(来源:第三代半导体产业)
近日,香港科技大学陈敬教授领导的研究团队于2025 71stIEEE International Electron Device (IEDM)发布了一篇名为A Crosstalk-Free GaN-on-Si Power Integration Platform for Integrated Half-Bridge Circuits and Bi-directional Switches(用于单片集成半桥及双向开关的无衬底串扰的硅基氮化镓功率集成平台)的文章。

#1. 背景与研究动机
p型氮化镓(p-GaN)栅高电子迁移率晶体管(high-electron-mobility transistor,HEMT)的平面器件特性有利于GaN功率器件和外围电路的单品集成,从而极大地降低与互连相关的杂散电感,进一步提高Si基GaN功率器件的工作频率。
对于GaN分立器件,一般会将导电硅衬底与器件的源极短接,避免衬底电位浮动或者偏置到高压,引起器件的静态特性和动态特性因衬底引起的串扰(即背栅效应)而退化。然而,在传统的GaN功率集成平台上,由于高压器件都制备在同一导电硅衬底上,无法将导电硅衬底与每一高压器件的源极短接,使得有多个源极的电路或器件的性能因衬底引起的串扰而显著退化。两个明显的例子即高压半桥电路和共漏极(common-drain)结构的双向功率开关。
目前,为抑制衬底引起的串扰,基于SOI或工程化体硅的GaN功率集成平台通过衬底工程技术,结合深槽隔离,为每一高压器件提供“本地local”的硅衬底。然而相比传统体硅衬底,这些衬底的成本更高。另外,基于virtual-body的氮化镓功率集成平台采用缓冲层工程技术,通过在缓冲层中插入一层空穴扩展层,利用从栅极注入的空穴屏蔽衬底引起的串扰,然而由于该层离电子沟道相距较远,器件的开关速度及空穴进出速度还有待进一步验证。

图1. (a) Si基p-GaN栅双沟道氮化镓功率集成平台示意图,(b)栅控区域能带图。其中空穴积累输运层位于双沟道夹层间。
针对以上所述难题,香港科技大学陈敬教授领导的研究团队在2025年IEDM会议上发布了一项全新的低成本解决方案。通过沟道工程技术,创新性地将空穴输运扩展层设计在强耦合双沟道(间距6 nm)夹层间,从而实现高效地空穴输运和去除。该Si基p-GaN栅氮化镓双沟道平台利用从栅极注入的空穴屏蔽背栅效应对上沟道的影响,同时在下沟道感应出电子补偿背栅效应对下沟道的影响。器件的制造工艺可以做到和栅极注入晶体管(GIT)完全相容。
#2. 技术亮点和工作原理
本文提出的Si基GaN功率集成平台,如图1(a)所示,采用双沟道的设计,上沟道与下沟道间距仅为6 nm。同时,如图1(b)所示,通过将栅极金属和p-GaN间的接触设计成欧姆接触,器件工作在导通状态时,适量空穴从p-GaN栅高效注入,并被氮化铝插入层(AlN-ISL)有效阻挡,积累在空穴输运层中。
设计的精巧之处在于,存储在空穴输运层中的空穴与上沟道的电子以及下沟道的电子在物理空间上仍是分离的。特别地,当器件遭受背栅效应时,纵向强电场会将使能带进一步倾斜,一方面加强了载流子的限域性以及空穴与电子间的空间分离,有利于延长载流子的寿命,在某种程度上实现了用空间换时间(复合时间);另一方面该电场的横向分量也有利于空穴的横向输运。积累在空穴输运层的空穴可以屏蔽背栅效应对上沟道的影响,在下沟道感应出电子以补偿背栅效应对下沟道的影响。
#3. 实验结果与分析
3.1 Si基p-GaN栅双沟道氮化镓功率集成平台上的半桥集成电路
图2展示了p-GaN栅双沟道氮化镓平台上的双沟道栅极注入晶体管(DC-GIT)静态特性。当漏极电流为10μA/mm时,DC-GIT的阈值电压为0.5 V,器件工作在增强型的模式;通过优化AlGaN势垒层设计,DC-GIT的阈值电压可进一步提高。此外,DC-GIT导通电阻为11.1 Ω·mm;泄露电流1 μA/mm时,击穿电压为720 V。

图2. DC-GIT的静态特性:(a)转移特性,(b)输出特性,(c)击穿特性。
在Si基GaN功率集成平台上,如果将硅衬底与地相连,那么上管的导通电阻会因负向背栅效应显著增大。研究团队分别将SC-GIT和DC-GIT通过2 kΩ的负载电阻与5 V的直流电源相连,并在衬底施加−400 V的100 kHz的脉冲偏压以研究负向背栅效应对器件导通电阻的影响。图3比较了不同栅压(VGS= 3.0/3.5/4.0 V)下的VDS测试波形。当衬底施加−400 V的偏压时,SC-GIT的导通电阻增加,从而使得VDS变高。然而,对于DC-GIT,当VGS≥3.5 V,即有大量的空穴从栅极注入时,积累在空穴输运层的空穴可以沿着该层扩散至整个器件有源区,从而屏蔽负向背栅效应对器件导通电阻的负面影响,因而测试得到的VDS维持不变。

