左侧二维码关注)