图3. 衬底波形和VDS测试波形。

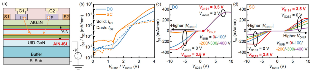
图4. (a)测试结构示意图,(b)双栅特性,其中第一栅极的空穴注入显著强于第二栅极,(c)-(d)测试所得的电流-电压特性。
研究团队通过图4(a)所示的精心设计的测试结构成功验证了空穴输运层的存在。在该测试结构中,如图4(b)所示,第一栅极的空穴注入程度显著强于第二栅极。当将第一栅极与第一源极短接时,当VS1S2超过开启电压(由第二栅极电压的阈值电压决定)时,电流可以从第一源极流向第二源极;当给衬底施加负的偏压时,由于从第二栅极注入的空穴较少,单沟道(SC)测试结构和双沟道(DC)测试结构受负向背栅效应的影响,开启电压均会增加。而当第二栅极与第二源极短接时,对于SC测试结构而言,即使有大量的空穴从第一栅极注入,由于空穴无法高效输运到第二栅极下方区域,其开启电压仍然变高;而对于DC测试结构,从第一栅极注入的空穴可以沿空穴输运层高效地输运到第二栅极下方区域,从而屏蔽负向背栅效应的影响,因而其开启电压不变。
3.2 Si基p-GaN栅双沟道氮化镓功率集成平台上的共漏极双向开关(DC-BDS)
图5展示了p-GaN栅双沟道氮化镓平台上的欧姆栅双向开关(BDS)的特性。当两个栅极的电压相对于各自的源极都偏置在阈值电压以上时,电流可以双向传导,DC-BDS的导通电阻为14.6 Ω·mm;当第二栅极与第二源极短接时,DC-BDS可以传导正向电流,阻断负向电流。受益于强耦合的双沟道设计,没有背栅效应时,注入的空穴会与双栅通道区之间未耗尽的电子复合,避免空穴对另一栅极的影响;当两个栅极的电压相对于各自的源极都偏置在0 V时,DC-BDS可以双向阻断电流。

图6. (a)AC斩波测试示意图,(b)使用DC-BDS得到的AC斩波波形,(c)使用SC-BDS得到的AC斩波波形。在测试中,衬底固定与第一源极相连。
对于硅基氮化镓双向开关而言,由于硅衬底是导电的,当开关处于阻断状态时,衬底电压会相对于一个源极偏置到高压,形成垂直电场,引起缓冲层中的陷阱捕获电子,产生严重的电流崩塌效应,即动态导通电阻显著增加。图6(a)展示了AC斩波测试示意图,当使用单沟道双向开关(SC-BDS)进行斩波时,在负向时,器件的导通压降|VS2S1|显著高于正向的导通压降,表明器件在负向出现严重的导通电阻退化;而使用DC-BDS时,AC斩波波形在负向未失真,表明器件的导通电阻退化得到了很好地抑制。

图7. (a)负向耐压时垂直电场引起缓冲层中陷阱捕获电子,(b)DC-BDS中从栅极注入的空穴沿空穴输运层弥散,屏蔽掉俘获的电子对器件导通电阻的影响。
图7展示了当使用DC-BDS斩波时波形未失真的机理。测试中衬底固定与第一源极相连,因而当器件承受负向电压时,衬底电压会相对第二源极偏置到高压,形成垂直电场,引起缓冲层中的陷阱捕获电子;当器件开启时,俘获的电子无法快速释放,因而会部分地耗尽导电沟道中的电子,使得器件导通电阻急剧增加,引起AC斩波波形失真。当采用DC-BDS斩波时,当衬底电压撤掉后,栅极注入的空穴可以沿空穴输运层弥散开,屏蔽掉缓冲层中被俘获的电子对器件导通电阻的影响,因而AC斩波波形不失真。
#4. 总结
在本工作中,研究团队采用双沟道设计,构建了Si基p-GaN栅双沟道氮化镓功率集成平台。通过沟道工程技术,该平台无需采用昂贵的工程化衬底、耗时的深槽隔离即屏蔽衬底引起的串扰的影响,实现高性能的半桥集成电路和单片集成双向开关。
文献:
26-2 | Zheng Wu, Zongjie Zhou, Longge Deng, Tao Chen, Yat Hon Ng, Yan Cheng, Yutao Geng, Kevin Jing Chen, “A Crosstalk-Free GaN-on-Si Power Integration Platform for Integrated Half-Bridge Circuits and Bi-directional Switches”,2025 IEDM, San Francisco, USA, Dec. 6-10, 2025.

VIP课程推荐
APP专享直播
热门推荐
收起24小时滚动播报最新的财经资讯和视频,更多粉丝福利扫描二维码关注(sinafinance)
